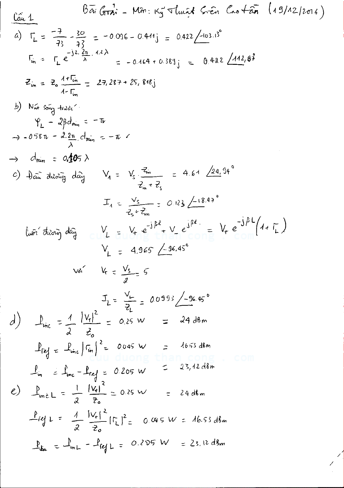
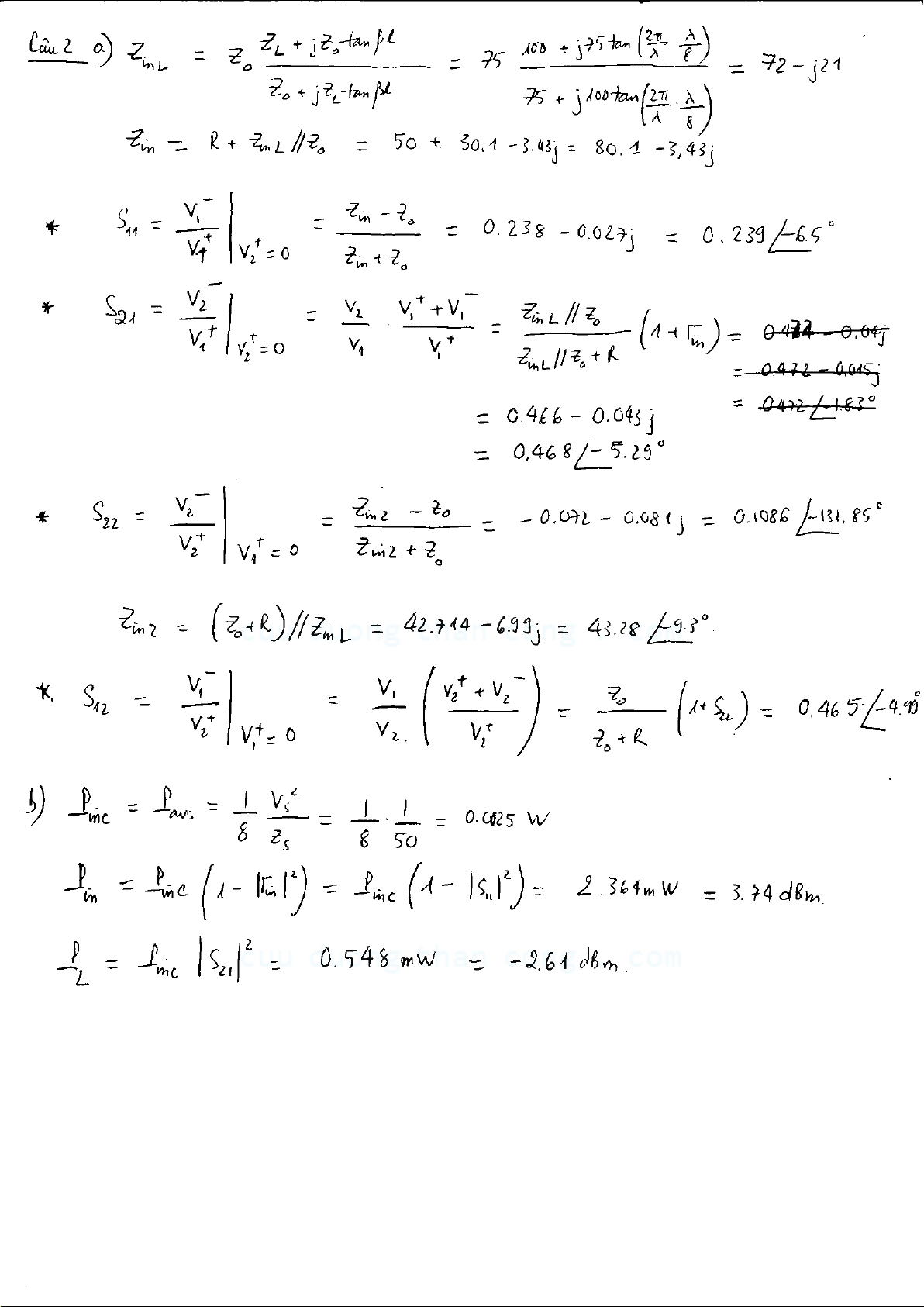
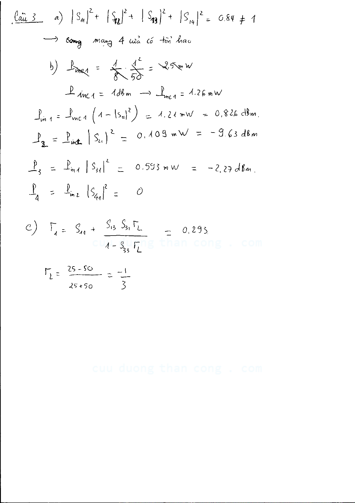
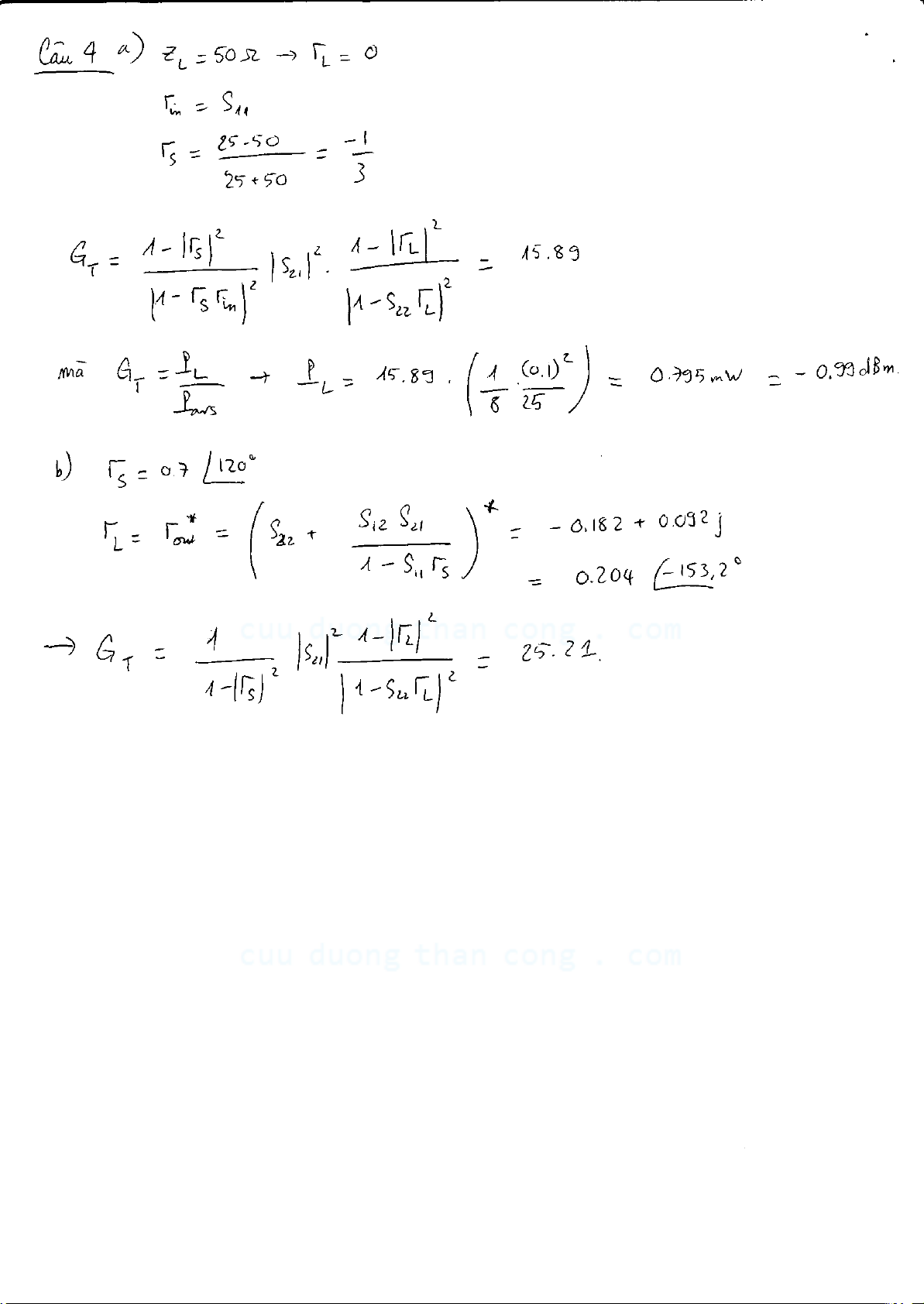
Bài giải đề thi Kỹ thuật siêu cao tần
Bài giải đề thi Kỹ thuật siêu cao tần nhằm giúp người học ôn tập và củng cố kiến thức, giúp cho các bạn sinh viên nắm bắt được cấu trúc đề thi, dạng đề thi chính để có kế hoạch ôn thi một cách tốt hơn. Mời các bạn cùng tham khảo nội dung chi tiết.

CuuDuongThanCong.com

CuuDuongThanCong.com

CuuDuongThanCong.com

CuuDuongThanCong.com