Mạng xã hội chia sẻ tài liệu
Upload
Đăng nhập
Nâng cấp VIP
Trang chủ
»
Khoa Học Tự Nhiên
»
Vật lý
11 trang
1134 lượt xem
219
0
Bài tập điện động lực học 2
Tham khảo tài liệu 'bài tập điện động lực học 2', tài liệu phổ thông, vật lý phục vụ nhu cầu học tập, nghiên cứu và làm việc hiệu quả
Chủ đề:
tvhoplove
Điện động lực học
Bài tập Điện động lực học
Save
Like
Share
Report
Download
AI tóm tắt
/
11
Th
eo
đ
nh
lí
O-G
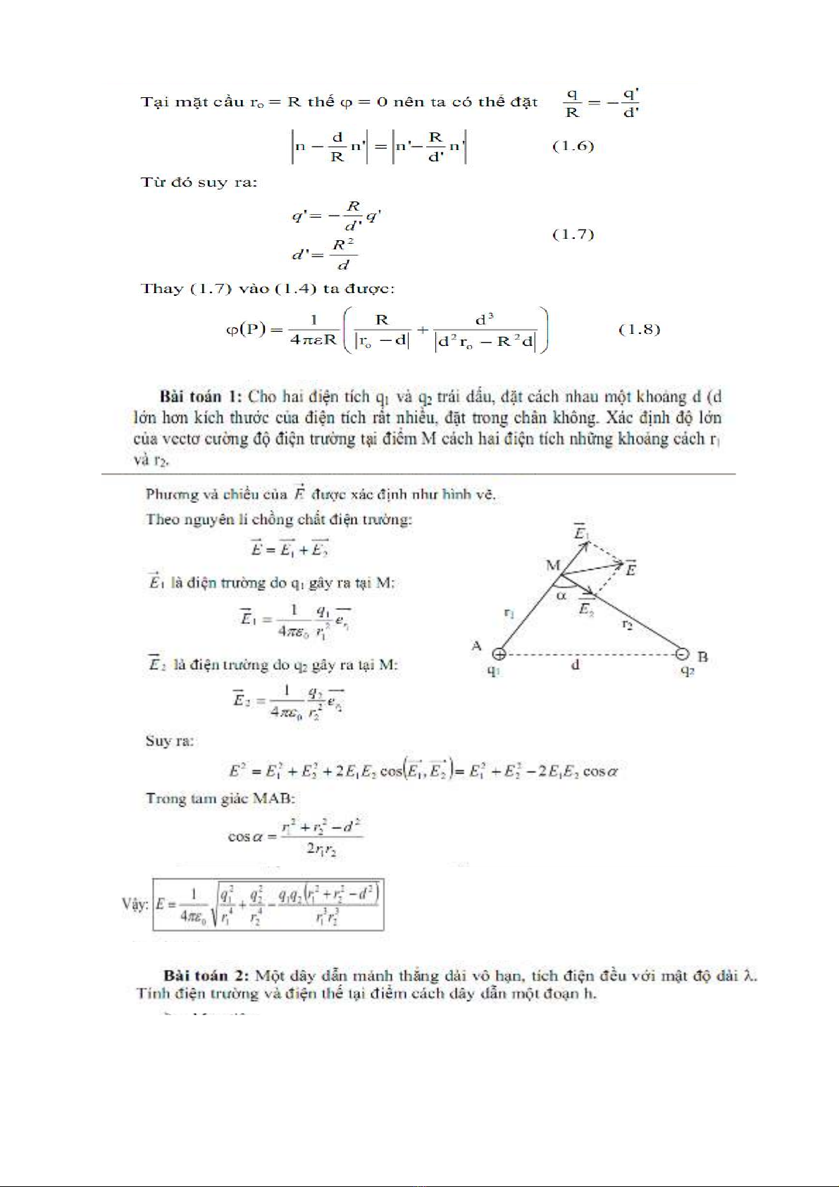
:
ị
Tài liệu liên quan
Đề thi giữa học kì 1 môn Điện động lực học năm 2023-2024
Đề thi giữa học kì 2 kết thúc học phần Điện động lực năm 2019-2020
Đề thi giữa học kì 2 kết thúc học phần Điện động lực học năm 2023-2024
Đề thi giữa học kì 2 kết thúc học phần Điện động lực học năm 2022-2023
Đề thi giữa học kì 2 kết thúc học phần Điện động lực học năm 2020-2021
Đề thi giữa học kì 2 kết thúc học phần Điện động lực năm 2020-2021
Đề thi học kì 2 kết thúc học phần Điện động lực học năm 2023-2024
Đề thi học kì 1 kết thúc học phần Điện động lực học năm 2023-2024
Bài giảng Điện động lực học - Chương 7: Lý thuyết bức xạ sóng điện từ
Bài giảng Điện động lực học - Chương 6: Sóng điện từ
Tài liêu mới
Thí nghiệm Vật lý 2: Bài 3 - Khảo sát hiện tượng phân cực ánh sáng - Nghiệm định luật Malus
Thí nghiệm Vật lý 2: Bài 2 - Khảo sát nhiễu xạ của chùm laser qua cách tử phẳng nhằm xác định bước sóng của laser
Thí nghiệm Vật lý 2: Bài 1 - Khảo sát hiện tượng giao thoa ánh sáng
Bài giảng Cơ sở vật lí 2: Chương 8 - TS. Trương Đặng Hoài Thu
Bài giảng Cơ sở vật lí 2: Chương 7 - TS. Trương Đặng Hoài Thu
Bài giảng Cơ sở vật lí 2: Chương 6 - TS. Trương Đặng Hoài Thu
Bài giảng Cơ sở vật lí 2: Chương 5 - TS. Trương Đặng Hoài Thu
Bài giảng Cơ sở vật lí 2: Chương 4 - TS. Trương Đặng Hoài Thu
Bài giảng Cơ sở vật lí 2: Chương 3 - TS. Trương Đặng Hoài Thu
Bài giảng Cơ sở vật lí 2: Chương 2 - TS. Trương Đặng Hoài Thu
Bài giảng Cơ sở vật lí 2: Chương 1 - TS. Trương Đặng Hoài Thu
Đề thi học kì 2 môn Vật lí 1 năm 2023-2024 có đáp án
Đề thi học kì 2 môn Vật lí 1 năm 2023-2024 có đáp án
Đề thi học kì 2 môn Vật lí 1 năm 2022-2023 có đáp án
Đề thi học kì 2 môn Vật lí 1 năm 2022-2023 có đáp án (Đề CLC)
AI tóm tắt
- Giúp bạn nắm bắt nội dung tài liệu nhanh chóng!
Giới thiệu tài liệu
Đối tượng sử dụng
Từ khoá chính
Nội dung tóm tắt