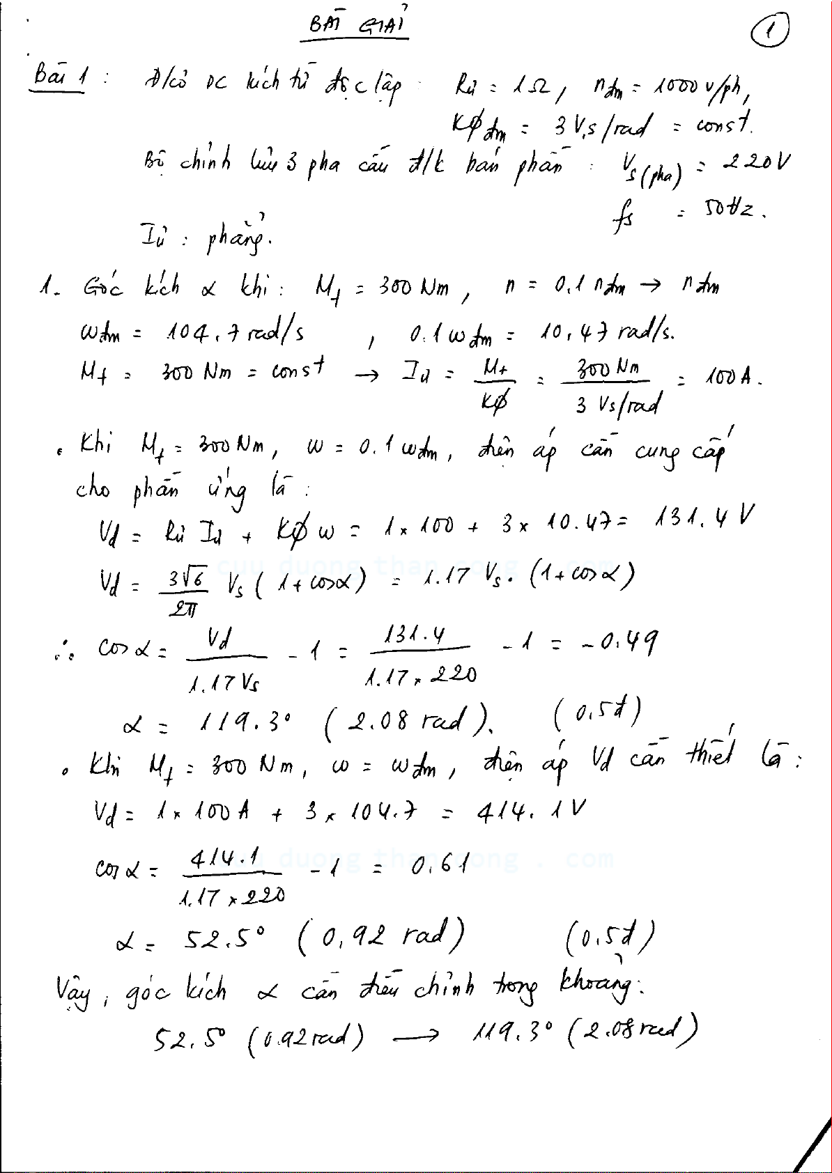
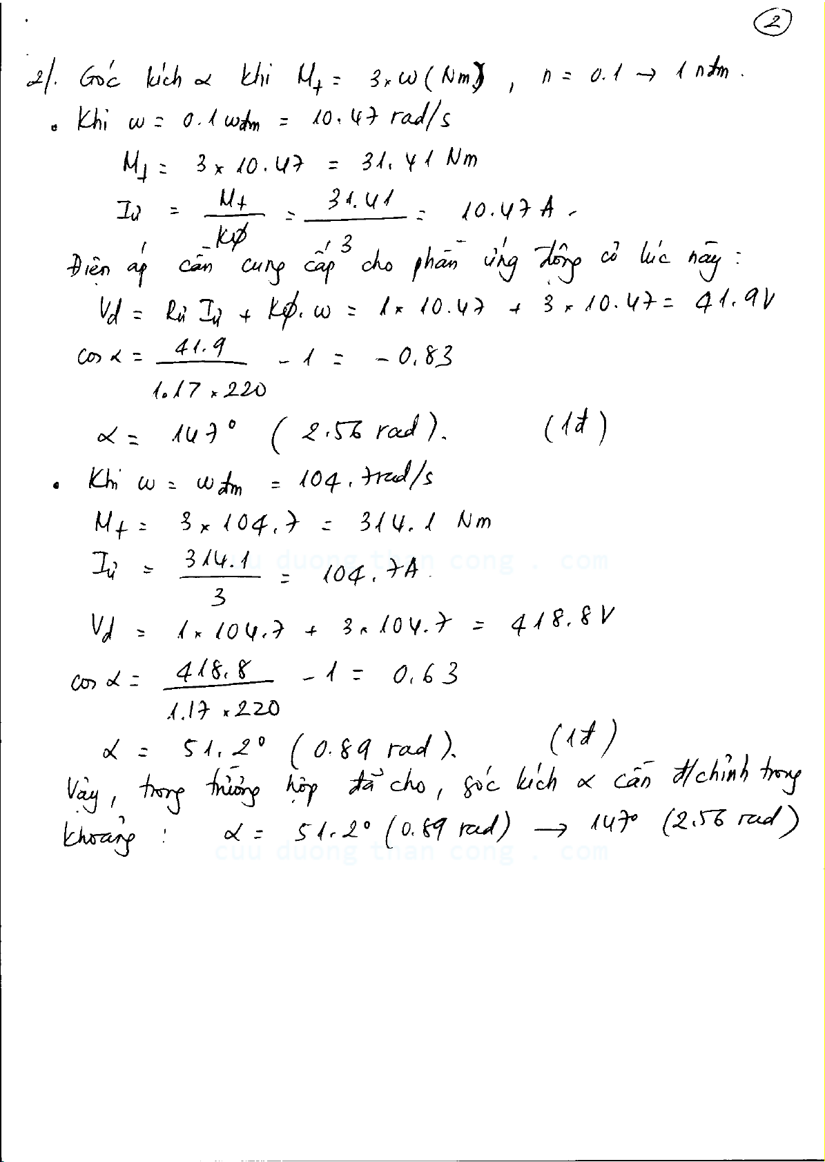
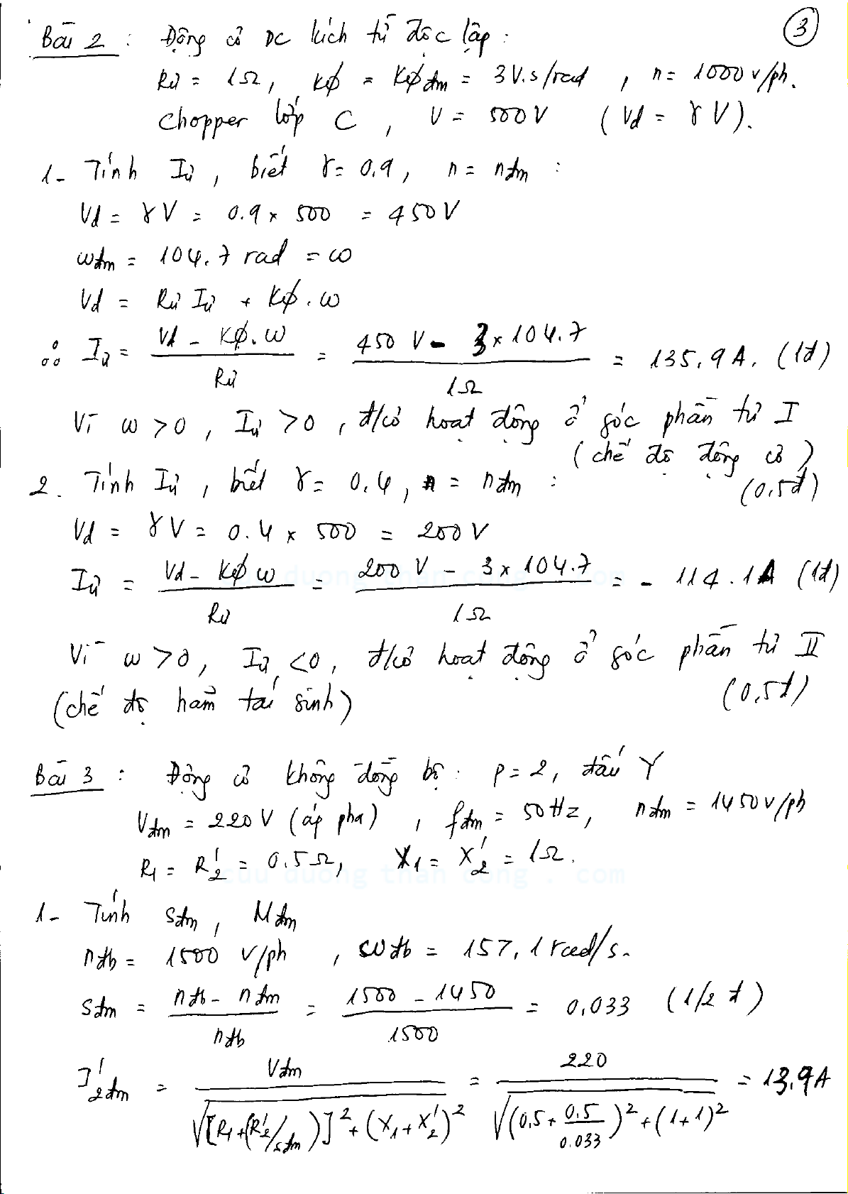
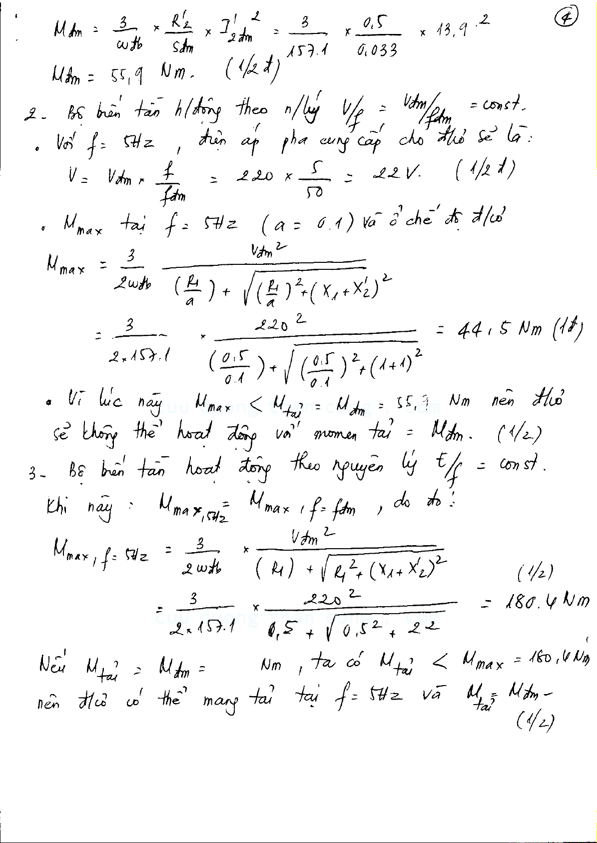
Đề thi môn Truyền động điện - Lớp N10HT1
Mời các bạn cùng tìm hiểu và tham khảo "Đề thi cuối kỳ môn Truyền động điện" của Trường Đại học Bách Khoa Tp.HCM. Đề thi gồm có 2 bài tập có kèm hướng dẫn giải. Cùng tìm hiểu và tham khảo nội dung thông tin tài liệu.

CuuDuongThanCong.com

CuuDuongThanCong.com

CuuDuongThanCong.com

CuuDuongThanCong.com

CuuDuongThanCong.com