
11 Sai Lầm Khi Tính Tích Phân 3
11 SAI LẦM KHI TÍNH TÍCH PHÂN
Bà i 1. Tính tích phân
4
2
0
1I x dx
.
Lời giải sai: Đ ặt
sin cosx t dx tdt
.
4 4 4
22
0 0 0
1 cos 2 1
1 sin .cos cos 2 8 4
t
I t tdx tdt
.
Lý do sai: Đổi biến số nhưng không đổi cận.
Lời giải đúng:
sin cosx t dx tdt
. Khi
ar c sin
44
00
xt
xt
.
arcsin arcsin arcsin
4 4 4
22
0 0 0
1 cos 2
1 sin .cos cos 2
t
I t tdx tdt
11
arcsin sin 2arcsin
2 4 4 4
.
Bà i 2. Tính tích phân
1
5
021
dx
I
x
.
Lời giải sai: Đ ặt
21tx
. Khi
13
01
xt
xt
.
3
34
54
11
1 1 20
1
4 4 81
3
dt t
It
.
Lý do sai: Đổi biến không tính vi phân.
Lời giải đúng: Đặt
2 1 2t x dt dx
.
13
01
xt
xt
.
3
34
54
11
1 1 10
1
8 8 81
23
dt t
It
.
Bà i 3. Tính tích phân
2
0
x
I xe dx
.
http://megabook.vn/

11 Sai Lầm Khi Tính Tích Phân 4
Lời giải sai: Đ ặt
'1
'xx
u x u
v e v e
.
2
22
0
0
1
xx
I xe e dx e
.
Lý do sai: H iểu sai bản chất công thức từng phần.
Lời giải đúng: Đặt
xx
u x du dx
dv e dx v e
.
2
22
0
0
1
xx
I xe e dx e
.
Bà i 4. Cho
nN
; chứng m inh
2
0
sin sin 0I x nx dx
.
Lời giải sai: Xét hàm số
sin sinf x x x nx
trên
0; 2
.
Ta có
fx
là hàm liên tục trên
0; 2
và
sin sinf x x nx f x
.
Vậy
fx
là hàm lẻ, suy ra
0I
.
Lý do sai: Học sinh hiểu sai về định lý “Nếu hàm số
fx
là hàm lẻ, liên tục trên
;aa
thì
0
a
a
f x dx
”.
Lời giải đúng: Đặt
x y dx dy
.
2
0
sin sin sin sinI x nx dx y ny n dy
1 sin sin
nny y dy
.
Mặt khác ta có:
sin sing y ny y
xác định trên
;
là hàm liên tục và
sin sin sin sing y ny y ny y g y
.
Suy ra
gy
là hàm lẻ.
Vậy
0I
.
Bà i 5. Cho hàm số
f
liên tục trên
0;
; hãy so sánh
0
sinI xf x dx
và
http://megabook.vn/

11 Sai Lầm Khi Tính Tích Phân 5
0
sinJ f x dx
.
Lời giải sai: Đ ặt
sin cos
u x du dx
dv f x dx v f x
.
0
0
cos cosI xf x f x dx
.
Do
f
liên tục trên
0;
, suy ra
0
cos 0 0 cosf f I f x dx
(1).
Mà
0
sin
2
J f x dx
(2).
Từ (1) và (2) ta có
IJ
.
Lý do sai: Học sinh không hiểu về hàm liên tục, tích phân và vi phân.
Lời giải đúng: Đặt
x t dx dt
.
0
00
sin sin sinI t f t dt f x dx xf x dx
00
2 sin sin
2
I f x dx I f x dx
.
Vậy ta có
IJ
.
Bà i 6. Cho hàm số
f
liên tục trên
;ab
; chứng m inh tồn tại ít nhất m ột điểm
;C a b
sao cho
cb
ac
f x f c dx f c f x dx
.
Lời giải sai: Do
f
liên tục trên
;ab
, suy ra
f x f c
trên
,ac
bằng
f x f c
trên
,bc
, vậy ta có
cb
c
b
ac
f x f c dx f x f c dx f c f x dx
.
Lý do sai: Không hiểu về hàm liên tục nên tính tích phân sai.
Lời giải đúng: Áp dụng định lý về giá trị trung bình của tích phân, suy ra tồn tại ít
nhất m ột điểm
;C a b
sao cho
bb
aa
f x dx f c b a f c dx
Suy ra
0
b c b
a a c
f x f c dx f x f c dx f x f c dx
.
http://megabook.vn/

11 Sai Lầm Khi Tính Tích Phân 6
Hay ta có
cb
ac
f x f c dx f c f x dx
(đpcm ).
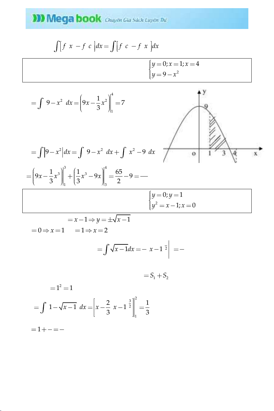
Bà i 7. Tính diện tích hình phẳng giới hạn bởi
2
0; 1; 4
9
y x x
yx
.
Lời giải sai: Diện tích hình phẳng là:
4
4
22
11
1
9 9 7
3
S x dx x x
.
Lý do sai: Áp dụng sai công thức, không ghi
“đvdt – đơn vị diện tích”.
Lời giải đúng: Diện tích hình phẳng là:
3 3 4
2 2 2
1 1 3
9 9 9S x dx x dx x dx
34
33
13
1 1 65 38
9 9 9
3 3 2 3
x x x x
(đvdt).
Bà i 8. Tính diện tích hình phẳng giới hạn bởi
2
0; 1
1; 0
yy
y x x
.
Lời giải sai:
211y x y x
01yx
;
12yx
.
Diện tích hình phẳng là:
2
23
2
11
22
11
33
S x dx x
(đvdt).
Lý do sai: Xác định sai hình cần tính diện tích.
Lời giải đúng: Diện tích hình giới hạn là:
12
S S S
Ta có
2
111S
(đvdt).
2
23
2
2
11
21
1 1 1
33
S x dx x x
14
133
S
(đvdt).
http://megabook.vn/

11 Sai Lầm Khi Tính Tích Phân 7
Bà i 9. Tính diện tích hình giới hạn bởi
2
1
2
2
21
69
35
;
22
y x x C
y x x C
xx
.
Lời giải sai:
12
2;1CC
.
Vậy diện tích của hình giới hạn là:
5
22
22
32
2
13S x dx x dx
5
22
33
32
2
11
13
33
xx
1 1 1 1 7
3 24 24 3 12
(đvdt).
Lý do sai: Xác định sai hình cần tính giới hạn.
Lời giải đúng:
12
2;1CC
.
Diện tích hình giới hạn là:
12
S S S
.
2
22
1
3
2
31S x x dx
22
2
3
2
3
2
1
4 8 2 8 2
x dx x x
5
222
2
2
13S x x dx
5
5
2
22
2
2
1
4 8 2 8 2
x dx x x
12
111
22
S S S
(đvdt).
Bà i 10. Tính thể tích hình xuyến gây bởi hình tròn
2
22
x y b a
;(
0ab
)
quay quanh trục
Ox
.
Lời giải sai: Phương trình đường trò n
2
22
:C x y b a
hay
222
y b a x
22
1
22
2
y b a x C
y b a x C
(
xa
).
http://megabook.vn/