
mquanik@yahoo.com
Minh Quân_06D5 BKDN -1-
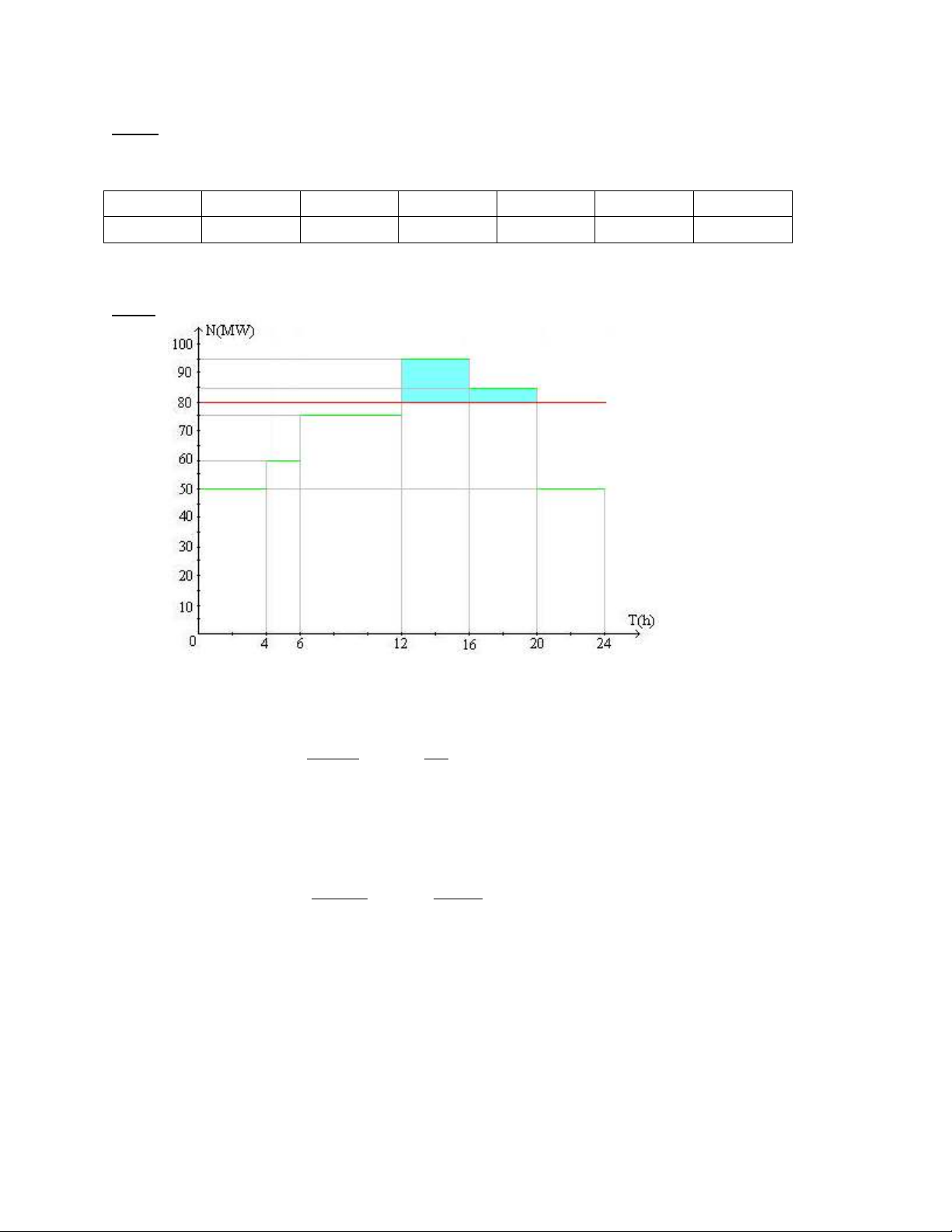
Bài 1: Cho tổ tua bin ngưng hơi K-120-35 có đặc tính:
Q 10 1,12N 0,36(N 80)
Làm việc theo đồ thị phụ tải:
T(h)
0÷4
4÷6
6÷12
12÷16
16÷20
20÷24
N(MW)
50
60
75
95
85
50
a. Tính hiệu suất tức thời lúc 7h và 13h
b. Tính hiệu suất trung bình trong 24h làm việc
Giải:
a/ Lúc 7h:
(t 7) tk
N 7 (MW) < N 80 (MW)
5
Nên
(t 7) 94
Q 10 1,12.75 Gcal/h
(t 7)
(t 7)
(t 7)
N75
0,86 0,86 68, 62%
Q 94
Lúc 13h:
(t 13) tk
>
N 95 (MW) N 80 (MW)
Nên
(t 13) 95 0,36.15 121.8
Q 10 1,12. Gcal/h
(t 13)
(t 13)
(t 13)
N95
0,86 0,86 67.07%
Q 121,8
b/
Ta có:

mquanik@yahoo.com
Minh Quân_06D5 BKDN -2-
n(24h)
kt(24h)
(24h)
n(24h)
(24h)
W 4.50 2.60 6.75 4.95 4.85 50.4 1690 MWh
W 4.15 4.5 80 MWh
Q 10.24 1,12.1690 0,36.80 2161,6 Gcal
W
0.86 Q
(24h)
1690
0.86 67,24%
2161,6

mquanik@yahoo.com
Minh Quân_06D5 BKDN -3-
Bài 2: Cho tổ tua bin ngưng hơi K-120-35 có đặc tính:
Q 11 1,2N 0,26(N 90) [Gcal/h]
Làm việc theo đồ thị phụ tải:
T(h)
0÷4
4÷6
6÷12
12÷16
16÷20
20÷24
N(MW)
45
75
100
110
100
45
a. Tính hiệu suất tức thời lúc 5h và 13h
b. Tính hiệu suất trung bình trong 24h làm việc
Giải:
a/ Lúc 5h:
(t 5) tk
N 75 (MW) < N 90 (MW)
Nên
(t 5)
Q 11 1,2.75 101 [Gcal/h]
(t 5)
(t 5)
(t 5)
N75
0,86 0,86 63,86%
Q 101
Lúc 17h:
(t 17) tk
N 100 (MW) > N 90 (MW)
Nên
(t 17)
Q 11 1, 2.100 0,26.10 133,6 [Gcal/h]
(t 17)
(t 17)
(t 17)
N100
0,86 0,86 64,37%
Q 133,6
b/Ta có:

mquanik@yahoo.com
Minh Quân_06D5 BKDN -4-
n(24h)
kt(24h)
(24h)
(24h)
W 4.45 2.75 6.100 4.110 4.100 4.45 1950 MWh
W 6.10 4.20 4.10 180 MWh
Q 11.24 1, 2.1950 0,26.180 2396,04 Gcal
0.
n(24h)
(24h)
W1950
86 0.86 69,93%
Q 2396,04

mquanik@yahoo.com
Minh Quân_06D5 BKDN -5-
Bài 3: Cho tổ tua bin ngưng hơi K-120-35 có đặc tính:
Q 15 2,22N 0,36(N 80) [Gcal/h]
Làm việc theo đồ thị phụ tải:
T(h)
0÷4
4÷6
6÷12
12÷16
16÷20
20÷24
N(MW)
35
50
75
95
85
35
a. Tính hiệu suất tức thời lúc 7h và 15h
b. Tính hiệu suất trung bình trong 20h đầu làm việc
Giải:
a/ Lúc 7h:
(t 7) tk
N 75 (MW) < N 80 (MW)
Nên
(t 7)
Q 15 2,22.75 181,5 [Gcal/h]
(t 7)
(t 7)
(t 7)
N75
0,86 0,86 35,53%
Q 181,5
Lúc 15h:
(t 15) tk
N 95 (MW) > N 80 (MW)
Nên
(t 15)
Q 15 2,22.95 0,36.15 231,3 [ Gcal/h]
(t 15)
(t 15)
(t 15)
N95
0,86 0,86 35,32%
Q 231,5
b/Ta có:

