
I. THIẾT LẬP PHƢƠNG TRÌNH VI PHÂN CHUYỂN ĐỘNG
1. Mô hình hệ 1 BTD
oSingle Degree of Freedom system – SDOF
Khối lượng m
Độ cứng k
Hệ số cản c
Lực kích động p(t)
Vị trí khối lượng thời điểm y(t) = v(t)
oHệ một bậc tự do có các đặc trưng phân bố m, k, c, p(t) đều có thể
đưa về mô hình có các đặc trưng vật lý tập trung (hệ một bậc tự do
suy rộng)
GV Trịnh Bá Thắng
Chương 2: HỆ MỘT BẬC TỰ DO
lOMoARcPSD|16911414

I. THIẾT LẬP PHƢƠNG TRÌNH VI PHÂN CHUYỂN ĐỘNG
2. Thiết lập phƣơng trình vi phân chuyển động
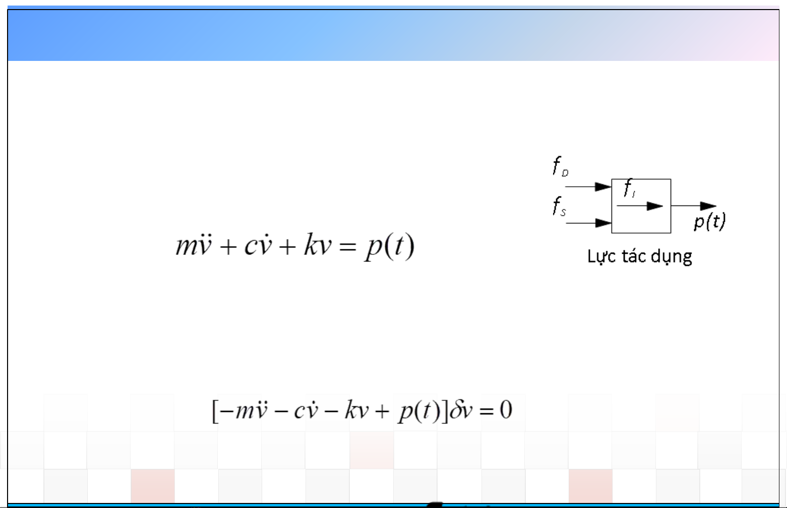
Nguyên lý D’Alambert
p(t) + fS + fI + fD =0
Hay (2.1)
Nguyên lý công khả dĩ
oCho khối lượng chuyển vị khả dĩ
v. Công khả dĩ:
W = p(t)
v + fS
v + fI
v + fD
v = 0
hay
o Vì
v 0 nên thu được giống như (2.1)
GV Trịnh Bá Thắng
Chương 2: HỆ MỘT BẬC TỰ DO
lOMoARcPSD|16911414

I. THIẾT LẬP PHƢƠNG TRÌNH VI PHÂN CHUYỂN ĐỘNG
2. Thiết lập phƣơng trình vi phân chuyển động
Nguyên lý Hamilton
oĐộng năng của hệ:
→ Biến phân động năng:
oThế năng biến dạng đàn hồi của lò xo:
→ Biến phân:
oBiến phân công của lực không bảo toàn p(t) và fD (tức là công khả
dĩ của hai lực này trên chuyển vị khả dĩ v):
oTheo nguyên lý Hamilton
GV Trịnh Bá Thắng
Chương 2: HỆ MỘT BẬC TỰ DO
lOMoARcPSD|16911414



