logo
Upload
Nâng cấp VIP
Trang chủ » Luận Văn - Báo Cáo » Báo cáo - Thuyết trình
48 trang
184 lượt xem
1
0

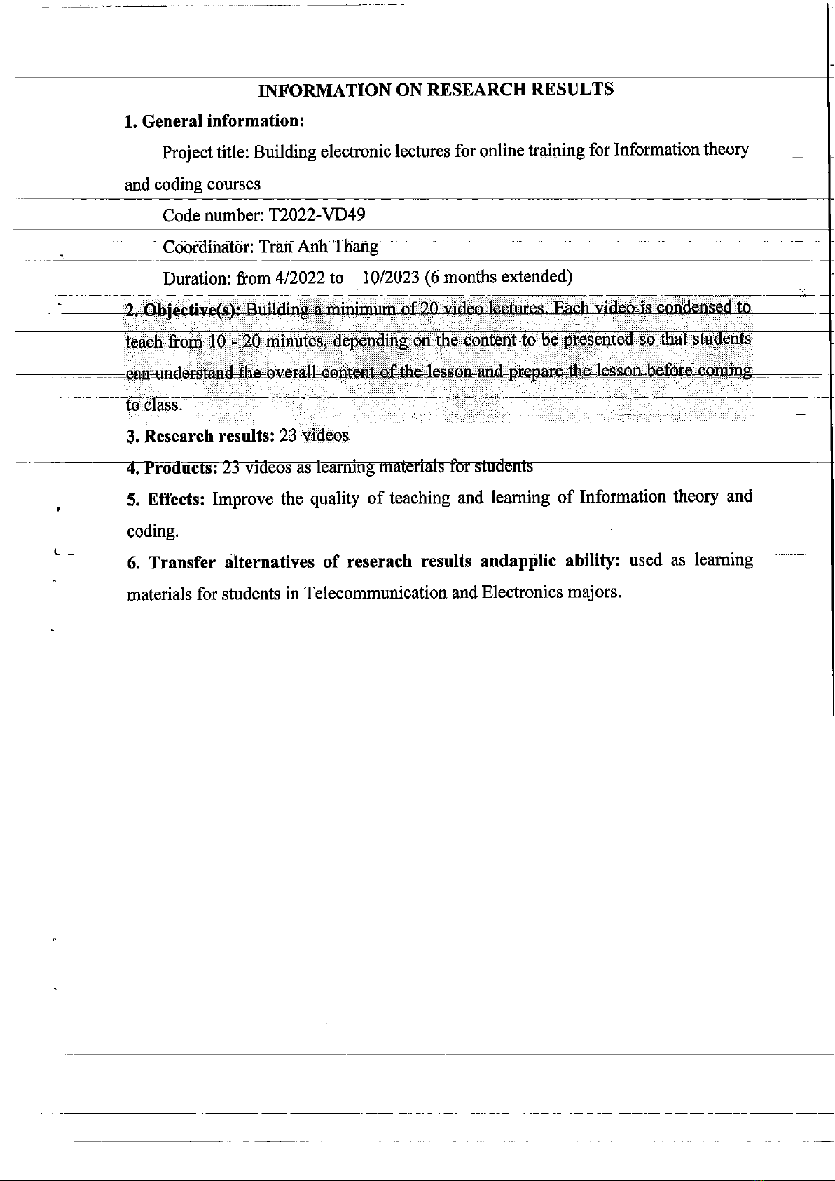
Báo cáo tổng kết đề tài khoa học và công nghệ cấp trường: Xây dựng bài giảng điện tử phục vụ đào tạo trực tuyến cho học phần lý thuyết thông tin và mã hóa

Mục tiêu của đề tài "Xây dựng bài giảng điện tử phục vụ đào tạo trực tuyến cho học phần lý thuyết thông tin và mã hóa" là xây dựng tối thiểu 20 video bài giảng. Mỗi video được cô đọng giảng dạy từ 10 - 20 phút, tùy nội dung cần trình bày để sinh viên có thể nắm được tổng thể nội dung của bài học và chuẩn bị bài trước khi đến lớp.

Chủ đề:

myhouse06

Thuyết trình đề tài

Thuyết trình hội thảo khoa học

Share
/
48

Tài liệu liên quan

Báo cáo tổng kết: Xây dựng video bài giảng môn Lập trình hướng đối tượng cấp trường

Báo cáo tổng kết đề tài khoa học và công nghệ cấp trường: Xây dựng video bài giảng môn Lập trình hướng đối tượng

60 trang
Báo cáo tổng kết: Khó khăn nghe hiểu tiếng Anh Mỹ của sinh viên Ngôn ngữ Anh Đại học Kỹ thuật Công nghiệp

Báo cáo tổng kết đề tài khoa học và công nghệ cấp trường: Khó khăn trong việc nghe hiểu tiếng Anh Mỹ đối với Sinh viên Ngôn ngữ Anh tại trường Đại học Kỹ thuật Công nghiệp

26 trang
Báo cáo tổng kết: Xây dựng video bài giảng Vật lý 1 cấp trường

Báo cáo tổng kết đề tài khoa học và công nghệ cấp trường: Xây dựng video bài giảng học phần Vật lý 1

61 trang
Báo cáo tổng kết: Thiết kế bài giảng STEM gắn liền mô hình thực hành (Cấp trường)

Báo cáo tổng kết đề tài khoa học và công nghệ cấp trường: Thiết kế bài giảng gắn liền mô hình thực hành STEM

28 trang
Báo cáo tổng kết đề tài: Xây dựng bài giảng Giải tích 1 cho sinh viên Đại học ngành kỹ thuật

Báo cáo tổng kết đề tài khoa học và công nghệ cấp trường: Xây dựng bài giảng cho học phần Giải tích 1 phục vụ cho sinh viên Đại học ngành kỹ thuật

48 trang
Báo cáo tổng kết: Xây dựng video bài giảng học phần Vật lý 2 cấp trường

Báo cáo tổng kết đề tài khoa học và công nghệ cấp trường: Xây dựng video bài giảng học phần Vật lý 2

49 trang
Xây dựng video bài giảng Phương pháp tính: Báo cáo tổng kết đề tài khoa học và công nghệ cấp trường

Báo cáo tổng kết đề tài khoa học và công nghệ cấp trường: Xây dựng video bài giảng cho học phần Phương pháp tính

74 trang
Báo cáo tổng kết đề tài: Xây dựng video bài giảng Đại số tuyến tính - ThS. Phạm Thị Thu

Báo cáo tổng kết đề tài khoa học và công nghệ cấp trường: Xây dựng video bài giảng học phần Đại số tuyến tính - ThS. Phạm Thị Thu

59 trang
Video bài giảng Đại số tuyến tính: Báo cáo tổng kết đề tài khoa học và công nghệ cấp trường

Báo cáo tổng kết đề tài khoa học và công nghệ cấp trường: Xây dựng video bài giảng học phần Đại số tuyến tính

50 trang
Video bài giảng Vật lý đại cương: Báo cáo tổng kết đề tài khoa học và công nghệ cấp trường về xây dựng

Báo cáo tổng kết đề tài khoa học và công nghệ cấp trường: Xây dựng video bài giảng học phần Vật lý đại cương

55 trang

Tài liêu mới

Vai trò tiếng Hàn trong phát triển thị trường khách hàng Hàn Quốc tại c: Báo cáo thực tập

Báo cáo thực tập: Vai trò của tiếng Hàn trong phát triển thị trường khách hàng Hàn Quốc tại c

35 trang
Triển khai giải thuật K-NN: Báo cáo môn học và áp dụng phân lớp tập dữ liệu hoa Iris

Báo cáo môn học: Triển khai giải thuật K-NN và áp dụng vào phân lớp tập dữ liệu hoa Iris

34 trang
Hệ thống điểm danh sinh viên bằng nhận diện khuôn mặt: Báo cáo nghiên cứu khoa học

Báo cáo nghiên cứu khoa học: Xây dựng hệ thống điểm danh sinh viên dựa trên nhận diện khuôn mặt

89 trang
Báo cáo Seminar Chuyên Ngành: Công nghệ lên men trong sản xuất rượu, bia và nước trái cây

Báo cáo seminar chuyên ngành: Công nghệ lên men trong sản xuất rượu, bia và nước trái cây

60 trang
Báo cáo seminar chuyên ngành Công nghệ hóa học và thực phẩm [Mới nhất]

Báo cáo seminar chuyên ngành Công nghệ hóa học và thực phẩm

28 trang
Phân tích nhân tố tác động đến quyết định áp dụng phương pháp kế toán chi phí dòng nguyên vật liệu trong doanh nghiệp sản xuất thép tại Khu công nghiệp Gang Thép Thái Nguyên: Báo cáo tổng kết đề tài khoa học và công nghệ cấp trường

Báo cáo tổng kết đề tài khoa học và công nghệ cấp trường: Phân tích các nhân tố tác động đến quyết định áp dụng phương pháp kế toán chi phí dòng nguyên vật liệu trong các doanh nghiệp sản xuất thép thuộc Khu công nghiệp Gang Thép Thái Nguyên

139 trang
Báo cáo tổng kết: Quan hệ giữa thông số thiết kế và giá thành hệ dẫn động cơ khí dùng hộp giảm tốc trục vít

Báo cáo tổng kết đề tài khoa học và công nghệ cấp trường: Quan hệ giữa các thông số thiết kế với giá thành hệ dẫn động cơ khí dùng hộp giảm tốc trục vít

91 trang
Tính toán, mô phỏng số tấm composite lõi tổ ong bằng phương pháp đồng nhất hóa: Báo cáo tổng kết đề tài khoa học và công nghệ cấp trường

Báo cáo tổng kết đề tài khoa học và công nghệ cấp trường: Tính toán và mô phỏng số tấm composite lõi tổ ong bằng phương pháp đồng nhất hóa

75 trang
Báo cáo tổng kết: Nghiên cứu ảnh hưởng thông số công nghệ tới mòn dụng cụ, nhám bề mặt khi tiện cứng bề mặt gián đoạn - Đề tài khoa học công nghệ cấp trường

Báo cáo tổng kết đề tài khoa học và công nghệ cấp trường: Nghiên cứu ảnh hưởng của các thông số công nghệ tới mòn dụng cụ và nhám bề mặt khi tiện cứng các bề mặt gián đoạn

95 trang
Báo cáo tổng kết: Nghiên cứu thiết kế điều khiển hệ thống lắp ráp bút bi tự động cấp trường

Báo cáo tổng kết đề tài khoa học và công nghệ cấp trường: Nghiên cứu thiết kế điều khiển hệ thống lắp ráp bút bi tự động

69 trang
Tối ưu hóa đa mục tiêu mài phẳng thép HARDOX 500: Báo cáo tổng kết đề tài khoa học và công nghệ cấp trường

Báo cáo tổng kết đề tài khoa học và công nghệ cấp trường: Tối ưu hóa đa mục tiêu khi mài phẳng thép HARDOX 500

66 trang
Phân phối tỉ số truyền tối ưu cho hệ dẫn động cơ khí: Báo cáo tổng kết đề tài khoa học và công nghệ cấp trường dùng hộp giảm tốc bánh răng côn trụ nhiều cấp theo hàm mục tiêu giá thành

Báo cáo tổng kết đề tài khoa học và công nghệ cấp trường: Phân phối tỉ số truyền tối ưu cho hệ dẫn động cơ khí dùng hộp giảm tốc bánh răng côn trụ nhiều cấp theo hàm mục tiêu giá thành

100 trang
Nghiên cứu biện pháp tăng năng suất, giảm chi phí mài phẳng thép SKD11 qua tôi: Báo cáo tổng kết đề tài khoa học và công nghệ cấp trường

Báo cáo tổng kết đề tài khoa học và công nghệ cấp trường: Nghiên cứu các biện pháp tăng năng suất và giảm chi phí quá trình mài phẳng thép SKD11 qua tôi

127 trang
Video bài giảng Cơ học Vật liệu: Báo cáo tổng kết đề tài khoa học và công nghệ cấp trường

Báo cáo tổng kết đề tài khoa học và công nghệ cấp trường: Xây dựng Video bài giảng cho môn học Cơ học Vật liệu

19 trang
Ảnh hưởng của mạ Nano Composite Nikel: Báo cáo tổng kết đề tài khoa học và công nghệ cấp trường về chất lượng gia công và tuổi bền của dụng cụ cắt

Báo cáo tổng kết đề tài khoa học và công nghệ cấp trường: Ảnh hưởng của mạ Nano Composite Nikel đến chất lượng gia công và tuổi bền của dụng cụ cắt

36 trang

AI tóm tắt

- Giúp bạn nắm bắt nội dung tài liệu nhanh chóng!

Giới thiệu tài liệu

Tài liệu học thuật này tập trung vào sự ảnh hưởng của công nghệ thông tin đối với phát triển kinh tế. Tác giả đã khám phá cách mà công nghệ có thể thúc đẩy tăng trưởng, nâng cao hiệu quả sản xuất và cải thiện chất lượng cuộc sống. Bên cạnh đó, văn bản cũng thảo luận về những thách thức mà các nước đang phát triển phải vượt qua khi áp dụng công nghệ thông tin, đồng thời cung cấp những giải pháp tiềm năng để giải quyết vấn đề này. Nội dung của tài liệu mang lại một cái nhìn toàn diện về mối quan hệ giữa công nghệ và kinh tế, có thể được tham khảo cho mục đích nghiên cứu hoặc giảng dạy.

Đối tượng sử dụng

Tài liệu này được hướng đến đối tượng sinh viên ngành kinh tế, các nhà nghiên cứu về phát triển kinh tế cũng như những ai quan tâm đến mối liên hệ giữa ứng dụng công nghệ và tăng trưởng kinh tế. Đây là một tài liệu tham khảo hữu ích cho mục đích giảng dạy hoặc nghiên cứu.

Từ khoá chính

Công nghệ thông tinPhát triển kinh tếHiệu quả sản xuấtThách thức của nước đang phát triển

Nội dung tóm tắt

Tài liệu này tập trung vào sự tác động to lớn của công nghệ thông tin đối với tiến trình phát triển kinh tế. Tác giả đã luận giải cách mà công nghệ có thể thúc đẩy tăng trưởng, nâng cao hiệu quả sản xuất và cải thiện chất lượng cuộc sống. Hơn nữa, văn bản cũng chỉ ra những trở ngại mà các quốc gia đang phát triển phải vượt qua khi áp dụng công nghệ thông tin, đồng thời đưa ra các biện pháp chiến lược để đối phó với những thách thức này. Mục đích của nghiên cứu là mang lại một cái nhìn tổng quan về mối liên hệ giữa công nghệ và kinh tế, giúp đọc giả hiểu rõ hơn về vai trò và tầm ảnh hưởng của công nghệ thông tin trong tiến trình phát triển của quốc gia.

Giới thiệu

Về chúng tôi

Việc làm

Quảng cáo

Liên hệ

Chính sách

Thoả thuận sử dụng

Chính sách bảo mật

Chính sách hoàn tiền

DMCA

Hỗ trợ

Hướng dẫn sử dụng

Đăng ký tài khoản VIP

Zalo/Tel:

093 303 0098

Email:

support@tailieu.vn

Phương thức thanh toán

Theo dõi chúng tôi

Facebook

Youtube

TikTok

chứng nhận
Chịu trách nhiệm nội dung: Nguyễn Công Hà. ©2025 Công ty TNHH Tài Liệu trực tuyến Vi Na.
Địa chỉ: 54A Nơ Trang Long, P. Bình Thạnh, TP.HCM - Điện thoại: 0283 5102 888 - Email: info@tailieu.vn
Giấy phép Mạng Xã Hội số: 670/GP-BTTTT cấp ngày 30/11/2015