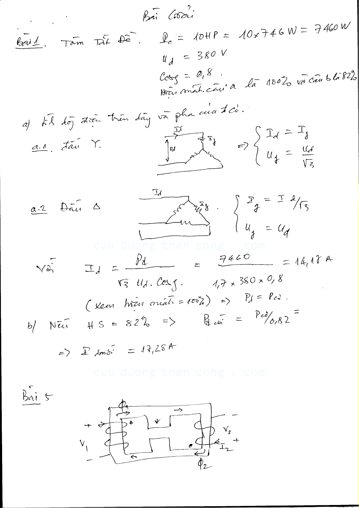
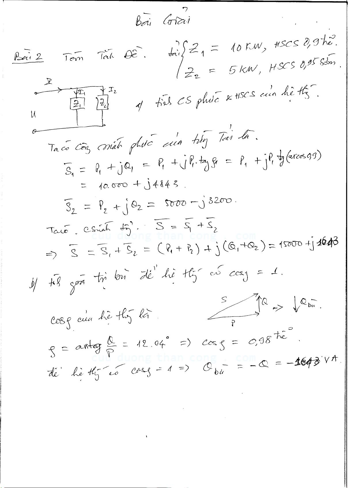
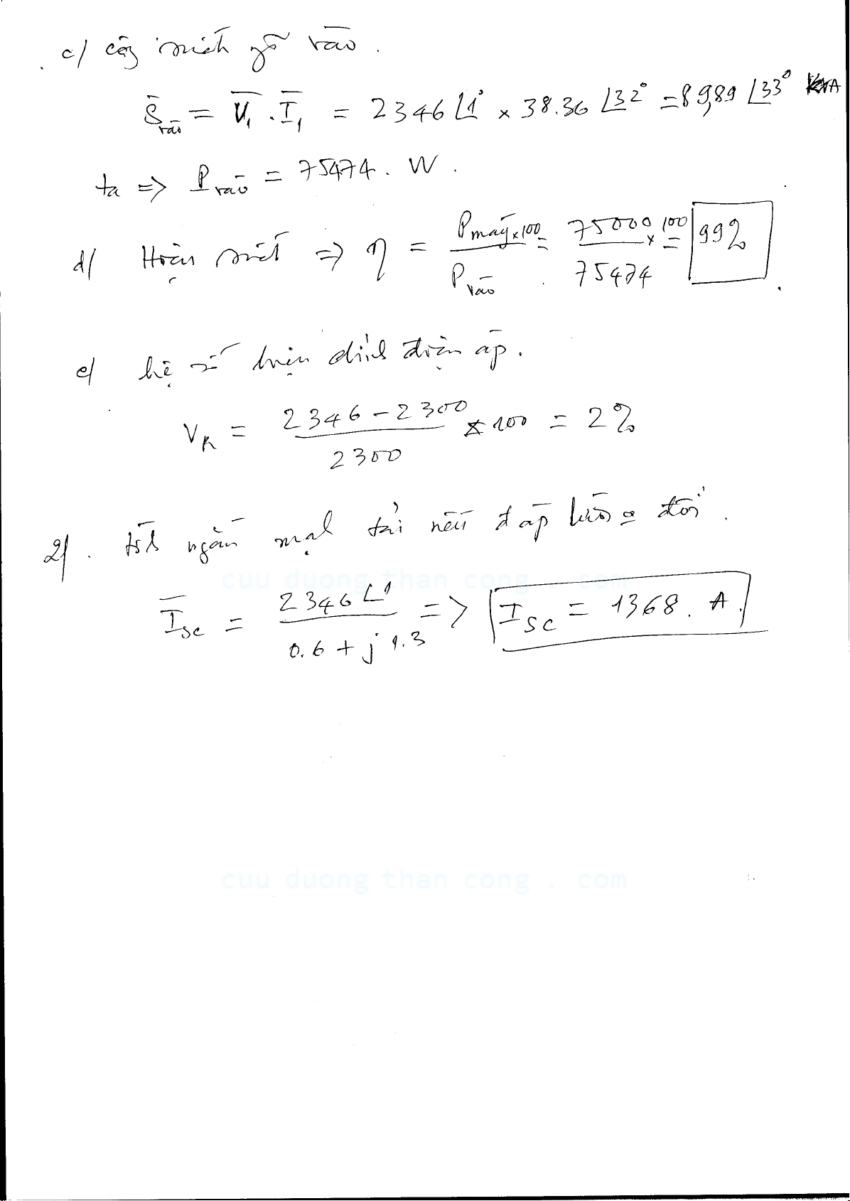
Đề thi cuối học kỳ 2 năm 2016 môn Biến đổi năng lượng điện cơ
Đề thi cuối học kỳ 2 năm 2016 môn Biến đổi năn lượng điện cơ gồm 6 bài tập khái quát toàn bộ chương trình môn học này. Đây là một tài liệu hữu ích giúp người học ôn tập và củng cố kiến thức, chuẩn bị cho kỳ thi sắp tới. Mời các bạn cùng tham khảo.

CuuDuongThanCong.com

CuuDuongThanCong.com

CuuDuongThanCong.com

CuuDuongThanCong.com

CuuDuongThanCong.com