
1
BÀI GI NG V T H C C U TRÚC NANÔẢ Ề Ừ Ọ Ấ
PGS TS. TRẦN HOÀNG HẢI
VIỆN VẬT LÝ TP HCM
Ph n II,ầ
V t li u t c u trúc nanôậ ệ ừ ấ
và ng d ng trong y sinhứ ụ

Địa chỉ bạn đã tải:
http://mientayvn.com/Cao%20hoc%20quang%20dien%20tu/Semina%20tren%20lop/seminar.ht
Địa chỉ bạn đã tải:
http://mientayvn.com/Cao%20hoc%20quang%20dien%20tu/Semina%20tren%20lop/seminar.ht
Nơi bạn có thể thảo luận:
http://myyagy.com/mientay/
Nơi bạn có thể thảo luận:
http://myyagy.com/mientay/
Dịch tài liệu trực tuyến miễn phí:
http://mientayvn.com/dich_tieng_anh_chuyen_nghanh.html
Dịch tài liệu trực tuyến miễn phí:
http://mientayvn.com/dich_tieng_anh_chuyen_nghanh.html
Dự án dịch học liệu mở:
http://mientayvn.com/OCW/MIT/Co.html
Dự án dịch học liệu mở:
http://mientayvn.com/OCW/MIT/Co.html
Liên hệ với người quản lí trang web:
Yahoo: thanhlam1910_2006@yahoo.com
Gmail: frbwrthes@gmail.com
Liên hệ với người quản lí trang web:
Yahoo: thanhlam1910_2006@yahoo.com
Gmail: frbwrthes@gmail.com


Chương 3.
Màng đa lớp
và hiệu ứng từ điện trở

Chương 3. Màng đa lớp và hiệu ứng từ điện trở
TỪ ĐIỆN TRỞ
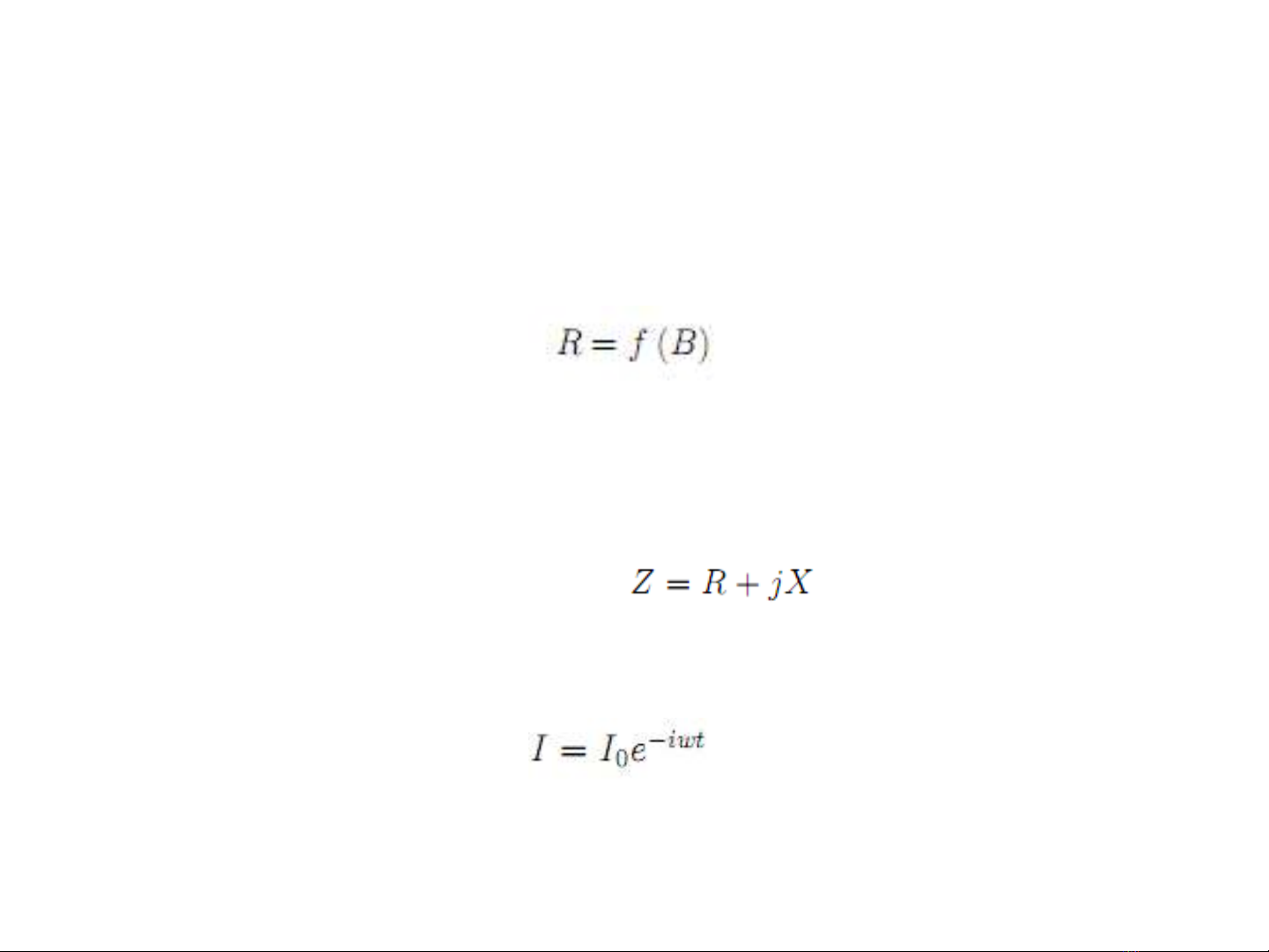
Nguyên lý cơ bản của hiện tượng tử điện trở ( MR) là sự thay đổi điện trở
của vật liệu hay của một cấu trúc như một hàm của từ trường ngoài:
Định nghĩa trên bao gồm nhiều các cơ chế khác nhau tạo ra hiệu ứng vĩ mô
trên.
Tuy nhiên, trở kháng từ (magnetoimpedance), một hiện tượng bao gồm các
thay đổi của tổng số trở kháng
(trong đó R là một số thực và X là thành phần ảo) của một dây dẫn sắt từ
trong một từ trường ngoài, Hext, khi một dòng điện thay đổi tần số cao :
chảy qua nó [3], nên không được coi là Từ điện trở.

