
120
SOLIDWORKS
-
COSMOSWorks *Đ
ÀO CHI L
ĂNG
-
DCL*
4. Click OK.
Xem ứng suất von Mises:
Trong cây COSMOSWorks Manager, double-click Plot1 trong thư mục Stress. Biểu đồ ứng suất xuất
hiện. So với biểu đồ trước để thấy có những thay đổi nhỏ.
Bạn sẽ liệt kê các phản lực trên mô hình.
Liệt kê các phản lực:
1. Trong cây COSMOSWorks Manager, right-click thư mục DisplacementReaction Force. Hộp
Reaction Force xuất hiện. và chọn
2. Đặt Units là lb.
3. Trong vùng đồ họa, chọn bề mặt của CrankArmAxle như minh họa dưới.
4. Click Update. Danh sách Reaction Force liệt kê các phản lực trên bề mặt này và trên toàn bộ mô
hình. Sum X là 200.00, Sum Y là 0.026786, và Sum Z là -0.0040349.
Danh sách cho thấy thành phần X của phản lực có cường độ bằng nhưng ngược hướng với ngoại lực.
5. Click Close.

121
SOLIDWORKS
-
COSMOSWorks *Đ
ÀO CHI L
ĂNG
-
DCL*
Bạn sẽ thay đổi phổ màu sắc của biểu đồ ứng suất theo sở thích.
Tùy biến phổ màu của biểu đồ ứng suất:
1. Right-click Plot1 trong thư mục Stress và chọn Chart Options. Bảng thuộc tính Chart Options xuất
hiện.
2. dưới Position/Format, click để định vị biểu đồ legend sang bên trái cửa sổ biểu đồ.
3. Dưới Color Options, làm như sau:
a. Chọn User Defined từ trình đơn thả xuống.
b. Đặt No. of chart colors bằng 3.
c. Đặt Base Color bằng 3.
d. Click hộp màu tận cùng bên phải (trước hộp trắng), chọn màu đỏ từ bảng màu và click OK. Màu tận
cùng bên phải được dùng cho giá trị ứng suất lớn nhất.
4. Click OK .
Biểu đồ ứng suất được tạo lại với phổ màu mới:

122
SOLIDWORKS
-
COSMOSWorks *Đ
ÀO CHI L
ĂNG
-
DCL*
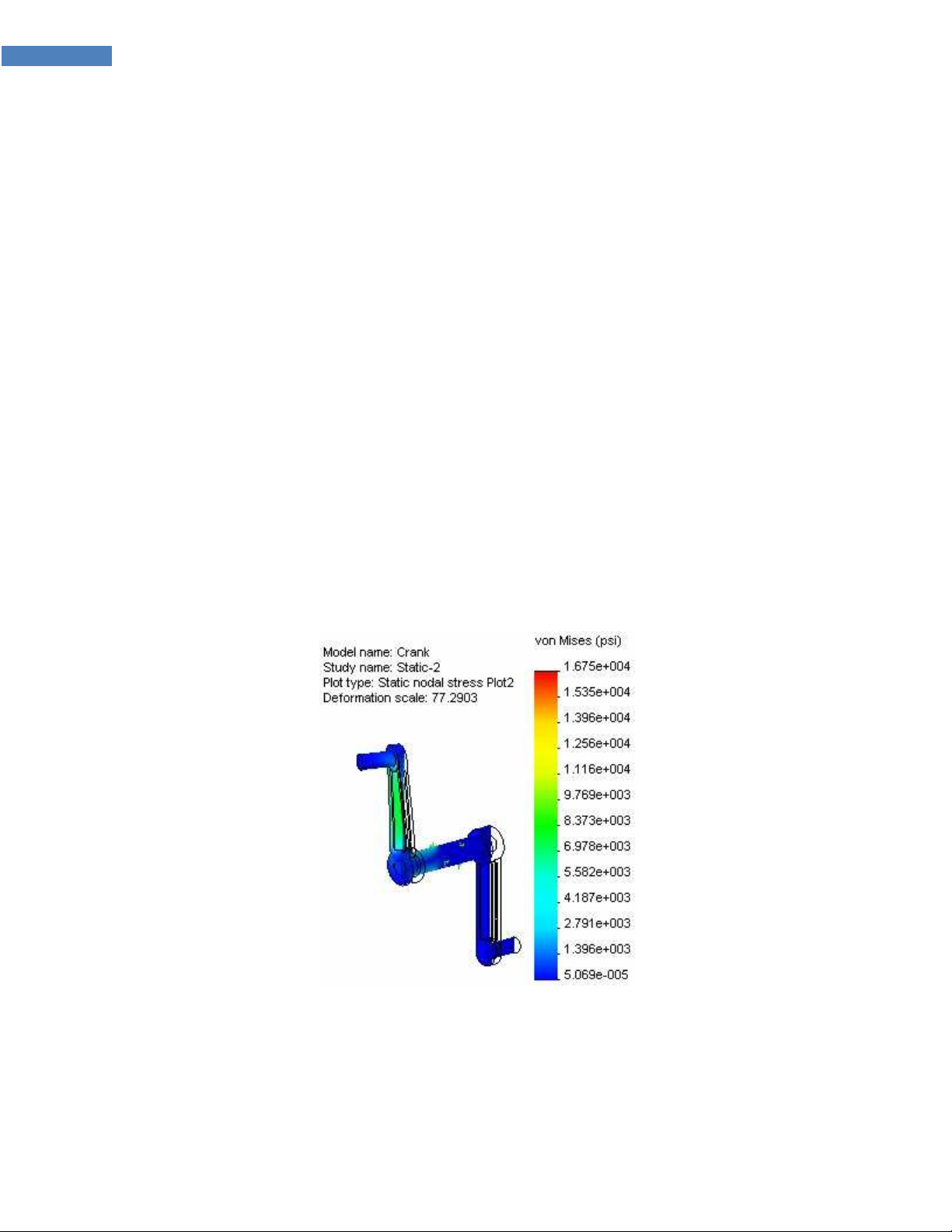
Tạo biểu đồ ứng suất với màu mặc định:
1. Trong cây COSMOSWorks Manager, right-click thư mục Stress và chọn Define. Bảng thuộc tính
Stress Plot xuất hiện.
2. Trong hộp Display, làm như sau:
a. Chắc chắn Component là VON: von Mises stress.
b. Đặt Units là psi.
3. Click OK. Plot2 xuất hiện trong thư mục Stress và biểu đồ này hiển thị trong vùng đồ họa.
Bây giờ, bạn tạo một biểu đồ mặt cắt ứng suất von Mises.
Tạo một biểu đồ mặt cắt:
1. Trong cây COSMOSWorks Manager, right-click Plot2 trong thư mục Stress và chọn Section
Clipping. Bảng thuộc tính Section xuất hiện.
2. Tách cây COSMOSWorks Manager để hiển thi cây FeatureManager.
3. Ở cây FeatureManager, click Plane3. Plane3 xuất hiện trong hộp chọn dưới Section 1.
4. Dưới Options, hủy Show section plane.
5. Click OK . Biểu đồ mặt cắt ứng suất hiển thị như minh họa.
Bạn có thể kiểm soát diện mạo Biểu đồ mặt cắt bằng Settings PropertyManager.
Kiểm soát biểu đồ mặt cắt:
1. Trong cây COSMOSWorks Manager, right-click Plot2 trong thư mục Stress và chọn Settings. Bảng

123
SOLIDWORKS
-
COSMOSWorks *Đ
ÀO CHI L
ĂNG
-
DCL*
thuộc tính Settings xuất hiện.
2. Dưới Boundary options, chọn None.
3. Dưới Deformed plot options:
a. Chọn Superimpose model on the deformed shape.
b. Chắc chắn Translucent (Single color) được chọn và di chuyển thanh trượt đến điểm giữa.
4. Click OK . Biểu đồ mặt cắt hiển thị như minh họa.
Bạn sẽ dùng công cụ Probe để thăm các giá trị ứng suất trên biểu đồ cắt như sau:
1. Trong cây COSMOSWorks Manager, right-click Plot2 trong thư mục Stress và chọn Probe. Hộp danh
mục Probe xuất hiện.
2. Trong vùng đồ họa, click vào biểu đồ cắt tại các vị trí khác nhau. Hộp danh mục sẽ liệt kê giá trị ứng
suất von Mises stress và tọa độ tương ứng của các điểm bạn click theo hệ tọa độ chung.

124
SOLIDWORKS
-
COSMOSWorks *Đ
ÀO CHI L
ĂNG
-
DCL*
3. Click Plot. Cửa sổ biểu đồ Probe Result mở ra. Ứng suất von Mises stress được vẽ theo vị trí bạn
thăm (số của điểm). Biểu đồ này không thể hiện khoảng cách thực giữa các điểm.
4. Đóng cửa sổ biểu đồ lại.
5. Click Close hộp thoại Probe.
6. Lưu tài liệu.
Tạo lưới cho mô hình và chạy nghiên cứu:
1. Trong cây COSMOSWorks Manager, right-click biểu tượng Mesh và chọn Create. Một thông điệp
cảnh báo rằng tạo lại lưới sẽ xóa bỏ toàn bộ các kết quả trước đó.
2. Click OK. Bảng thuộc tính Mesh xuất hiện.
3. Chọn Run analysis after meshing.
4. Click OK.

