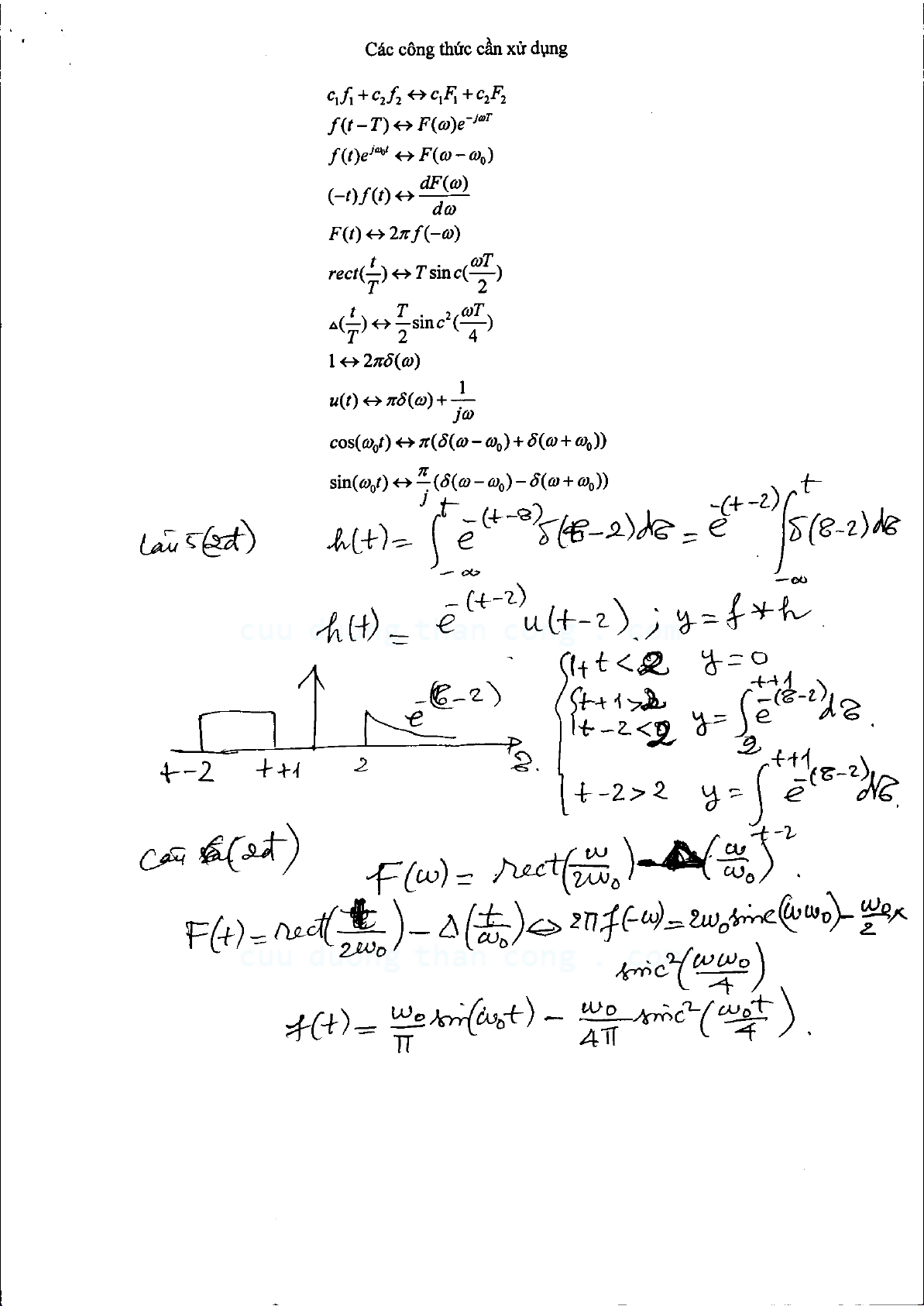
Đề thi học kỳ môn Tín hiệu và hệ thống
Đề thi có cấu trúc gồm 5 câu hỏi khái quát chương trình môn học Tín hiệu và hệ thống. Tài liệu giúp người học ôn tập và củng cố kiến thức, chuẩn bị cho kỳ thi sắp tới. Mời các bạn cùng tham khảo nội dung chi tiết.

CuuDuongThanCong.com

CuuDuongThanCong.com