
Lý thuyết tín hiệu
Lecturer: M.Eng. P.T.A. Quang

Chương 5: Biến đổi Fourier rời rạc theo thời
gian
1. Biến đổi Fourier rời rạc thời gian
2. Các tính chất của biến đổi Fourier rời rạc
3. Hệ thống đặc trưng bởi ptsp tuyến tính hsh

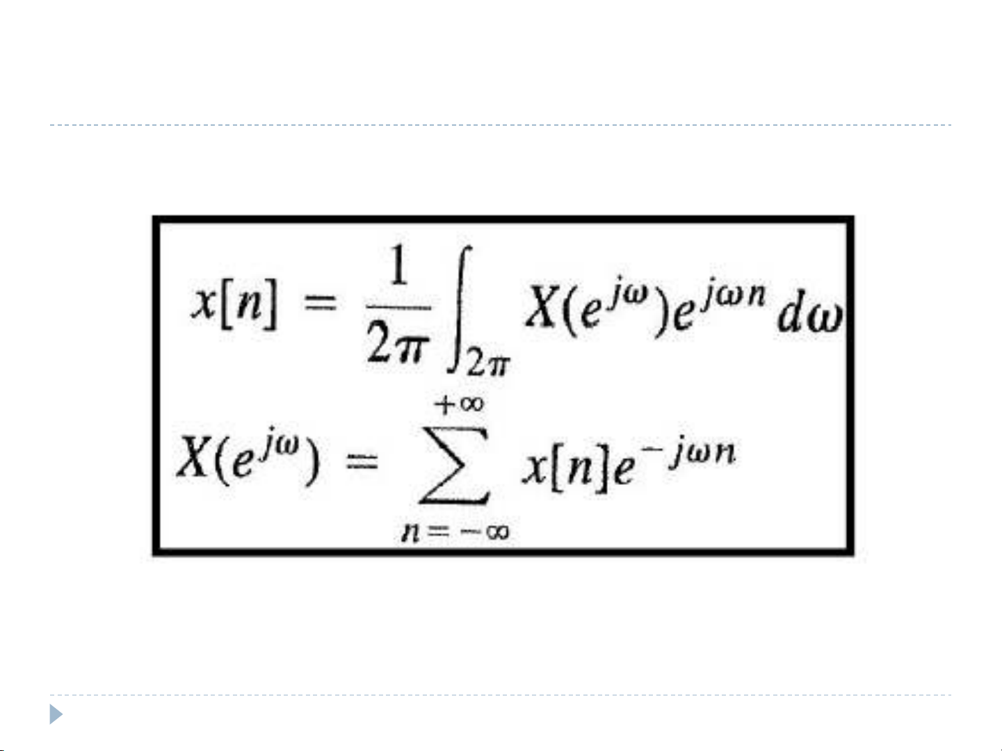
Biến đổi Fourier rời rạc thời gian

Biến đổi Fourier rời rạc thời gian
Ví dụ: tìm biến đổi Fourier của các tín hiệu sau
1||],[][ anuanx n
1||,][ || aanx n
1
1
||,0
||,1
][ Nn
Nn
nx

Các tính chất của biến đổi Fourier rời rạc
Tính chất tuần hoàn
Tính chất tuyến tính
Dịch thời gian và dịch tần số
Phức và đối xứng phức
Vi phân và tích lũy
Đảo thời gian
Mở rộng thời gian
Vi phân trong miền tần số

