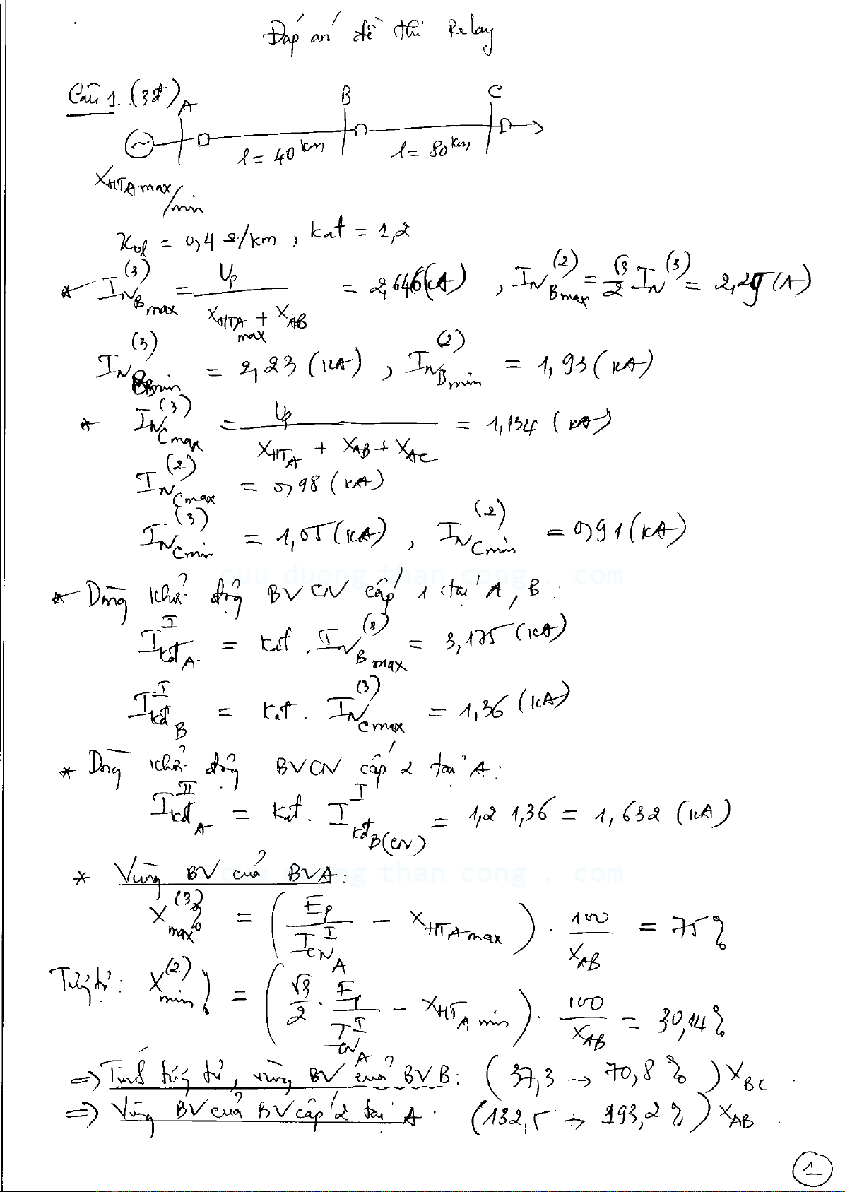
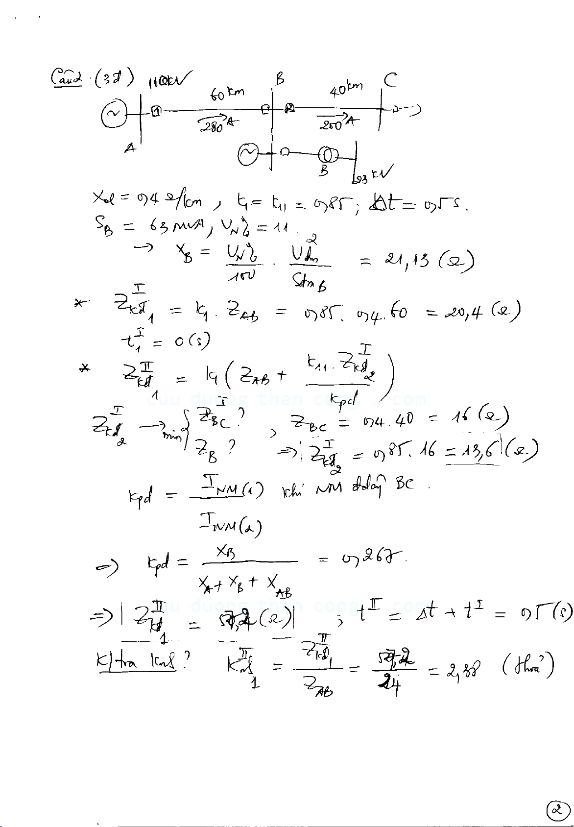
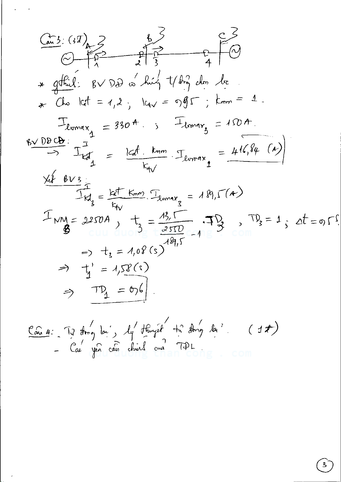
Đề thi cuối kỳ năm học 2015 - 2016 môn Bảo vệ Rơle trong hệ thống điện - Lớp BT12
Đề thi cuối kỳ năm học 2015 - 2016 môn Bảo vệ Rơle trong hệ thống điện gồm 4 bài tập khái quát lại toàn bộ chương trình môn học. Đây là một tài liệu hữu ích giúp người học ôn tập và củng cố kiến thức, chuẩn bị cho kỳ thi sắp tới. Mời các bạn cùng tham khảo.

CuuDuongThanCong.com

CuuDuongThanCong.com

CuuDuongThanCong.com

CuuDuongThanCong.com