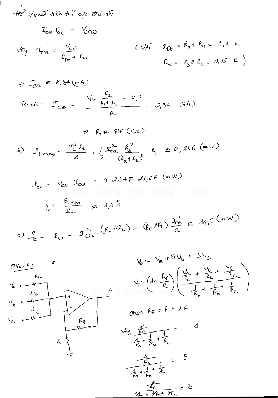
Đề kiểm tra cuối học kỳ II năm học 2015 môn Mạch điện tử
Đề kiểm tra cuối kỳ Mạch điện tử giúp cho các bạn sinh viên nắm bắt được cấu trúc đề thi, dạng đề thi chính để có kế hoạch ôn thi một cách tốt hơn. Tài liệu hữu ích cho các các bạn sinh viên đang theo học chuyên ngành Điện – Điện tử và những ai quan tâm đến môn học này dùng làm tài liệu tham khảo.

CuuDuongThanCong.com

CuuDuongThanCong.com

CuuDuongThanCong.com

CuuDuongThanCong.com