
Nhận xét: m phần tử lập nên A được gọi là số khả năng thuận lợi
cho biến cố A; n phần tử của được gọi là số khả năng có thể. Vậy
P(A) = =
Định nghĩa trên được gọi là Định nghĩa cổ điển của xác suất. Ta xét một số ví dụ
áp dụng Định nghĩa cổ điển của xác suất để giải bài tập xác suất.
Ví dụ 1.2.3. Gieo đồng thời hai xúc xắc cân đối và đồng chất. Tìm xác suất để tổng
số chấm xuất hiện trên hai xúc xắc bằng 6.
Giải. Ký hiệu x, y tương ứng là số chấm xuất hiện trên các xúc xắc thì không gian
mẫu là
=
Vậy n = 6.6 = 36. Đặt A là biến cố “tổng số chấm xuất hiện bằng 6” thì số các khả
năng thuận lợi cho A là (1, 5); (5, 1); (2, 4); (4, 2) và (3, 3). Vậy m = 5 và từ đó
P(A) =
Ví dụ 1.2.4. Có 15 hành khách lên ngẫu nhiên 3 toa tầu. Biết rằng mỗi toa còn ít
nhất 15 chỗ ngỗi. Tìm xác suất để:
a/ Có đúng 3 hành khách lên toa thứ nhất.
b/ Mỗi toa có 5 hành khách.

Giải.
a/ Ký hiệu A là biến cố “toa thứ nhất có đúng 3 hành khách”. Do mỗi hành khách
có 3 khả năng chọn lên toa 1 hoặc 2 hoặc 3. Vậy 15 hành khách có 315 khả năng
lên 3 toa tầu. Vậy n = 315.
Chọn 3 trong 15 hành khách lên vào toa 1 sẽ có cách. Số cách xếp ngẫu nhiên
12 hành khách còn lại lên toa 2 và 3 là 212 cách. Từ đó m = ´ 212. Vậy
P(A) = .
b/ Đặt B là biến cố “mỗi toa có 5 hành khách”. Lý luận tương tự ta có
P(B) =
Không gian xác suất liên tục (định nghĩa xác suất hình học)
Giả sử có một số vô hạn các biến cố đồng khả năng được biểu thị như tập các
điểm của miền . Khi đó, nếu tập các biến cố thuận lợi cho A là miền S trong
thì xác suất của biến cố A được định nghĩa bởi:
P(A) =
Ví dụ 1.2.5. Tìm xác suất để phương trình x2 + 2ax + b = 0 có nghiệm thực nếu
các hệ số a, b có cùng khả năng được chọn ngẫu nhiên trong miền
Giải. Không gian biến cố sơ cấp là
=

Phương trình có nghiệm thực nếu a, b được chọn trong miền
S =
Diện tích miền hình vuông bằng 4 và diện tích miền S là 2 + 2
Vậy nếu đặt A là biến cố “phương trình có nghiệm thực” thì
1.3. Một số tính chất của xác suất
i1/ Với A thì P( ) = 1 - P(A).
i2/ P( ) = 0.
i3/ Với A, B và nếu A Ì B thì P(A) P(B).
i4/ Với A, B thì P(A B) = P(A) + P(B) – P(AB). (Công thức cộng)
Tổng quát, với A1, A2, ..., An thì
i5/ Với mọi A1, A2, ... thì

i6/ Cho (An, n ³1) là dãy đơn điệu giảm các biến cố, nghĩa là A1Ê A2 Ê…Ê An Ê…
Nếu thì (Tính chất liên tục của xác suất )
Ví dụ 1.3.1. Một phòng được lắp 2 hệ thống chuông báo động phòng cháy, một hệ
thống báo khi thấy khói và một hệ thống báo khi thấy lửa xuất hiện. Qua thực
nghiệm thấy xác suất chuông báo khói là 0,95; chuông báo lửa là 0,91 và cả 2
chuông báo là 0,88. Tính xác suất để khi có hoả hoạn, ít nhất một trong 2 chuông
sẽ báo.
Giải. Đặt A là biến cố “chuông báo khi thấy khói” và B là biến cố “chuông báo
khi thấy lửa” thì biến cố cần tìm là . Ta có
Ví dụ 1.3.2. Chọn ngẫu nhiên một vé xổ số có 5 chữ số. Tìm xác suất để vé số đó
không có số 0 hoặc không có số 5.
Giải. Đặt A là biến cố “vé số có số 0” và B là biến cố “vé số có số 5” thì biến cố
cần tìm là . Ta có
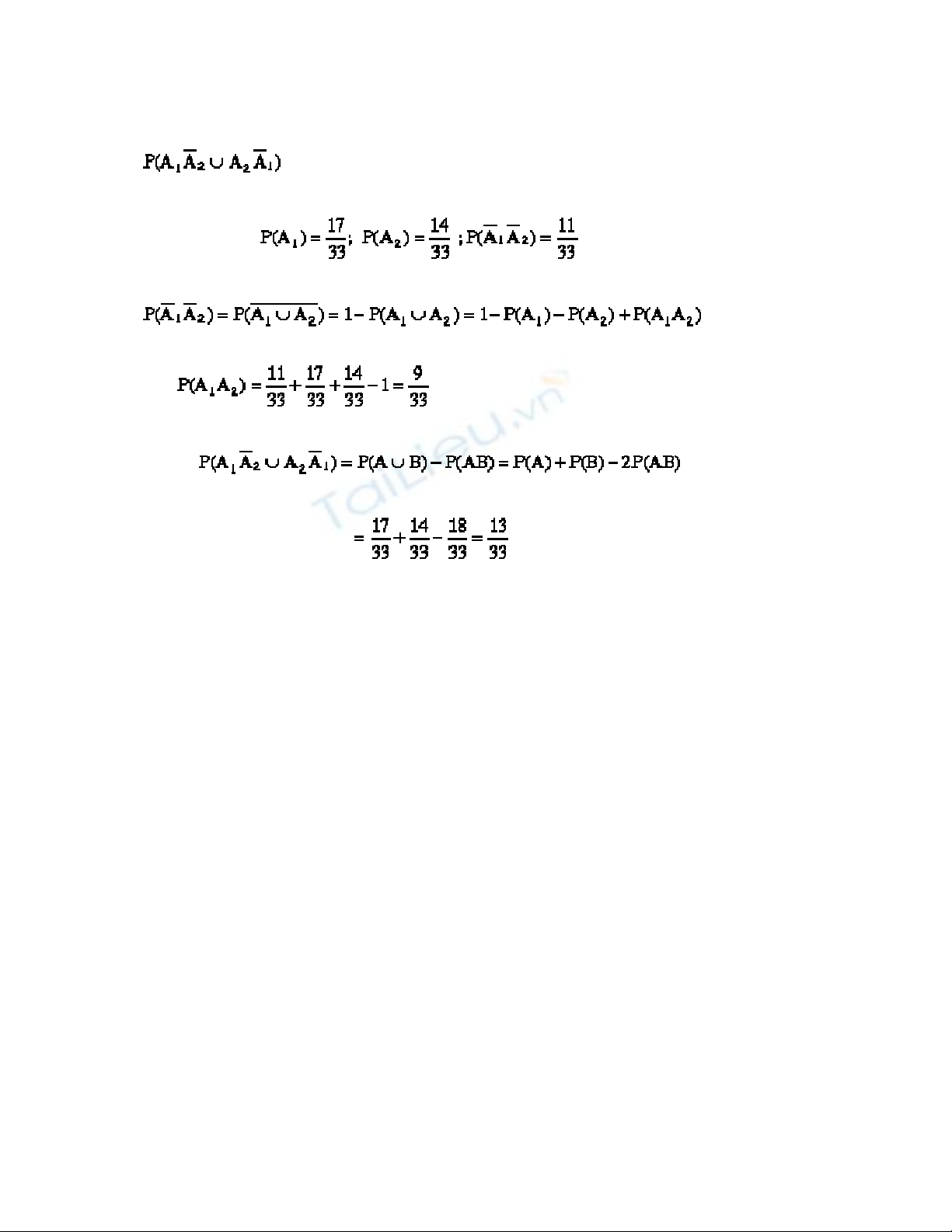
Ví dụ 1.3.3. Có 33 học sinh tham dự kỳ thi chọn học sinh giỏi gồm 2 vòng thi. Biết
rằng có 17 học sinh đỗ vòng1; 14 học sinh đỗ vòng 2 và 11 học sinh trượt cả hai
vòng thi. Chọn ngẫu nhiên một học sinh trong danh sách dự thi. Tìm xác suất để
học sinh đó chỉ đỗ duy nhất 1 trong 2 vòng thi.

Giải. Đặt Ai là biến cố “học sinh đó đỗ vòng thi i”, i = 1,2.Ta cần tìm
.
Theo giả thiết . Do
nên . Vậy

