
- Người ra đề: Bùi Thị Thanh Hoa - Tổ Xã hội – Trường THCS Nguyễn Bỉnh
Khiêm.
- Kiểm tra giữa học kỳ II – Môn Tiếng Anh 8 – Thời gian 45 phút - Năm học
2022-2023
1. Mục tiêu: Nội dung kiểm tra tập trung chủ yếu vào bài 7,8,9 Anh 8 gồm:
- Kiểm tra kiến thức ngôn ngữ gồm Pronunciation+Vocabulary + Grammar
&structure.
- Kiểm tra kỹ năng đọc hiểu điền từ và chọn đáp án đúng
- Kiểm tra viết câu.
- Kiểm tra kỹ năng nghe nội dung bài 7, bài 9
2. Hình thức ra đề: Trắc nghiệm và tự luận.
3. Ma trận:
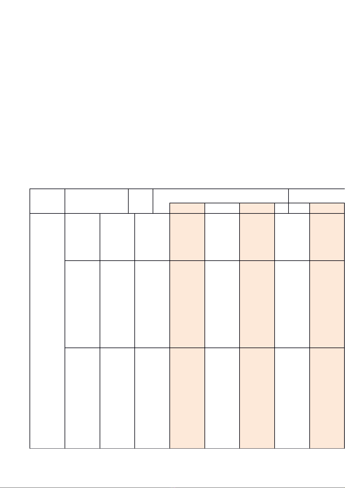
PHÒNG GIÁO DỤC VÀ ĐÀO PHÚ NINH MATRIX FOR THE 2ND MID-
TERM TEST (ENGLISH 8)
TRƯỜNG THCS NGUYỄN BỈNH KHIÊM School year: 2022-2023
PARTS No. of
Ques Mark Task types Com
TN TL TN TL TN
LANGUA
GE
COMPON
ENT
(2.5)
2 0.5
Pronunciat
ion: - Stress
in words
ending: -ic/-
al;-ee /-ese;
-logy/ -
graphy
0,5
3 0,75
Vocabulary
: MCQs:
Circle the
best option
Vocabularie
s related to
U7 – U9
- Pollution
- English
speaking
countries
- Natural
disasters
0,5
0,25
5 1,25 Grammar:
MCQs:
Circle the
best option
Grammar
points (U7-
U9)
- Past
Perfect
- Passive
voice
- Present
tenses ( talk
about
schedule/
0,5
0,25
0,5

plan)
-
Conditional
sentence-
type 1
-
Conditional
sentence-
type 2
READING
(2,5)
6 1,5
Read the
text and fill
in the blank
(with
suitable
words from
the box)
-Passage
related to
U7, U8,U 9
0,5 1,0
4 1,0
Read the
text and
circle the
best
answer:
-A passage
related to
U7,8,9
0,5 0,5
WRITING
(2,5)
2 0,5 (Error
identificatio
n) Circle A,
B, C or D
which is not
correct in
standard
English
- Preposition
- Conditional
sentence- Type
1
0,5
2 1, 0 (Sentence
transformati
on) Rewrite
the
sentences
so as its
meaning
keeps
unchanged
- Passive
voice
-
Conditional
Type 2
2 1,0 (Sentence
building)
Write
complete
sentences
from the
words
given.

- Past
simple+Past
perfect
- Present
simple for
future
LISTENIN
G
(2,5)
6 1,5 - Listen
and
write(Relate
d to U7,8,9)
1,5
4 1,0 - Listen to
the passage
and tick
T/F(Related
to U7,8,9)
1,0
TOTAL(10
,0)
36 10.0 3,0
4. Đặc tả:
TRƯỜNG THCS NGUYỄN BỈNH KHIÊM SPECIFICATION FOR THE 2
NDMIDDLE -TERM TEST (ENGLISH 8)
School year:
2022-2023
ONTEN
TS
No. of
Ques Mar
k
R
e
Com Low App
TN TL TN TL TN TL TN
nunciat
:
n 1:
ss in
ords
ing in –
nd -al
n
ress in
ords
ing in –
y and -
phy
2 0.5
-Which
word has
different
stress
syllable.
0,5
abular
n 3: 1
d about
lution
n 4: 1
d about
English
aking
ountries
3 0,75
MCQs:
Circle the
best option
0,5
0,25

n 5: 1
d about
ural
sasters
ammar
nts:
n 6: 1
ntence
about
onditional
ntences
pe 1
n 7: 1
ntence
about
onditional
ntences
pe 2
n 8: 1
ntence
about
sent
ple for
ure
n 9: 1
ntence
about
passive
ce
n 10: 1
ntence
about past
rfect
5 1.25
MCQs:
Circle the
best option
0.5 0.25 0,5
n 11: 1
d about
nse
n 12: 1
d about
onjunctio
n 13: 1
d about
position
n 14: 1
d about
ective
6 1.5
(Cloze test)
Read the
text about
the effects
of visual
pollution
(with
suitable
words from
the box)
0,5 1.0
n 15: 1
d about
a noun
n 16: 1
d about
erb
n 17:
hoose the
st
wer for
H-
stion
n 18:
nd the
4 1.0 ( Reading
comprehets
ion) Read
the text
about life
in the
countryside
and circle
0.5 0.5

d
…..” is
osest in
aning
…..
n 19: :
F
ement
n 20:
hat does
word
…” in
text
r to?
the best
answer:
n21: 1
ntence
about
position
n 22: 1
ntence
about
onditional
ntence
pe 1
2 0,5
(Error
identificati
on) Circle
A, B, C or
D which is
not correct
in standard
English
05
n 23: 1
ntence
about
passive
ce
n 24: -1
ntence
about
onditional
ntence
pe 2
2 1.0
(Sentence
transformat
ion)
Rewrite the
sentences
so as its
meaning
keeps
unchanged
0.5
n 25: 1
ntence
about past
rfect and
ple past
n 26: 1
ntence
about
sent
ple for
ure
2 1.0
(Sentence
building)
Write
complete
sentences
from the
words
given.
0,5
n 27-
32 : write
words 6 1.5
Listen to
the passage
and
complete
the
sentences
1.5
n 1-5:
F
ement
4 1.0
- Listen to
the passage
and tick
T/F
1,0
36 4.
03.0 2.0

