
Trường Đại học Khoa học Tự nhiên
Khoa Hóa – Bộ môn Hóa Học Hữu cơ
HA HU CƠ 1
1

Alkyl halide: RX (X: F, Cl, Br, I)
Chương 11: Phản ứng của alkyl halide: thế thân hạch và tách
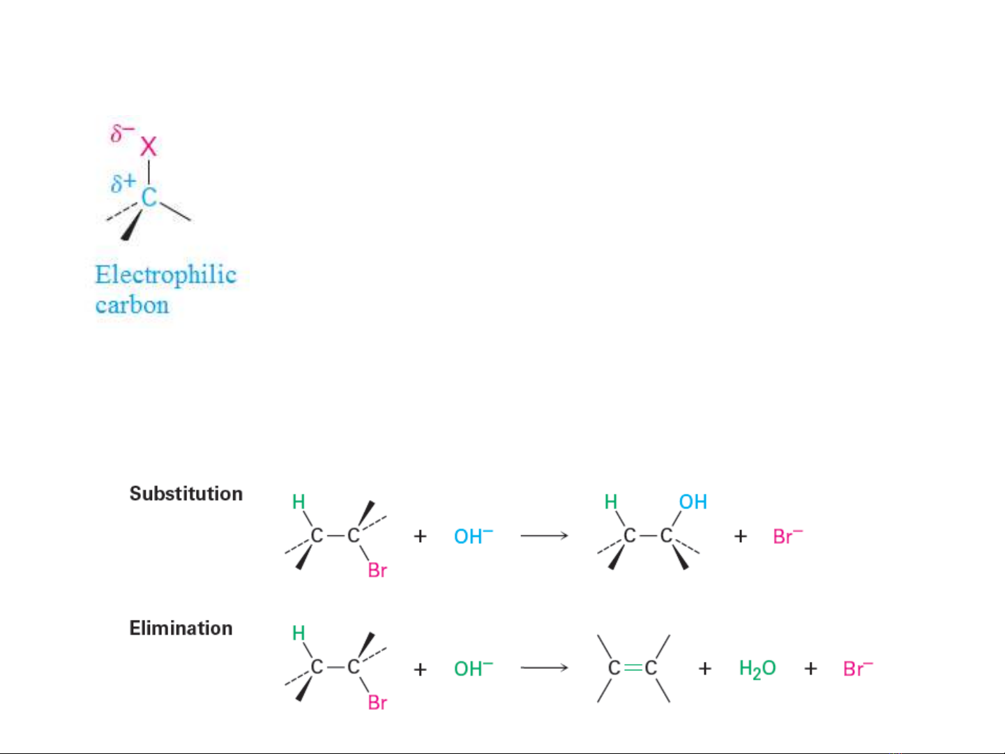
Nối C-X có tính phân cực, C mang một phần điện
tích dương và X mang một phần điện tích âm. Vì vậy
RX được gọi là chất thân điện tử (electrophile).
Phần lớn các phản ứng của RX đều liên quan đến những chất thân hạch và
những base giàu điện tử.
2

1. Phản ứng thế thân hạch
Phản ứng thế (substitution) là một tiến trình trong đó một nguyên tử hay một
nhóm được thay thế bằng một nguyên tử hay một nhóm khác.
Trong phản ứng thế thân hạch (nucleophilic substitution): tác chất thân hạch
cung cấp đôi điện tử cho chất nền tạo thành một nối cộng hóa trị, còn nhóm xuất ra
đi mang theo đôi điện tử của nối bị cắt đứt.
Tác chất thân hạch Chất nền Sản phẩm Nhóm xuất
Các phản ứng thế thân hạch tại C bão hòa có thể xảy ra theo cơ chế SN1, SN2.

4
1. Phản ứng thế thân hạch
Tác chất thân hạch: tác kích vào tâm thiếu điện tử của chất nền.
Chất thân hạch có thể là anion: HO-, RO-, ArO-, HS-, RS-, RCOO-, NC-,HCC-,
Cl-, Br-, I- …, trong trường hợp này sản phẩm là phân tử trung hòa.
Chất thân hạch có thể là phân tử trung hòa có nguyên tử mang đôi điện tử tự
do: R3N:, R3P:, R2S … hoặc chất thân hạch là phân tử trung hòa dạng HNu: H2O,
ROH, NH3, RNH2, R2NH …, trong trường hợp này sản phẩm ban đầu là cation.


