
BỘ 8 ĐỀ THI HỌC SINH
GIỎI MÔN TOÁN LỚP 12
CẤP THÀNH PHỐ

MỤC LỤC
1. Đề thi học sinh giỏi môn Toán lớp 12 cấp Thành phố năm 2020-2021 - Sở GD&ĐT Cần
Thơ
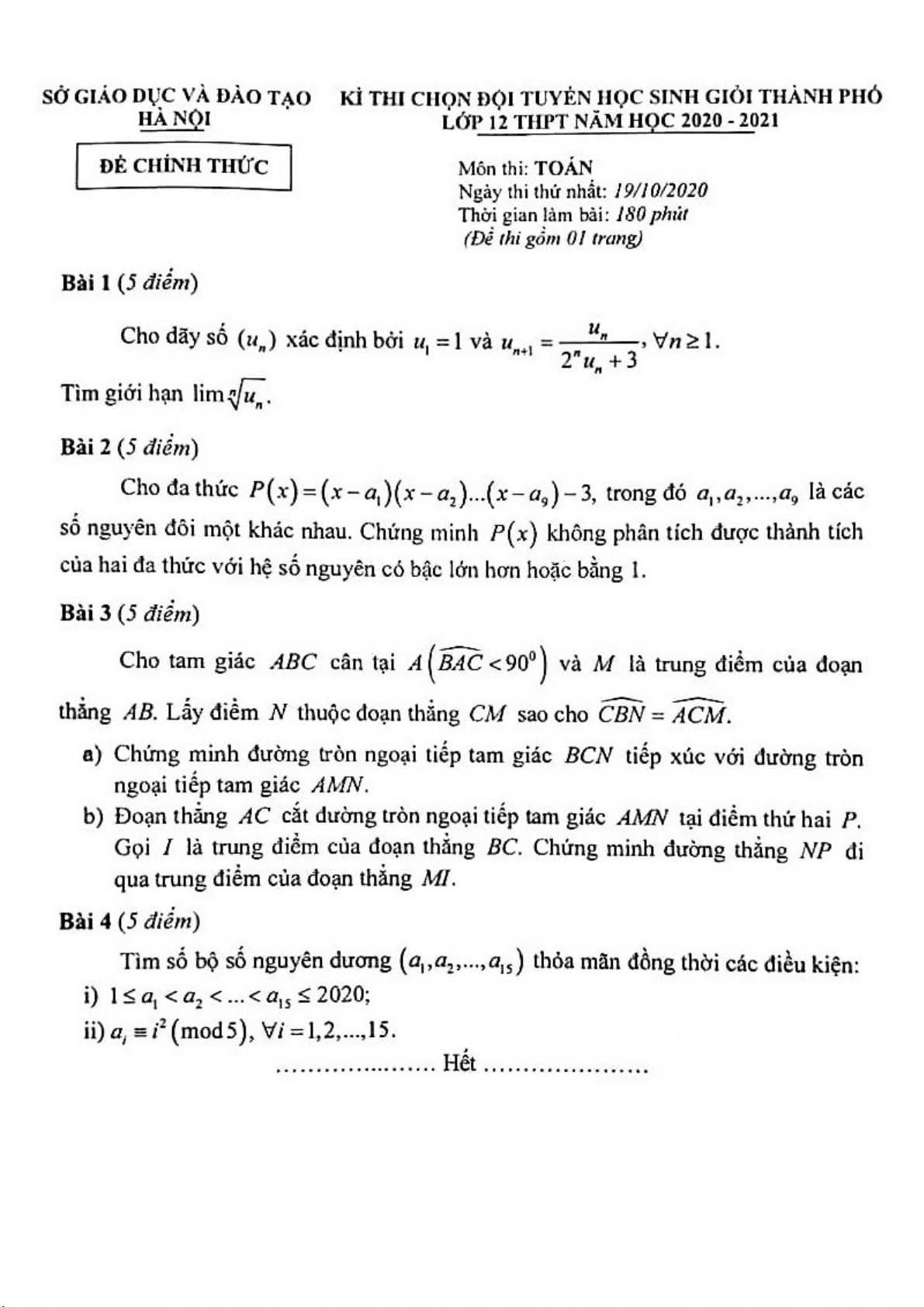
2. Đề thi học sinh giỏi môn Toán lớp 12 cấp Thành phố năm 2020-2021 - Sở GD&ĐT Hà
Nội
3. Đề thi học sinh giỏi môn Toán lớp 12 cấp Thành phố năm 2020-2021 - Trường THPT
Chu Văn An, Hà Nội
4. Đề thi học sinh giỏi môn Toán lớp 12 cấp Thành phố năm 2019-2020 - Sở GD&ĐT Cần
Thơ
5. Đề thi học sinh giỏi môn Toán lớp 12 cấp Thành phố năm 2019-2020 - Sở GD&ĐT Đà
Nẵng
6. Đề thi học sinh giỏi môn Toán lớp 12 cấp Thành phố năm 2019-2020 - Sở GD&ĐT Hà
Nội
7. Đề thi học sinh giỏi môn Toán lớp 12 cấp Thành phố năm 2019-2020 - Sở GD&ĐT Hải
Phòng
8. Đề thi học sinh giỏi môn Toán lớp 12 cấp Thành phố năm 2019-2020 - Sở GD&ĐT Hồ
Chí Minh


