logo
Mạng xã hội chia sẻ tài liệu
Upload
Nâng cấp VIP
Trang chủ » Kỹ Thuật - Công Nghệ » Kỹ thuật nhiệt - Lạnh
4 trang
192 lượt xem
2
0

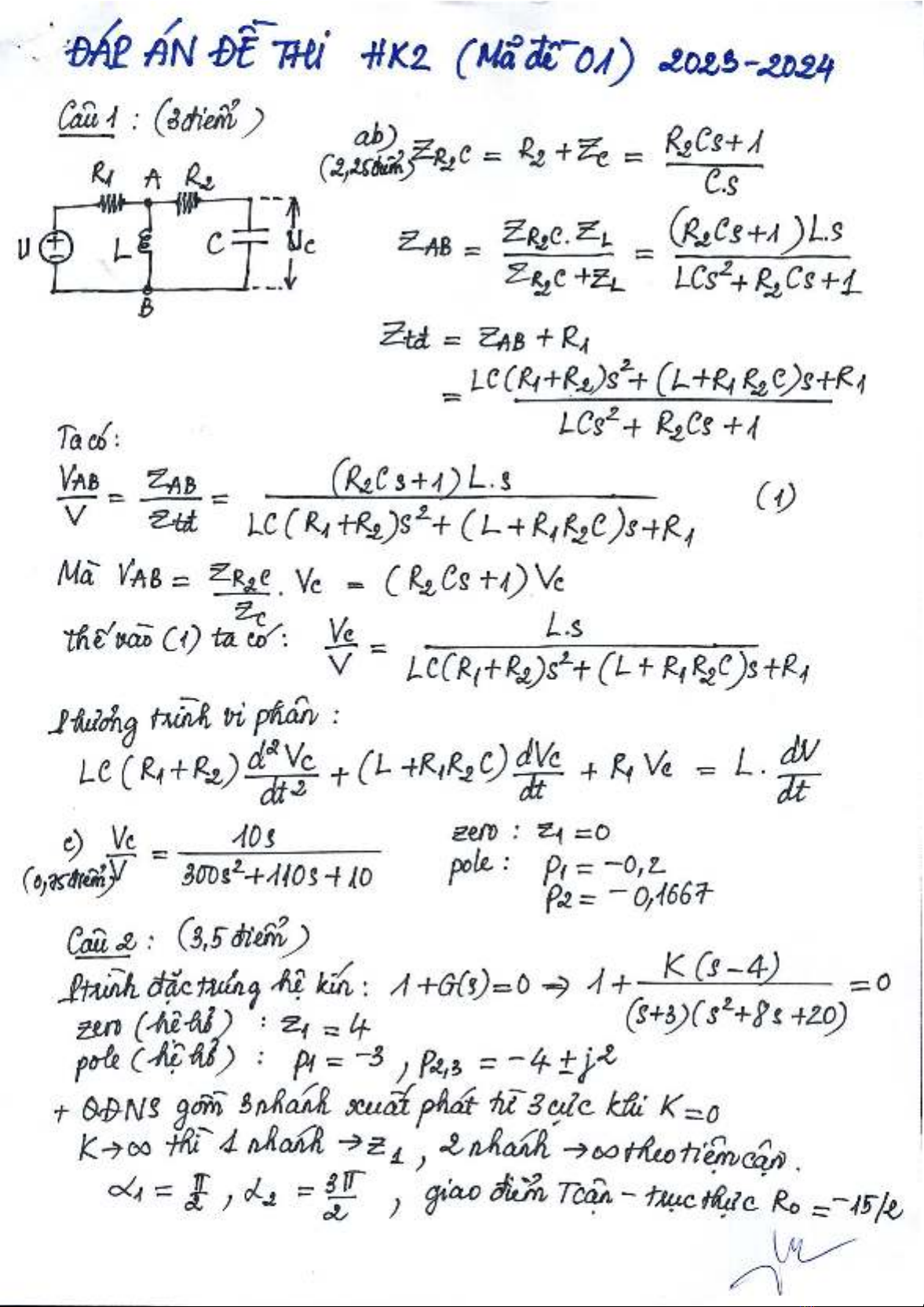
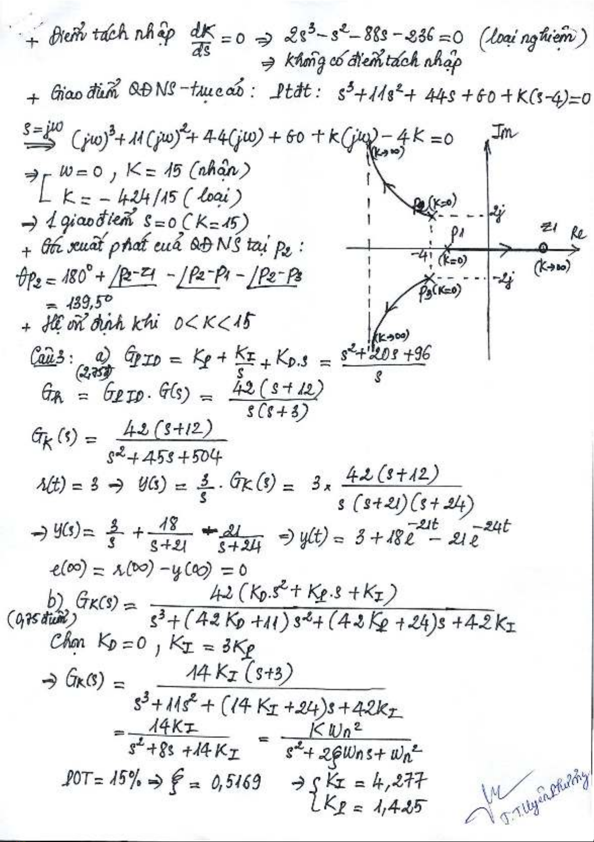
Đề thi học kì 2 môn Điều khiển tự động năm 2023-2024 có đáp án

"Đề thi học kì 2 môn Điều khiển tự động năm 2023-2024 có đáp án - Trường ĐH Sư phạm Kỹ thuật TP.HCM" được sưu tầm nhằm giúp sinh viên hệ thống lại kiến thức, rèn luyện kỹ năng giải đề và có sự chuẩn bị tốt nhất cho kỳ thi sắp tới. Chúc các bạn ôn thi thành công!

Chủ đề:

lakim0906

Tự động hóa hệ thống lạnh

Đề thi Tự động hóa hệ thống lạnh

Share
/
4

Tài liệu liên quan

Đề thi Đồ án Kỹ thuật lạnh 2 học kì 3 năm 2021-2022: Tuyển tập đề thi kết thúc học phần

Đề thi kết thúc học phần học kì 3 môn Đồ án Kỹ thuật lạnh 2 năm 2021-2022

W 1 trang
Đề thi Điều khiển tự động quá trình nhiệt học kì 2 năm 2023-2024

Đề thi kết thúc học phần học kì 2 môn Điều khiển tự động quá trình nhiệt năm 2023-2024

3 trang
Đề thi Đồ án kỹ thuật lạnh 2 học kì 1 năm 2023-2024 - [Kèm đáp án/Hướng dẫn giải chi tiết]

Đề thi kết thúc học phần học kì 1 môn Đồ án kỹ thuật lạnh 2 năm 2023-2024

4 trang
Giáo trình Tự động hóa hệ thống lạnh cơ bản ngành Kỹ thuật máy lạnh và ĐHKK trình độ Trung cấp - Trường Cao đẳng Hòa Bình Xuân Lộc

Giáo trình Tự động hóa hệ thống lạnh cơ bản (Ngành: Kỹ thuật máy lạnh và ĐHKK - Trình độ Trung cấp) - Trường Cao đẳng Hòa Bình Xuân Lộc

60 trang
Giáo trình Tự động hóa hệ thống lạnh cơ bản tốt nhất (Trình độ Trung cấp) - Trường Cao đẳng Hòa Bình Xuân Lộc

Giáo trình Tự động hóa hệ thống lạnh cơ bản (Ngành: Vận hành sửa chữa thiết bị lạnh - Trình độ Trung cấp) - Trường Cao đẳng Hòa Bình Xuân Lộc

58 trang
Giáo trình Tự động hóa hệ thống lạnh nâng cao ngành Vận hành sửa chữa thiết bị lạnh trình độ Cao đẳng - Trường Cao đẳng Hòa Bình Xuân Lộc

Giáo trình Tự động hóa hệ thống lạnh nâng cao (Ngành: Vận hành sửa chữa thiết bị lạnh - Trình độ Cao đẳng) - Trường Cao đẳng Hòa Bình Xuân Lộc

46 trang
Giáo trình Tự động hóa hệ thống lạnh cơ bản ngành Vận hành sửa chữa thiết bị lạnh trình độ Cao đẳng - Trường Cao đẳng Hòa Bình Xuân Lộc

Giáo trình Tự động hóa hệ thống lạnh cơ bản (Ngành: Vận hành sửa chữa thiết bị lạnh - Trình độ Cao đẳng) - Trường Cao đẳng Hòa Bình Xuân Lộc

58 trang
Giáo trình Tự động hóa hệ thống lạnh (CĐ/TC) - Kỹ thuật máy lạnh và điều hoà không khí - Trường cao đẳng Cơ giới Ninh Bình (2021)

Giáo trình Tự động hóa hệ thống lạnh (Nghề: Kỹ thuật máy lạnh và điều hoà không khí - CĐ/TC) - Trường cao đẳng Cơ giới Ninh Bình (2021)

163 trang
Giáo trình Tự động hóa hệ thống lạnh tốt nhất (Nghề Vận hành sửa chữa thiết bị lạnh - Trình độ Cao đẳng) - Trường Cao đẳng nghề Cần Thơ

Giáo trình Tự động hóa hệ thống lạnh (Nghề: Vận hành sửa chữa thiết bị lạnh - Trình độ: Cao đẳng) - Trường Cao đẳng nghề Cần Thơ

64 trang
Giáo trình Tự động hóa hệ thống lạnh (Nghề Vận hành, sửa chữa thiết bị lạnh Cao đẳng) - CĐ Kỹ thuật Công nghệ Quy Nhơn

Giáo trình Tự động hóa hệ thống lạnh (Nghề: Vận hành, sửa chữa thiết bị lạnh - Trình độ: Cao đẳng) - CĐ Kỹ thuật Công nghệ Quy Nhơn

58 trang

Tài liêu mới

Giáo trình Điện tử cơ bản (Nghề: Kỹ thuật máy lạnh và điều hòa không khí - Trình độ: Trung cấp) - Trường Trung cấp nghề Tổng hợp Hà Nội

Giáo trình Điện tử cơ bản (Nghề: Kỹ thuật máy lạnh và điều hòa không khí - Trình độ: Trung cấp) - Trường Trung cấp nghề Tổng hợp Hà Nội

53 trang
Giáo trình Thực hành cơ khí (Nghề: Kỹ thuật máy lạnh và điều hòa không khí - Trình độ: Trung cấp) - Trường Trung cấp nghề Tổng hợp Hà Nội

Giáo trình Thực hành cơ khí (Nghề: Kỹ thuật máy lạnh và điều hòa không khí - Trình độ: Trung cấp) - Trường Trung cấp nghề Tổng hợp Hà Nội

77 trang
Giáo trình Cơ sở kỹ thuật nhiệt - lạnh và điều hòa không khí (Nghề: Kỹ thuật máy lạnh và điều hòa không khí - Trình độ: Trung cấp) - Trường Trung cấp nghề Tổng hợp Hà Nội

Giáo trình Cơ sở kỹ thuật nhiệt - lạnh và điều hòa không khí (Nghề: Kỹ thuật máy lạnh và điều hòa không khí - Trình độ: Trung cấp) - Trường Trung cấp nghề Tổng hợp Hà Nội

187 trang
Giáo trình Vật liệu điện - lạnh (Nghề: Kỹ thuật máy lạnh và điều hòa không khí - Trình độ: Trung cấp) - Trường Trung cấp nghề Tổng hợp Hà Nội

Giáo trình Vật liệu điện - lạnh (Nghề: Kỹ thuật máy lạnh và điều hòa không khí - Trình độ: Trung cấp) - Trường Trung cấp nghề Tổng hợp Hà Nội

85 trang
Giáo trình Điện kỹ thuật (Nghề: Kỹ thuật máy lạnh và điều hòa không khí - Trình độ: Trung cấp) - Trường Trung cấp nghề Tổng hợp Hà Nội

Giáo trình Điện kỹ thuật (Nghề: Kỹ thuật máy lạnh và điều hòa không khí - Trình độ: Trung cấp) - Trường Trung cấp nghề Tổng hợp Hà Nội

53 trang
Giáo trình Vẽ điện (Nghề: Kỹ thuật máy lạnh và điều hòa không khí - Trình độ: Trung cấp) - Trường Trung cấp nghề Tổng hợp Hà Nội

Giáo trình Vẽ điện (Nghề: Kỹ thuật máy lạnh và điều hòa không khí - Trình độ: Trung cấp) - Trường Trung cấp nghề Tổng hợp Hà Nội

77 trang
Giáo trình An toàn lao động điện lạnh và vệ sinh công nghiệp (Nghề: Kỹ thuật máy lạnh và điều hòa không khí - Trình độ: Trung cấp) - Trường Trung cấp nghề Tổng hợp Hà Nội

Giáo trình An toàn lao động điện lạnh và vệ sinh công nghiệp (Nghề: Kỹ thuật máy lạnh và điều hòa không khí - Trình độ: Trung cấp) - Trường Trung cấp nghề Tổng hợp Hà Nội

79 trang
Giáo trình Điện tử công suất (Nghề: Kỹ thuật máy lạnh và điều hòa không khí - Trình độ: Trung cấp) - Trường Trung cấp nghề Tổng hợp Hà Nội

Giáo trình Điện tử công suất (Nghề: Kỹ thuật máy lạnh và điều hòa không khí - Trình độ: Trung cấp) - Trường Trung cấp nghề Tổng hợp Hà Nội

76 trang
Giáo trình PLC Cơ bản (Nghề: Kỹ thuật máy lạnh và điều hòa không khí - Trình độ: Trung cấp) - Trường Trung cấp nghề Tổng hợp Hà Nội

Giáo trình PLC Cơ bản (Nghề: Kỹ thuật máy lạnh và điều hòa không khí - Trình độ: Trung cấp) - Trường Trung cấp nghề Tổng hợp Hà Nội

67 trang
Giáo trình Trang bị điện (Nghề: Kỹ thuật máy lạnh và điều hòa không khí - Trình độ: Trung cấp) - Trường Trung cấp nghề Tổng hợp Hà Nội

Giáo trình Trang bị điện (Nghề: Kỹ thuật máy lạnh và điều hòa không khí - Trình độ: Trung cấp) - Trường Trung cấp nghề Tổng hợp Hà Nội

106 trang
Giáo trình mô đun Thiết bị lạnh dân dụng và công nghiệp (Nghề: Kỹ thuật máy lạnh và điều hòa không khí - Trình độ Cao đẳng) - Trường Cao đẳng Kiên Giang

Giáo trình mô đun Thiết bị lạnh dân dụng và công nghiệp (Nghề: Kỹ thuật máy lạnh và điều hòa không khí - Trình độ Cao đẳng) - Trường Cao đẳng Kiên Giang

83 trang
Giáo trình mô đun Cơ sở kỹ thuật điện (Nghề: Kỹ thuật máy lạnh và điều hòa không khí - Trình độ Trung cấp) - Trường Cao đẳng Kỹ thuật Công nghệ Trường Cao đẳng Kỹ thuật Công nghệ Bà Rịa Vũng Tàu

Giáo trình mô đun Cơ sở kỹ thuật điện (Nghề: Kỹ thuật máy lạnh và điều hòa không khí - Trình độ Trung cấp) - Trường Cao đẳng Kỹ thuật Công nghệ Trường Cao đẳng Kỹ thuật Công nghệ Bà Rịa Vũng Tàu

108 trang
Giáo trình mô đun Điện cơ bản (Nghề: Kỹ thuật máy lạnh và ĐHKK - Trình độ Trung cấp) - Trường Cao đẳng Kỹ thuật Công nghệ Trường Cao đẳng Kỹ thuật Công nghệ Bà Rịa Vũng Tàu

Giáo trình mô đun Điện cơ bản (Nghề: Kỹ thuật máy lạnh và ĐHKK - Trình độ Trung cấp) - Trường Cao đẳng Kỹ thuật Công nghệ Trường Cao đẳng Kỹ thuật Công nghệ Bà Rịa Vũng Tàu

54 trang
Giáo trình mô đun Hệ thống điều hòa không khí trung tâm (Nghề: Kỹ thuật máy lạnh và điều hòa không khí - Trình độ Trung cấp) - Trường Trung cấp nghề Quang Trung

Giáo trình mô đun Hệ thống điều hòa không khí trung tâm (Nghề: Kỹ thuật máy lạnh và điều hòa không khí - Trình độ Trung cấp) - Trường Trung cấp nghề Quang Trung

141 trang
Giáo trình Lắp đặt điều hòa không khí treo tường (Nghề Lắp đặt và quản lý hệ thống điện nông thôn - Sơ cấp 3) - Trường Cao đẳng Cơ điện Tây Bắc

Giáo trình Lắp đặt điều hòa không khí treo tường (Nghề: Lắp đặt và quản lý hệ thống điện nông thôn - Sơ cấp 3) - Trường Cao đẳng Cơ điện Tây Bắc

W 62 trang

AI tóm tắt

- Giúp bạn nắm bắt nội dung tài liệu nhanh chóng!

Giới thiệu tài liệu

Nghiên cứu về vai trò của giáo dục trong phát triển con người đã được nhiều nhà khoa học quan tâm. Theo nghiên cứu, giáo dục có thể ảnh hưởng đến sự phát triển của con người về mặt tinh thần, thể chất và xã hội.

Đối tượng sử dụng

Nhà nghiên cứu và sinh viên chuyên môn giáo dục

Từ khoá chính

giáo dụcphát triển con ngườikinh nghiệmvăn hóa

Nội dung tóm tắt

Nghiên cứu về vai trò của giáo dục trong phát triển con người đã phân tích các yếu tố tác động đến vai trò của giáo dục, bao gồm cả những yếu tố môi trường, kinh nghiệm và văn hóa. Theo kết quả nghiên cứu, giáo dục có thể giúp con người phát triển trí tuệ, kỹ năng và nhân cách, đồng thời cũng ảnh hưởng đến sự phát triển của họ về mặt xã hội và kinh tế. Nghiên cứu này đã khẳng định vai trò quan trọng của giáo dục trong phát triển con người.

Giới thiệu

Về chúng tôi

Việc làm

Quảng cáo

Liên hệ

Chính sách

Thoả thuận sử dụng

Chính sách bảo mật

Chính sách hoàn tiền

DMCA

Hỗ trợ

Hướng dẫn sử dụng

Đăng ký tài khoản VIP

Zalo/Tel:

093 303 0098

Email:

support@tailieu.vn

Phương thức thanh toán

Theo dõi chúng tôi

Facebook

Youtube

TikTok

chứng nhận
Chịu trách nhiệm nội dung: Nguyễn Công Hà
Doanh nghiệp quản lý: Công ty TNHH Tài Liệu trực tuyến Vi Na - GCN ĐKDN: 0307893603
Địa chỉ: 54A Nơ Trang Long, P. Bình Thạnh, TP.HCM - Điện thoại: 0283 5102 888 - Email: info@tailieu.vn
Giấy phép Mạng Xã Hội số: 38/GP-BVHTTDL cấp ngày 09/3/2026