
Tuyển tập Hội nghị Khoa học thường niên năm 2024. ISBN: 978-604-82-8175-5
172
ẢNH HƯỞNG CỦA ĐỘ NGẬP VÀ VẬN TỐC SÓNG NƯỚC
TỚI SỰ PHÁ HOẠI CỦA NHÀ KHUNG BÊ TÔNG
CỐT THÉP TRONG VÙNG CÓ LŨ LỤT
Đoàn Xuân Quý, Lương Thị Thanh Hương
Trường Đại học Thủy lợi, email: quydx@tlu.edu.vn
1. GIỚI THIỆU CHUNG
Nghiên cứu về phá hoại của các công trình
nhà được thực hiện với những điều kiện làm
việc bất lợi như chịu gió, bão lụt và động đất,
tuy chúng có những đặc điểm khác nhau về
tác động nhưng đều gây ra những thiệt hại
không nhỏ về con người và tài sản. Trong đó,
điều quan trọng nhất là xác định được các giá
trị về tham số, tải trọng trong những điều
kiện tác động cụ thể để dự báo được chính
xác nguy cơ phá hoại có thể xảy ra.
Việt Nam là nước có lũ lụt thường xuyên,
tác động do nước lũ gây ra phá hoại đáng kể
cho các công trình. Thông thường, độ ngập
được kể đến trong các tính toán, nhưng cũng
có những nghiên cứu đánh giá được các tác
động đồng thời với nhau đối của áp lực thủy
tĩnh và thủy động của nước, vận tốc sóng và
những tác động của vật nổi [1]. Phá hoại của
nhà được xác định bao gồm các trường hợp:
phá hoại do xói lở móng, phá hoại tường
gạch hoặc gây nứt hay làm phá hoại khung bê
tông cốt thép (cột/dầm) [2]. Trường hợp được
xét ở đây là tác động của lũ nhanh, gồm các
tác động xẩy ra đồng thời cùng nhau, gây
nguy hiểm cho kết cấu nhà.
Xét được những yếu tố tác động, đưa ra
được đường cong phá hoại của chúng lên nhà
bê tông sẽ có ý nghĩa trong việc tạo nên các
thông số đầu vào để đưa vào các mô hình tính
toán trên diện rộng [1], [3]. Nghiên cứu trong
báo cáo này sẽ thiết lập đường cong phá hoại
trên hai yếu tố độ ngập và vận tốc sóng nước
đối với khung nhà của một công trình cụ thể,
từ đó có những đánh giá về mức độ phá hoại
của nước lên nhà, là cơ sở cho những nghiên
cứu về phá hoại của nhà cửa do lũ lụt.
2. PHƯƠNG PHÁP NGHIÊN CỨU
Nghiên cứu lý thuyết trong việc sử dụng
các tính toán về tải trọng lên nhà [1] [4],
dùng phần mềm ETABS để xác định các nội
lực trong cột và dầm của nhà. Sau khi có các
kết quả nội lực, sử dụng tính toán theo tiêu
chuẩn TCVN 5574:2018 [5] [6] về kết cấu bê
tông cốt thép để xác định giá trị nội lực phá
hoại tương ứng với chiều sâu và vận tốc
sóng. Quy trình nghiên cứu được thực hiện
như sau:
i) Xác định các thông số của nhà (kích
thước dầm cột, bước, nhịp khung, chiều cao
tầng, số tầng).
ii) Xác định tải trọng lên nhà: trọng lượng
bản thân và các thành phần cấu tạo, hoạt tải, tải
trọng gió, áp lực thủy tĩnh, áp lực thủy động.
iii) Ứng với mỗi giá trị vận tốc nước, tăng
dần độ ngập của nước để xác định tải trọng
và các giá trị nội lực trong khung (dầm, cột)
iv) Tìm các điểm phá hoại tương ứng với
độ ngập và vận tốc nước để ra được đường
cong quan hệ giữa độ ngập và vận tốc nước.
3. KẾT QUẢ NGHIÊN CỨU
3.1. Thông số nhà nghiên cứu và các tải
trọng tác dụng
Nhà được nghiên cứu bao gồm 5 gian, mỗi
gian 4,2m, chiều ngang nhà 4,2 m, nhà 2
tầng, chiều cao mỗi tầng 3,3 m. Dầm có kích
thước (rộng x cao) 22 30 cm bố trí lớp trên
và dưới 318, cột có kích thước 22 22 cm
bố trí 422 chịu lực. Bê tông mác cấp bền
B15 (mác 200#), cốt thép CB300-V. Địa
điểm xây dựng tại vùng II theo bản đồ phân

Tuyển tập Hội nghị Khoa học thường niên năm 2024. ISBN: 978-604-82-8175-5
173
vùng gió trong TCVN 2737:2023 [4] (áp lực
gió cơ sở W0 = 95 daN/m2).
Tải trọng tĩnh và hoạt tải lên nhà xác định
theo cấu tạo và công năng của nhà dân dụng
thông thường.
Áp lực thủy tĩnh và thủy động của nước
lên nhà (Hình 1) được xác định theo công
thức [1]:
p
w = gd (1)
p
s = 1/2CD2 (2)
trong đó:
- dung trọng của nước (1000
kg/m3); g - gia tốc trọng trường (9,81 m/s2);
d - độ ngập nước; CD - hệ số nhám của nước
(trong khoảng từ 1,2 đến 2); v - vận tốc dòng
nước (m/s).
Hình 1. Áp lực thủy động (ps)
và thủy tĩnh (pw) của nước lên nhà [1]
Tải trọng do vật nổi tác dụng lên nhà được
xác định theo công thức [1]:
F = v(mkt) (3)
với: m - khối lượng lượng của vật nổi lấy
bằng 50 kg; kt - độ cứng tường theo [1].
Hình 2 trình bày quan hệ giữa độ ngập và
lực tác dụng lên nhà do vật nổi trong trường
hợp v = 1 m/s. Tuy nhiên tải trọng này có thể
là một phá hoại cục bộ và không cần xét tới.
Hình 2. Tải trọng do vật nổi tác dụng lên nhà
(trường hợp vận tốc bằng 1 m/s)
Giá trị của tải trọng gió được xác định theo
công thức của TCVN 2737:2023 [4]:
W
k = W3s,10k(ze)cGf (4)
W3s,10 =
TW0 - là công thức chuyển đổi áp
lực gió chu kỳ lặp 20 năm xuống 10 năm với
hệ số chuyển đổi bằng 0,852.
Hệ số khí động c và k(ze) - hệ số kể đến sự
thay đổi áp lực gió theo độ cao và dạng địa
hình được tra theo tiêu chuẩn.
Gf là hệ số giật lấy bằng 0,85. Tác động
của gió được khai báo trên hai cột nhà phía
đẩy và phía hút gió ứng với diện chịu tải
bằng với khoảng cách giữa hai khung nhà.
3.2. Xác định nội lực khung
Sau khi xác định được tải trọng cho một số
trường hợp độ ngập tương ứng với vận tốc,
sử dụng phần mềm xác định các giá trị nội
lực. Tổng hợp cho trường hợp dầm tầng 2,
cột bên trái là hai vị trí trên khung có giá trị
nội lực lớn. Với v = 1 m/s, giá trị nội lực như
trên Bảng 1.
Bảng 1. Bảng xác định giá trị nội lực dầm
và cột theo độ ngập nước (
v
= 1 m/s)
Độ ngập Dầm Cột
d (m) M (KNm) M (KNm) N (KN)
0,55 43,32 18 133
1,10 43,26 18 133
1,65 43,11 17 133
2,20 43,16 19 133
2,75 42,84 22 133
3,30 41,90 26 132
3,85 46,62 31 132
4,40 48,84 37 131
4,95 52,15 44 129
5,50 56,71 53 127
6,05 62,79 63 123
6,60 70,57 74 119
Các giá trị này được chuyển sang đồ thị
như trường hợp mô men dầm trên Hình 3. Đồ
thị này nhằm nội suy các giá trị của nội lực
theo độ ngập.

Tuyển tập Hội nghị Khoa học thường niên năm 2024. ISBN: 978-604-82-8175-5
174
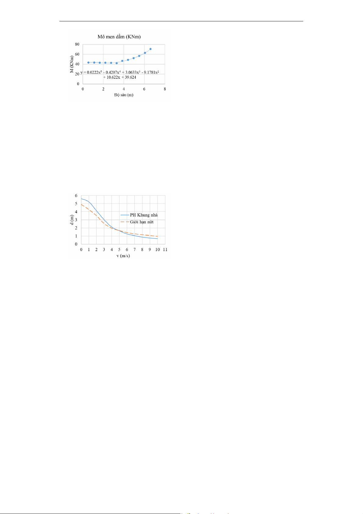
Hình 3. Mô men dầm do tổng hợp tải trọng
tác dụng theo độ ngập nước (v = 1 m/s)
3.3. Xác định đường cong phá hoại do lũ
nhanh tác dụng lên khung bê tông cốt thép
Sau khi xác định được nội lực (mô men,
lực dọc), tiến hành tính toán thử dần để chọn
được các giá trị độ ngập ứng với mỗi vận tốc
tại đó làm khung đạt tới giới hạn làm việc.
Đối với trường hợp giới hạn nứt là giá trị mô
men ứng với giới hạn nứt của tiết diện là 0,4
mm. Kết quả thu được như trên Hình 4.
Hình 4. Quan hệ giữa độ ngập và vận tốc
của sóng nước tới phá hủy và nứt nhà
khung BTCT trong vùng lũ nhanh
Kết quả khảo sát trên Hình 4 cho thấy ảnh
hưởng của độ ngập và vận tốc sóng tới kết
cấu khung nhà. Với vận tốc nước tăng lên,
nhà nhanh chóng bị sụp đổ ở độ ngập nước
nhỏ. Trong khoảng vận tốc từ 0 đến 4 m/s,
tác động của nước thay đổi nhanh chóng, sau
vận tốc 4 m/s, tác động của nước lên nhà
giảm dần.
Trước khi đạt đến trạng thái giới hạn,
khung nhà có thể có những vết nứt nhìn thấy
được. Điều này ảnh hưởng đến sự làm việc
của nhà như việc bong tróc các lớp trát hay
hư hỏng vật liệu phụ.
4. KẾT LUẬN
Bài báo đã nghiên cứu tác động của lũ lụt
tới kết cấu nhà thông qua việc xác định đường
cong nứt và phá hoại kết cấu nhà ứng với độ
ngập và vận tốc của dòng nước trong trường
hợp lũ nhanh. Đó là trường hợp nhà chịu các
tác động nguy hiểm môt cách đồng thời.
Nghiên cứu đã thiết lập được một số công
thức xác định tác động của lũ lụt lên nhà theo
độ ngập và vận tốc sóng tương ứng.
Kết quả khảo sát cho thấy ảnh hưởng đáng
kể của vận tốc tới sự làm việc của nhà. Vận
tốc nước lớn có thể gây phá hoại nhà ngay cả
khi độ ngập nhỏ.
5. TÀI LIỆU THAM KHẢO
[1] I. W. Roos and T. Bouw, “Damage to
buildings,” Delft Clust., 2003.
[2] I. Kelman and R. Spence, “An overview of
flood actions on buildings,” Eng. Geol., vol.
73, no. 3-4, pp. 297-309, Jun. 2004, doi:
10.1016/j.enggeo.2004.01.010.
[3] M. T. Marvi, “A review of flood damage
analysis for a building structure and
contents,” Nat. Hazards, vol. 102, N. 3, pp.
967-995, Jul. 2020, doi: 10.1007/s11069-
020-03941-w.
[4] “Tiêu chuẩn Việt Nam TCVN 2737:2023:
Tải trọng và tác động”.
[5] “Tiêu chuẩn Việt Nam TCVN 5574:2018:
Thiết kế kết cấu bê tông và bê tông cốt thép.”
[6] Phan Quang Minh, Ngô Thế Phong,
Nguyễn Trường Thắng, Võ Mạnh Tùng,
Kết cấu bê tông cốt thép - Phần cấu kiện cơ
bản - TCVN 5574:2018. Nhà xuất bản Khoa
học Kỹ thuật, Hà Nội, 2021.

