logo
Mạng xã hội chia sẻ tài liệu
Upload
Nâng cấp VIP
Trang chủ » Tài Liệu Phổ Thông » Bài tập cơ bản và nâng cao
1 trang
208 lượt xem
3
0

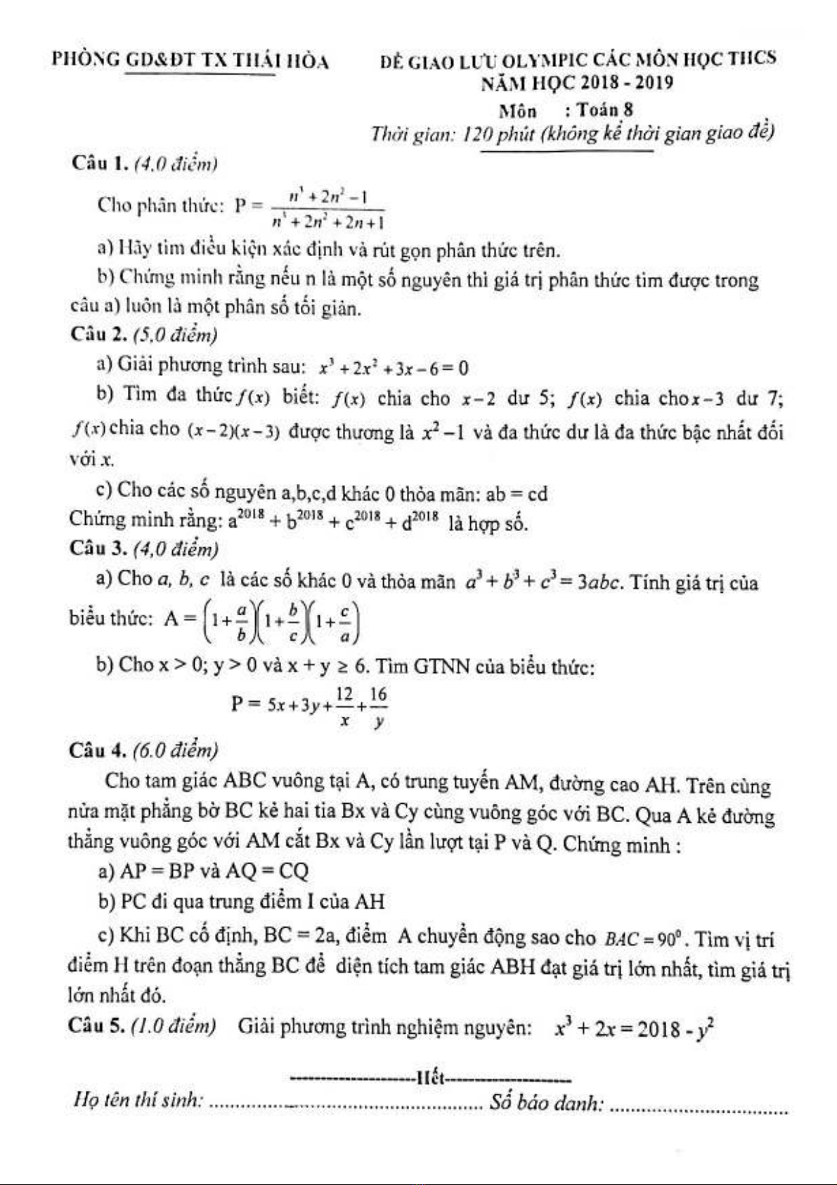
Đề giao lưu Olympic môn Toán 8 năm 2018-2019 - Phòng GD&ĐT Thị xã Thái Hòa

Tham khảo Đề giao lưu Olympic môn Toán 8 năm 2018-2019 - Phòng GD&ĐT Thị xã Thái Hòa để các em làm quen với cấu trúc đề thi, đồng thời ôn tập và củng cố kiến thức căn bản trong chương trình học. Tham gia giải đề thi để ôn tập và chuẩn bị kiến thức và kỹ năng thật tốt cho kì thi học kì sắp diễn ra nhé!

xylitolextra

Share
/
1

Tài liêu mới

Phiếu Bài Tập Cuối Tuần 35 - Toán Lớp 2- Cánh Diều

Phiếu Bài Tập Cuối Tuần 35 - Toán Lớp 2- Cánh Diều

W 8 trang
Tổng hợp bài tập định lý Viète: Tài liệu đầy đủ

Tài liệu Tổng hợp bài tập định lý Viète

W 3 trang
Tài liệu tham khảo Tiếng Anh lớp 8 [mới nhất/hay nhất/chuẩn nhất]

Tài liệu tham khảo Tiếng Anh lớp 8

126 trang
Đề ôn tập Vật lý lớp 12: Tổng hợp đề thi, bài tập hay nhất

Đề ôn tập Vật lí lớp 12

W 6 trang
Cực trị hàm số: Tài liệu chuyên đề chi tiết

Tài liệu chuyên đề: Cực trị hàm số

W 12 trang
Câu hỏi trắc nghiệm Toán lớp 11: Ôn tập hiệu quả

Câu hỏi trắc nghiệm ôn tập môn Toán lớp 11

5 trang
Tổng hợp lý thuyết Toán lớp 8: Tài liệu đầy đủ, chi tiết

Tài liệu Tổng hợp lý thuyết Toán lớp 8

W 16 trang
Bài tập Đại số 7 cơ bản và nâng cao (Tài liệu dành cho giáo viên, phụ huynh)

Tài liệu Bài tập cơ bản và nâng cao Đại số 7 (Dành cho giáo viên, phụ huynh)

400 trang
Tài liệu bồi dưỡng học sinh giỏi môn Lịch sử lớp 9 (Sách Kết nối tri thức) mới nhất

Tài liệu bồi dưỡng học sinh giỏi môn Lịch sử lớp 9 (Sách Kết nối tri thức)

W 34 trang
Tài liệu Hình học 9 chương 5: Đường tròn - Tự luận có lời giải (Sách Kết nối tri thức với cuộc sống)

Tài liệu Hình học 9 - Chương 5: Đường tròn - Tự luận có lời giải (Sách Kết nối trí thức với cuộc sống)

181 trang
Phiếu bài tập cuối tuần Tiếng Việt lớp 1: Tổng hợp tuần 1 đến tuần 5

Phiếu bài tập cuối tuần Tiếng Việt 1 - Tuần 1 đến tuần 5

38 trang
Phiếu bài tập cuối tuần Tiếng Việt 1: Đề 4 - Tuần 2

Phiếu bài tập cuối tuần Tiếng Việt 1 - Tuần 2 - Đề 4

4 trang
Phiếu bài tập cuối tuần Tiếng Việt 1: Đề 3, Tuần 2 (có đáp án)

Phiếu bài tập cuối tuần Tiếng Việt 1 - Tuần 2 - Đề 3

4 trang
Phiếu bài tập cuối tuần Tiếng Việt 1 tuần 2 đề 2: [Hướng dẫn chi tiết]

Phiếu bài tập cuối tuần Tiếng Việt 1 - Tuần 2 - Đề 2

4 trang
Phiếu bài tập cuối tuần Tiếng Việt 1: Đề 1 - Tuần 2 (chuẩn nhất)

Phiếu bài tập cuối tuần Tiếng Việt 1 - Tuần 2 - Đề 1

4 trang

AI tóm tắt

- Giúp bạn nắm bắt nội dung tài liệu nhanh chóng!

Giới thiệu tài liệu

Đối tượng sử dụng

Từ khoá chính

Nội dung tóm tắt

Giới thiệu

Về chúng tôi

Việc làm

Quảng cáo

Liên hệ

Chính sách

Thoả thuận sử dụng

Chính sách bảo mật

Chính sách hoàn tiền

DMCA

Hỗ trợ

Hướng dẫn sử dụng

Đăng ký tài khoản VIP

Zalo/Tel:

093 303 0098

Email:

support@tailieu.vn

Phương thức thanh toán

Theo dõi chúng tôi

Facebook

Youtube

TikTok

chứng nhận
Chịu trách nhiệm nội dung: Nguyễn Công Hà
Doanh nghiệp quản lý: Công ty TNHH Tài Liệu trực tuyến Vi Na - GCN ĐKDN: 0307893603
Địa chỉ: 54A Nơ Trang Long, P. Bình Thạnh, TP.HCM - Điện thoại: 0283 5102 888 - Email: info@tailieu.vn
Giấy phép Mạng Xã Hội số: 670/GP-BTTTT cấp ngày 30/11/2015