
1
K TOÁN QU N TRẾ Ả Ị

2
CH NG IƯƠ
T NG QUAN K TOÁN Ổ Ế
QU N TRẢ Ị

3
B N CH T C A KTQTẢ Ấ Ủ
-H th ng con c a h th ng thông tin qu n lý DN ệ ố ủ ệ ố ả
( H th ng thông tin th tr ng, h th ng thông ệ ố ị ườ ệ ố
tin s n xu t, h th ng thông tin tài chính, h th ng ả ấ ệ ố ệ ố
thông tin nhân s , h th ng thông tin k toán)ự ệ ố ế
- H th ng con c a h th ng k toán ệ ố ủ ệ ố ế
(k toán tài chính và k toán qu n tr )ế ế ả ị
Khái ni m: KTQT là m t khoa h c thu nh n, x lý và ệ ộ ọ ậ ử
cung c p thông tin v ho t đng sxkd m t cách c ấ ề ạ ộ ộ ụ
th , ph c v cho các nhà qu n lý trong vi c l p k ể ụ ụ ả ệ ậ ế
ho ch, đi u hành, t ch c th c hi n k ho ch và ạ ề ổ ứ ự ệ ế ạ
qu n lý các ho t đng kinh t , tài chính trong n i b ả ạ ộ ế ộ ộ
DN

4
KTQT: H TH NG CON C A H TH NG THÔNG TIN Ệ Ố Ủ Ệ Ố
QU N LÝẢ
H ệ
th ng ố
quy t ế
đnhị
Thông tin bên ngoài
Các
ngu n ồ
l cự
H ệ
th ng ố
thông
tin
H ệ
th ng ố
tác
nghi p ệ
S n ả
ph m, ẩ
d ch ị
v ụ

5
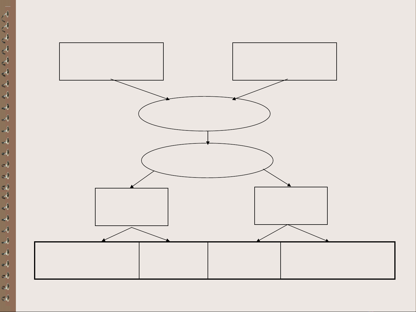
KTQT: H TH NG CON C A H TH NG KTỆ Ố Ủ Ệ Ố
Ngu n thông tin ồ
n i b DNộ ộ Ngu n thông tin ồ
bên ngoài DN
Thông tin thu th pậ
X lý thông tinử
Quan h ệ
bên ngoài
Quan h ệ
bên trong
H th ng thông ệ ố
tin qu n tr khácả ị
K toán ế
qu n trả ị
K toán ế
tài chính
M i quan h ố ệ
bên ngoài khác

