
Long Xuy
ĐI N Đ NG L C H C_ DH9LỆ Ộ Ự Ọ
1

Long Xuy
ĐI N Đ NG L C H C_ DH9LỆ Ộ Ự Ọ
2

Long Xuy
ĐI N Đ NG L C H C_ DH9LỆ Ộ Ự Ọ
3

Long Xuy
ĐI N Đ NG L C H C_ DH9LỆ Ộ Ự Ọ
4

Long Xuy
ĐI N Đ NG L C H C_ DH9LỆ Ộ Ự Ọ
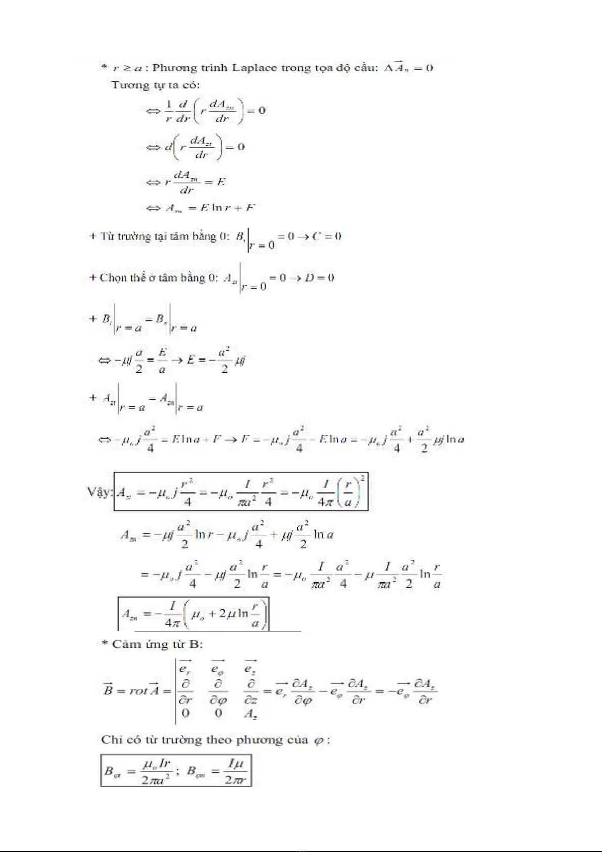
Đi u ki n liên t c:ề ệ ụ
5

