Đề thi môn Truyền động điện - Lớp DD11KTD3
Đề thi môn Truyền động điện có cấu trúc gồm 2 câu hỏi hệ thống lại kiến thức học phần và giúp các bạn sinh viên ôn tập kiến thức đã học, chuẩn bị cho kỳ thi sắp tới. Tài liệu hữu ích cho các các bạn sinh viên đang theo học và những ai quan tâm đến môn học này dùng làm tài liệu tham khảo.

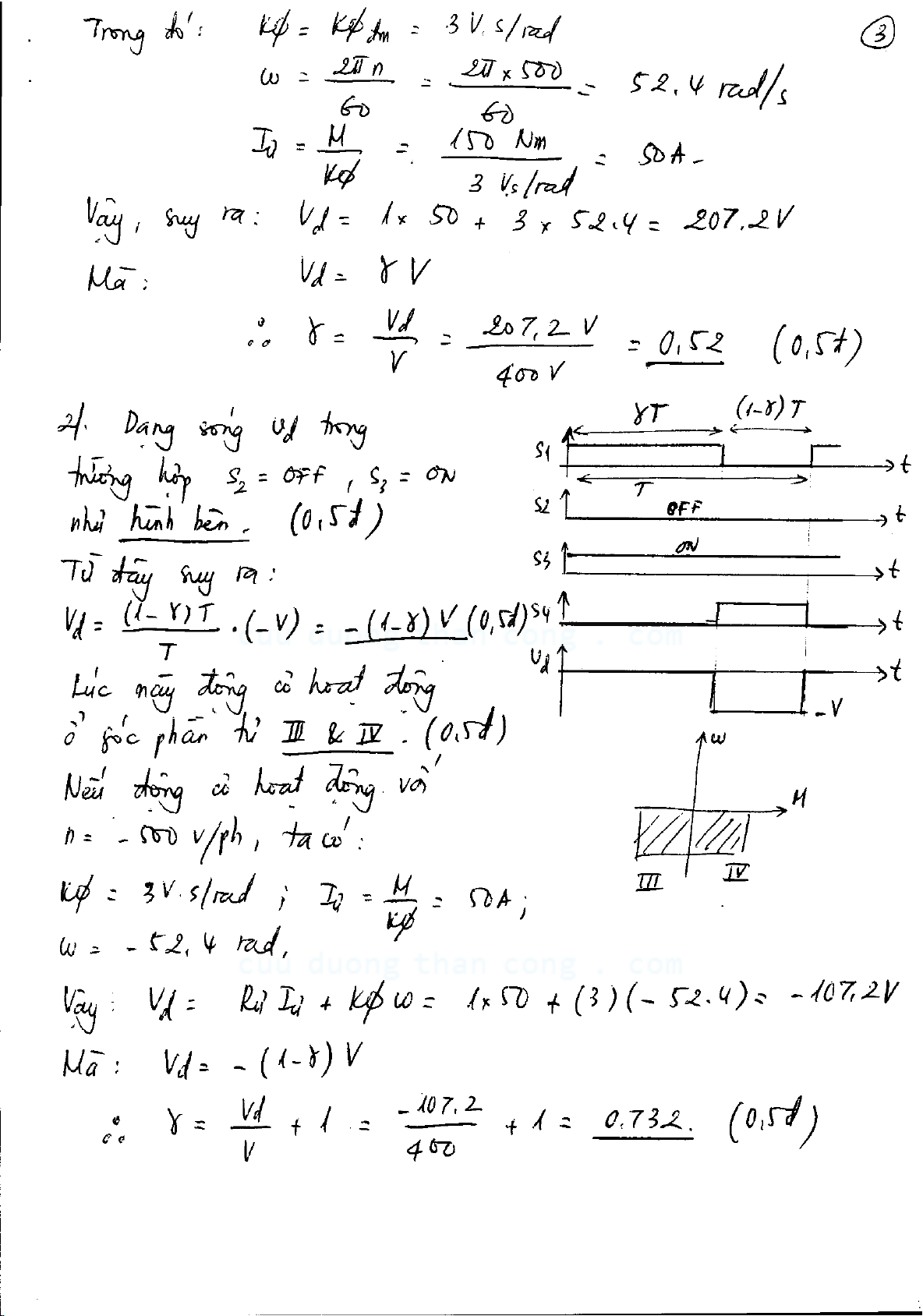
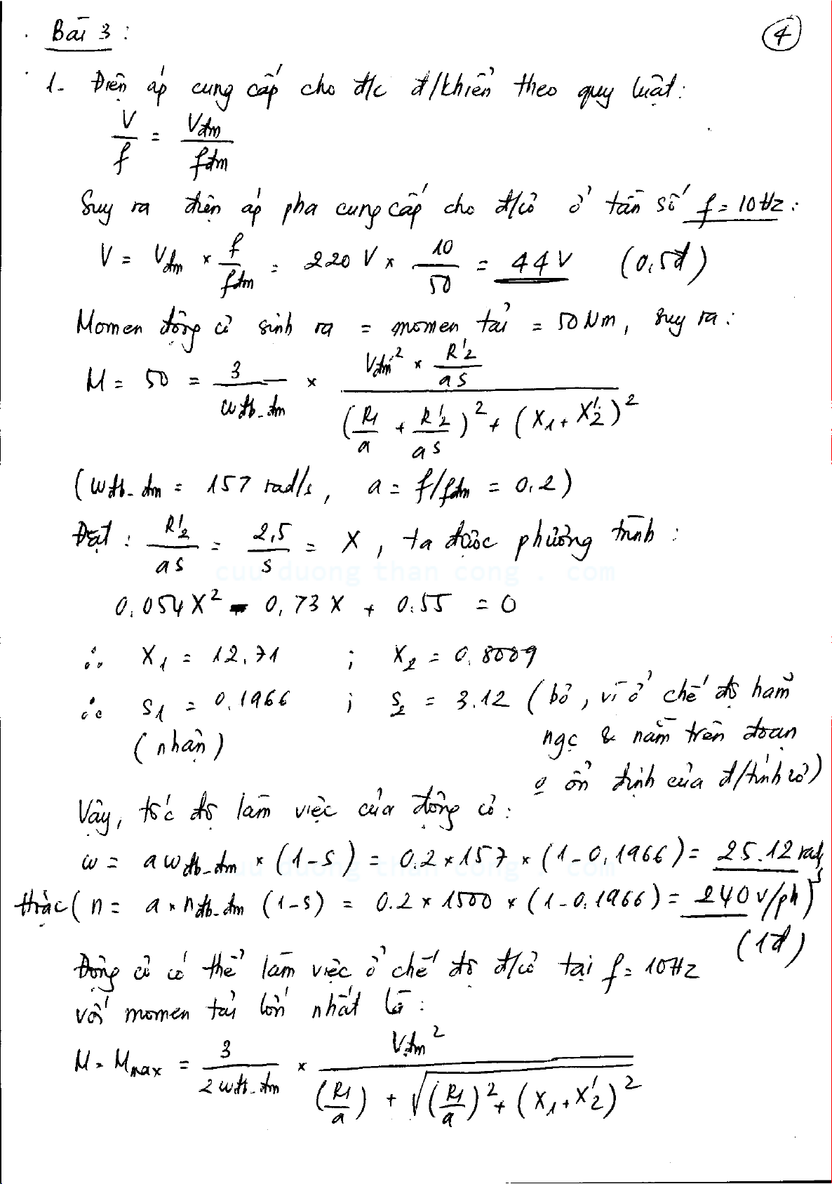
CuuDuongThanCong.com

CuuDuongThanCong.com

CuuDuongThanCong.com

CuuDuongThanCong.com

CuuDuongThanCong.com