
CHƯƠNG IV.
PHẢN ỨNG HÓA HỌC – PHẢN ỨNG OXI HÓA KHỬ –
ĐIỆN PHÂN – TỐC ĐỘ PHẢN ỨNG VÀ CÂN BẰNG HÓA HỌC
I. PHẢN ỨNG HÓA HỌC
Quá trình biến đổi các chất này thành các chất khác được gọi là phản ứng hoá học.
Trong phản ứng hoá học tổng khối lượng các chất tham gia phản ứng bằng tổng khối
lượng các chất tạo thành sau phản ứng.
Các dạng phản ứng hoá học cơ bản:
a) Phản ứng phân tích là phản ứng trong đó một chất bị phân tích thành nhiều chất
mới.
Ví dụ: CaCO3 = CaO + CO2 ↑
b) Phản ứng kết hợp là phản ứng trong đó hai hay nhiều chất kết hợp với nhau tạo
thành một chất mới.
Ví dụ. BaO + H2O = Ba(OH)2.
c) Phản ứng thế là phản ứng trong đó nguyên tử của ngyên tố này ở dạng đơn chất
thay thế nguyên tử của nguyên tố khác trong hợp chất.
Ví dụ. Zn + H2SO4 loãng = ZnSO4 + H2 ↑
d) Phản ứng trao đổi là phản ứng trong đó các hợp chất trao đổi nguyên tử hay nhóm
nguyên tử với nhau.
Ví dụ. BaCl2 + NaSO4 = BaSO4 + 2NaCl.
e) Phản ứng oxi hoá - khử
II. PHẢN ỨNG OXI HÓA KHỬ
1. Số oxi hoá.

Để thuận tiện khi xem xét phản ứng oxi hoá - khử và tính chất của các nguyên tố,
người ta đưa ra khái niệm số oxi hoá (còn gọi là mức oxi hoá hay điện tích hoá trị).
Số oxi hoá là điện tích quy ước mà nguyên tử có được nếu giả thuyết rằng cặp e liên
kết (do 2 nguyên tử góp chung) chuyển hoàn toàn về phía nguyên tử có độ âm điện lớn
hơn.
Số oxi hoá được tính theo quy tắc sau :
Tổng đại số số oxi hoá của các nguyên tử trong phân tử trung hoà điện bằng 0.
Tổng đại số số oxi hoá của các nguyên tử trong một ion phức tạp bằng điện tích của
ion. Ví dụ trong ion , số oxi hoá của H là +1, của O là 2 của S là +6.
+ 1 + 6 + (2. 4) = 1.
Trong đơn chất, số oxi hoá của các nguyên tử bằng 0.
Ví dụ: Trong Cl2, số oxi hoá của Cl bằng 0.
Khi tham gia hợp chất, số oxi hoá của một số nguyên tố có trị số không đổi như sau.
+ Kim loại kiềm luôn bằng +1.
+ Kim loại kiềm thổ luôn bằng +2.
+ Oxi (trừ trong peoxit bằng 1) luôn bằng 2.
+ Hiđro (trừ trong hiđrua kim loại bằng 1) luôn bằng 2.
+ Al thường bằng +3.
Chú ý: Dấu của số oxi hoá đặt trước giá trị, còn dấu của ion đặt sau giá trị.
Ví dụ:
2. Định nghĩa phản ứng oxi hóa khử
Phản ứng oxi hoá - khử là phản ứng trong đó có sự trao đổi e giữa các nguyên tử
hoặc ion của các chất tham gia phản ứng, do đó làm thay đổi số oxi hoá của chúng.
Ví dụ:
Chất nhường e gọi là chất khử (hay chất bị oxi hoá).

Chất thu e gọi là chất oxi hoá (hay chất bị khử).
Quá trình kết hợp e vào chất oxi hoá được gọi là sự khử chất oxi hoá
Quá trình tách e khỏi chất khử được gọi là sự oxi hoá chất khử:
3. Cân bằng phương trình phản ứng oxi hoá - khử.
Nguyên tắc khi cân bằng : Tổng số e mà chất khử cho phải bằng tổng số e mà chất
oxi hoá nhận và số nguyên tử của mỗi nguyên tố được bảo toàn.
Quá trình cân bằng tiến hành theo các bước:
1) Viết phương trình phản ứng, nếu chưa biết sản phẩm thì phải dựa vào điều kiện cho
ở đề bài để suy luận.
2) Xác định số oxi hoá của các nguyên tố có số oxi hoá thay đổi. Đối với những
nguyên tố có số oxi hoá không thay đổi thì không cần quan tâm.
3) Viết các phương trình e (cho - nhận e).
4) Cân bằng số e cho và nhận.
5) Đưa hệ số tìm được từ phương trình e vào phương trình phản ứng.
6) Cân bằng phần không tham gia quá trình oxi hoá - khử.
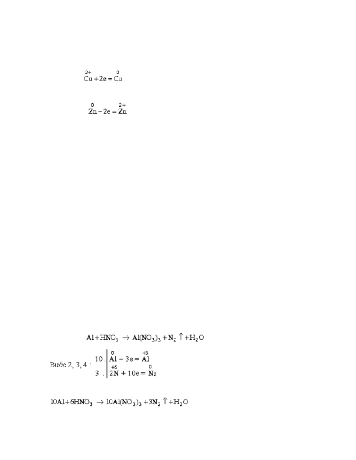
Ví dụ: Cho miếng Al vào dd axit HNO3 loãng thấy bay ra chất khí không màu, không
mùi, không cháy, nhẹ hơn không khí, viết phương trình phản ứng và cân bằng.
Giải: Theo đầu bài, khí bay ra là N2.
Phương trình phản ứng (bước 1):
Bước 5:

Bước 6: Ngoài 6 HNO3 tham gia quá trình oxi hoá - khử còn 3.10 = 3OHNO3 tạo
thành muối nitrat (10Al(NO3)3).
Vậy tổng số phân tử HNO3 là 36 và tạo thành 18H2O.
Phương trình cuối cùng:
Dạng ion:
Chú ý: Đối với những phản ứng tạo nhiều sản phẩm trong đó nguyên tố ở nhiều số oxi
hoá khác nhau, ta có thể viết gộp hoặc viết riêng từng phản ứng đối với từng sản phẩm,
sau đó nhân các phản ứng riêng với hệ số tỷ lệ theo điều kiện đầu bài. Cuối cùng cộng
gộp các phản ứng lại.
Ví dụ: Cân bằng phản ứng:
Giải
Các phản ứng riêng (đã cân bằng theo nguyên tắc trên):
Để có tỷ lệ mol trên, ta nhân phương trình (1) với 9 rồi cộng 2 phương trình lại:
4. Một số dạng phản ứng oxi hoá - khử đặc biệt
1. Phản ứng oxi hoá khử nội phân tử.
Chất oxi hoá và chất khử là những nguyên tử khác nhau nằm trong cùng một phân tử.
Ví dụ.

2. Phản ứng tự oxi hoá - tự khử
Chất oxi hoá và chất khử cùng là một loại nguyên tử trong hợp chất.
Ví dụ: Trong phản ứng.
c) Phản ứng có 3 nguyên tố thay đổi số oxi hoá.
Ví dụ: Cân bằng phản ứng sau theo phương pháp cân bằng e
d) Phản ứng oxi hoá - khử có môi trường tham gia.
Ở môi trường axit thường có ion H+ tham gia tạo thành H2O. Ví dụ:
Ở môi trường kiềm thường có ion OH tham gia tạo thành H2O. Ví dụ:
Ở môi trường trung tính có thể có H2O tham gia. Ví dụ:
III. SỰ ĐIỆN PHÂN
1. Định nghĩa.
Điện phân là sự thực hiện các quá trình oxi hoá - khử trên bề mặt điện cực nhờ dòng
điện một chiều bên ngoài
Quá trình điện phân được biểu diễn bằng sơ đồ điện phân. Ví dụ: Sơ đồ điện phân
NaCl nóng chảy.

