
Trường Đại học Khoa học Tự nhiên
Khoa Hóa – Bộ môn Hóa Học Hữu cơ
HA HU CƠ 1
1

2
Chương 7: Alkene – Cấu trúc và hoạt tính
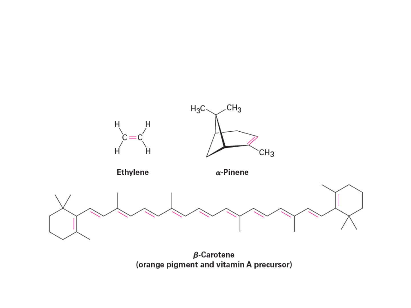
•Alkene (Olefin): là hydrocarbon có chứa nhóm định chức C=C.
•Alkene hiện diện nhiều trong tự nhiên và nhiều hợp chất alkene có
những vai trò sinh học quan trọng.

Ethylene và propylene là 2 alkene có cấu trúc đơn giản nhất nhưng rất quan
trọng trong kỹ nghệ, là nguyên liệu đầu để tổng hợp nhiều hợp chất hữu cơ.
3
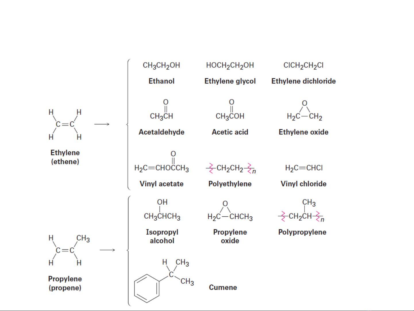
1. Sản xuất trong kỹ nghệ và ứng dụng của alkene

Trong kỹ nghệ, ethylene và propylene được tổng hợp bằng phương pháp
cracking các alkane dây ngắn (C2 – C8). Quá trình cracking ko cần xúc tác nhưng
ở nhiệt độ 900 oC là điều kiện để làm đứt các nối C-C và C-H. Quá trình xảy ra
phức tạp, liên quan đến phản ứng gốc tự do.
4
1. Sản xuất trong kỹ nghệ và ứng dụng của alkene

5
Danh pháp cis – trans
cis: hai phối tử giống nhau cùng nằm một bên mặt phẳng tham chiếu.
trans: hai phối tử giống nhau nằm ở hai bên mặt phẳng tham chiếu.
Danh pháp E - Z
[1]
[1] [1]
[1]
[2]
[2]
[2]
[2]
(Z)-1-bromo-1-chloro
-2-fluoroethene
(E)-1-bromo-1-chloro
-2-fluoroethene
2. Hiện tượng đồng phân trong alkene

