
BÖÔÙU SOÏ HAÀU: LAÂM SAØNG VAØ ÑIEÀU TRÒ
Nguyeãn Quoác Ñieàn*,Hoà Vaên Trung*, Phaïm Löông Giang*, Cung Thò Tuyeát Anh*
TOÙM TAÉT
Beänh Vieän Ung Böôùu Thaønh Phoá Hoà Chí Minh ñaõ ñieàu trò cho 35 beänh nhaân böôùu soï haàu trong thôøi
gian töø 01/01/1998 ñeán 31/12/2002. Taát caû caùc beänh nhaân ñeàu ñaõ ñöôïc moå khoâng troïn böôùu taïi caùc beänh
vieän khaùc, sau ñoù ñöôïc chuyeån ñeán BVUB TPHCM ñeå xaï trò. Nghieân cöùu goàm 20 beänh nhaân nam vaø 15
beänh nhaân nöõ, vôùi tuoåi trung bình laø 16, nhoû nhaát laø 3 tuoåi vaø lôùn nhaát laø 41 tuoåi vaø 65,7% beänh nhaân
döôùi 20 tuoåi. 97% beänh nhaân coù trieäu chöùng nhöùc ñaàu, 77% coù noân oùi. 83% beänh nhaân coù môø maét, 86% coù
yeáu lieät chi vaø 43% coù trieäu chöùng roái loaïn thaàn kinh cao caáp. 80% beänh nhaân coù noát voâi hoùa vuøng treân
yeân thaáy treân X quang soï. Kích thöôùc böôùu treân CT trung bình laø 5,7 cm (nhoû nhaát 3,5cm, lôùn nhaát
10cm). Treân ñaïi theå, 22,86% laø böôùu ñaëc, 34,28% laø nang ñôn thuaàn vaø 42,86% laø böôùu daïng hoãn hôïp
vöøa ñaëc vöøa nang. 28 beänh nhaân ñöôïc xaï trò ngoaøi sau phaãu thuaät, lieàu xaï trò vaøo vuøng böôùu thay ñoåi töø
54Gy ñeán 60Gy phaân lieàu 2Gy, 5 laàn/tuaàn. 50% beänh nhaân coù caûi thieän caùc trieäu chöùng thaàn kinh ngay
sau khi xaï trò, trong khi 21% beänh nhaân xuaát hieän theâm caùc roái loaïn noäi tieát. Thôøi gian theo doõi trung bình
trong nghieân cöùu naøy laø 40 thaùng (thaáp nhaát laø 18 thaùng, cao nhaát laø 61 thaùng). Soáng coøn 5 naêm laø
84,59%. Trong caùc yeáu toá ñöôïc xeùt ñeán nhö daïng ñaïi theå cuûa böôùu, möùc ñoä phaãu thuaät, tuoåi, kích thöôùc
böôùu, hieän dieän cuûa ñoám voâi hoùa thì daïng ñaïi theå cuûa böôùu vaø möùc ñoä phaãu thuaät laø hai yeáu toá tieân löôïng
ñoäc laäp aûnh höôûng ñeán thôøi gian soáng coøn cuûa beänh nhaân (p=0,05 vaø p=0,03).
SUMMARY
THE CRANIOPHARYNGIOMA: CLINICAL ASPECT AND TREATMENT
Nguyen Quoc Dien, Ho Van Trung, Pham Luong Giang, Cung Thi Tuyet Anh
* Y Hoc TP. Ho Chi Minh * Vol. 9 * Supplement of No 1 * 2005: 172 – 178
From January 1998 to December 2002, 35 patients were admitted into the Radiation Therapy
Department of Ho Chi Minh City Cancer Hospital for a craniopharyngioma not totally removed. Our series
consisted of 15 males and 20 females. The mean age was 16 (range from 3 to 41) with 65,7% under the
age of 20. Ninety-seven percent of cases presented with headache, 77% with vomiting. Eighty-three
percent of cases complained of failing vision, 86% had limb disability and 43% had neurological
disturbance such as decline in orientation, memory or consciousness. Suprasellar space calcification on
skull X-ray was seen in 80% of cases. The average tumor size determined by CT scan was 5.7cm (range
from 3.5 to 10cm). The tumor was solid in 22.8% of cases, cystic in 34.3% and mixed in 42.9%. Twenty
eight patients received external radiation therapy with a tumor dose ranging from 54Gy to 60 Gy, 2Gy per
fractioïn, 5 days per week. Neurologic symptoms were controlled in 50% of the patients after radiation
while 21% of the cases developed endocrine complications (diabetes insipidus, growth disturbance, lack of
puberty). The mean follow-up was 40 months (range 18 – 61 months). The five-year survival rate was
84.59%. Among the factors such as tumor aspect (solid, mixed, cystic) and surgery extention (subtotal
resection, stereotactic biopsy), age, tumor size, calcification, only the tumor aspect and the surgery
extention were significant prognostic factors (p=0.05, p=0.03).
* Khoa Xaï 3, BV. Ung Böôùu TP. HCM
172

Nghieân cöùu Y hoïc Y Hoïc TP. Hoà Chí Minh * Taäp 9 * Phuï baûn cuûa Soá 1 * 2005
MÔÛ ÑAÀU
Böôùu soï haàu (craniopharyngioma) laø moät loaïi
böôùu noäi soï do söï taêng sinh teá baøo toàn dö cuûa tuùi
Rathke, naèm ôû choã tieáp giaùp giöõa cuoáng pheãu vaø
tuyeán yeân. Do vò trí cuûa böôùu naèm ôû gaàn caùc caáu truùc
nhö tuyeán yeân, giao thoa thò giaùc, naõo thaát III, neân
khi böôùu lôùn coù theå gaây cheøn eùp, daãn ñeán caùc tình
traïng taêng aùp löïc noäi soï, roái loaïn chöùc naêng cuûa tuyeán
yeân vaø vuøng haï ñoài, giaûm thò löïc vaø roái loaïn thò giaùc.
Ñaây laø moät loaïi böôùu ít gaëp, xuaát ñoä haøng naêm
treân theá giôùi laø 0,5–2/100.000 daân, chieám 2 - 4% caùc
böôùu noäi soï vaø chieám 13% böôùu vuøng treân yeân. ÔÛ treû
em böôùu soï haàu chieám 5 - 10% trong taát caû caùc loaïi
böôùu noäi soï vaø chieám 56% böôùu vuøng treân yeân(14,16,21).
Ñieàu trò chuû yeáu laø phaãu thuaät vaø xaï trò. Sau ñieàu trò,
ngoaøi nhöõng bieán chöùng lieân quan ñeán ñieàu trò, beänh
thöôøng taùi phaùt sau moät thôøi gian daøi oån ñònh(18,19,33).
Ñeà taøi naøy ñöôïc thöïc hieän nhaèm khaûo saùt tình hình
beänh lyù böôùu soï haàu ôû TP Hoà Chí Minh, töø ñoù ruùt ra
nhöõng kinh nghieäm veà phaùt hieän, chaån ñoaùn vaø ñieàu
trò caên beänh naøy.
ÑOÁI TÖÔÏNG VAØ PHÖÔNG PHAÙP NGHIEÂN
CÖÙU
Hoài cöùu hoà sô 35 beänh nhaân ñöôïc chaån ñoaùn giaûi
phaãu beänh laø böôùu soï haàu nhaäp vieän taïi beänh vieän
ung böôùu Thaønh Phoá Hoà Chí Minh trong thôøi gian töø
1/1/1998 ñeán 31/12/2002. Thôøi ñieåm toång keát ñeà taøi
vaøo 30/4/2004. Phaàn meàm tính toaùn SPSS 10.0 for
Window ñöôïc duøng ñeå thoáng keâ soá lieäu. Thôøi gian
soáng coøn toaøn boä ñöôïc tính töø ngaøy phaãu thuaät vaø coù
chaån ñoaùn xaùc ñònh ñeán ngaøy coù tin töùc cuoái cuøng cuûa
beänh nhaân hoaëc ngaøy beänh nhaân töû vong.
KEÁT QUAÛ
Nghieân cöùu goàm 35 beänh nhaân vôùi 15 nam
(42,86%) vaø 20 nöõ (57,14%), tuoåi töø 3 – 41 tuoåi, trung
bình 16 ± 1,9, 65,71% döôùi 20 tuoåi.
Thôøi gian khôûi beänh laâu nhaát 60 thaùng, ngaén
nhaát 1 thaùng, trung bình 9,5± 1,99 thaùng.
Trieäu chöùng nhöùc ñaàu laø thöôøng gaëp nhaát vôùi 34
beänh nhaân (97,14%), 27 beänh nhaân(77,14%) coù noân
oùi, 29 beänh nhaân (82,86%) bò môø maét, 30 beänh nhaân
(87,71 %) yeáu chi, roái loaïn thaàn kinh cao caáp ôû 15
beänh nhaân (42,86%). Coù 17/19 beänh nhaân >15 tuoåi
khoâng daäy thì. Taát caû caùc beänh nhaân ñeàu coù treân 2
trieäu chöùng luùc khôûi beänh.
Caùc beänh nhaân ñöôïc chuïp X Quang soï tröôùc moå,
28 tröôøng hôïp (80%) coù voâi hoùa vuøng treân yeân (4 coù
ñoám voâi hoùa ñôn thuaàn, 24 keát hôïp vôùi hoá yeân bò roäng
vaø baøo moøn), 7 beänh nhaân (20%) chæ coù ñôn thuaàn hoá
yeân bò roäng vaø baøo moøn. 83% beänh nhaân treân 20 tuoåi
vaø 78% beänh nhaân döôùi 20 tuoåi coù ñieåm voâi hoùa.
Khoâng coù moái töông quan giöõa tuoåi vaø söï hieän dieän
ñieåm voâi hoùa (p=0,720). Taát caû beänh nhaân ñeàu ñöôïc
CT naõo tröôùc phaãu thuaät, 12 beänh nhaân (34,29%)
ñöôïc MRI tröôùc phaãu thuaät.
15 beänh nhaân (42,86%) coù böôùu kích thöôùc 3,5 -5
cm, 20 beänh nhaân (55,56%) 5,1 - 10 cm.
Kích thöôùc böôùu trung bình 5,7 ± 0,31 cm.
32 beänh nhaânh ñöôïc moå taïi BV Chôï Raãy, 3 beänh
nhaân ñöôïc moå taïi BV ND 115. Khoâng coù beänh nhaân
naøo ñöôïc phaãu thuaät laáy troïn böôùu vì neáu böôùu ñöôïc
moå laáy troïn thì khoâng caàn thieát xaï trò boå tuùc. 32 beänh
nhaân (91,43%) ñöôïc phaãu thuaät laáy moät phaàn böôùu, 3
beänh nhaân ñöôïc sinh thieát böôùu baèng kim döôùi ñònh
vò toïa ñoä.
12 beänh nhaân (34,28%) coù böôùu laø nang thuaàn
nhaát ñöôïc nhaän xeùt khi phaãu thuaät. Daïng ñaëc vaø hoãn
hôïp vöøa ñaëc vöøa nang chieám 23 tröôøng hôïp (65,72%).
Daïng ñaëc gaëp ôû 8 tröôøng hôïp (22,86%).
Sau phaãu thuaät beänh nhaân ñöôïc chuyeån ñeán
beänh vieän Ung Böôùu ñeå xaï trò. Beänh nhaân ñeán vôùi caùc
trieäu chöùng nhö nhöùc ñaàu (21 tröôøng hôïp), oùi (14
tröôøng hôïp), giaûm thò löïc (27 tröôøng hôïp), trieäu
chöùng noäi tieát (17 tröôøng hôïp), yeáu chi (25 tröôøng
hôïp), roái loaïn thaàn kinh cao caáp (8 tröôøng hôïp).
28 beänh nhaân (80%) ñöôïc xaï trò. 7 tröôøng hôïp
khoâng xaï trò ñöôïc laø do beänh dieãn tieán naëng (6
beänh nhaân), vaø boû ñieàu trò (1 beänh nhaân). Lieàu xaï
trò thay ñoåi töø 54 Gy ñeán 60 Gy, bao truøm vuøng
böôùu. Phaân lieàu 2Gy/ngaøy, lieân tuïc 5 ngaøy trong
tuaàn. 3 beänh nhaân phaûi ngöøng xaï trò nöõa chöøng vì
beänh dieãn tieán naëng.
173

Chuùng toâi so saùnh tyû leä caùc trieäu chöùng tröôùc vaø
sau xaï trò, nhaän thaáy:
Baûng 1: Phaân boá trieäu chöùng thaàn kinh tröôùc vaø ngay
sau khi xaï trò
Laáy moät phaàn böôùu
Sinh thieát böôùu baèng kim
Trieäu chöùng Tröôùc xaï trò Theo doõi sau xaï trò
Nhöùc ñaàu 18 (64,29%) 8 (28,57%)
OÙi 12 (42,86%) 4 (11,42%)
Giaûm thò löïc 20 (57,24%) 16 (45,71%)
Yeáu chi 17 (48,57%) 11 (31,43%)
RLTKCC 6 (17,14%) 3 (8,57%)
Nhö vaäy, xaï trò laøm caûi thieän ñaùng keå caùc trieäu
chöùng thaàn kinh.
Baûng 2: So saùnh trieäu chöùng noäi tieát cuûa caùc beänh
nhaân tröôùc vaø sau khi xaï trò
Trieäu chöùng noäi tieát Tröôùc xaï trò Theo doõi sau xaï trò
Uoáng nhieàu>3 lít/ngaøy 4/28 (14,29%) 10/28 (35,71%)
Tieåu nhieàu>8 laàn ngaøy 4/28 (14,29%) 10/28 (35,71%)
Khoâng daäy thì 17/28 (60,71%) 17/28 (60,71%)
Trong thôøi gian theo doõi sau xaï trò, xuaát hieän
theâm trieäu chöùng tieåu nhieàu ôû 21,42% beänh nhaân.
Chuùng toâi khaûo saùt chieàu cao vaø caân naëng so vôùi
ngöôøi bình thöôøng ôû cuøng löùa tuoåi (döïa treân baûng ñoái
chieáu chieàu cao caân naëng theo tuoåi cuûa quaàn theå
tham khaûo naêm 1979)(8) cuûa 16 beänh nhaân (tuoåi töø 3-
20 tuoåi) trong soá 28 beänh nhaân ñöôïc xaï trò, vôùi thôøi
gian theo doõi trung bình laø 40 thaùng, keát quûa tröôùc xaï
trò coù 62,5% caùc tröôøng hôïp coù chieàu cao thaáp hôn
bình thöôøng, 37,5% tröôøng hôïp coù chieàu cao bình
thöôøng, 56,3% tröôøng hôïp nheï caân vaø 43,7% tröôøng
hôïp caân naëng bình thöôøng. Nhaän thaáy khoâng coù söï
thay ñoåi veà chieàu cao cuûa beänh nhaân sau xaï trò, 62,5%
caùc tröôøng hôïp coù chieàu cao thaáp tröôùc xaï vaãn khoâng
taêng chieàu cao sau xaï trò. Coù söï caûi thieän veà caân naëng
ôû beänh nhaân sau xaï trò, tröôùc xaï coù 56,3% tröôøng hôïp
nheï caân, sau xaï trò chæ coøn 25% tröôøng hôïp coøn nheï
caân vaø khoâng coù tröôøng hôïp naøo thöøa caân.
Chuùng toâi khaûo saùt thôøi gian soáng coøn toaøn boä
cuûa nhoùm beänh nhaân coù xaï trò (28 tröôøng hôïp)
Thôøi gian soáng coøn trung bình laø 59,29 thaùng (sai
soá chuaån: 3,96, khoaûng tin caäy 95% = 51,54-67,05).
Xaùc suaát soáng coøn 1 naêm laø 89,30%, sai soá chuaån =
0,0585. Xaùc suaát soáng coøn 2 naêm laø 89,30%, sai soá
chuaån = 0,0585. Xaùc suaát soáng coøn 3 - 5 naêm laø
84,59%, sai soá chuaån = 0,0718.
Bieåu ñoà 1: Thôøi gian soáng coøn toaøn boä cuûa nhoùm
beänh nhaân coù xaï trò
Chuùng toâi khaûo saùt moät soá yeáu toá aûnh höôûng ñeán
thôøi gian soáng coøn cuûa caùc beänh nhaân coù xaï trò
- Thôøi gian soáng coøn vaø möùc ñoä phaãu thuaät: sinh
thieát böôùu baèng kim so vôùi laáy moät phaàn böôùu
25 beänh nhaân ñöôïc laáy moät phaàn böôùu coù thôøi
gian soáng coøn trung bình laø 61,11thaùng (sai soá chuaån
=3,6), trong khi 3 tröôøng hôïp sinh thieát böôùu baèng
kim coù thôøi gian soáng coøn trung bình laø 15,54 thaùng
(sai soá chuaån =9,6, p = 0,03).
Bieåu ñoà 2: Thôøi gian soáng coøn theo möùc ñoä phaãu
thuaät
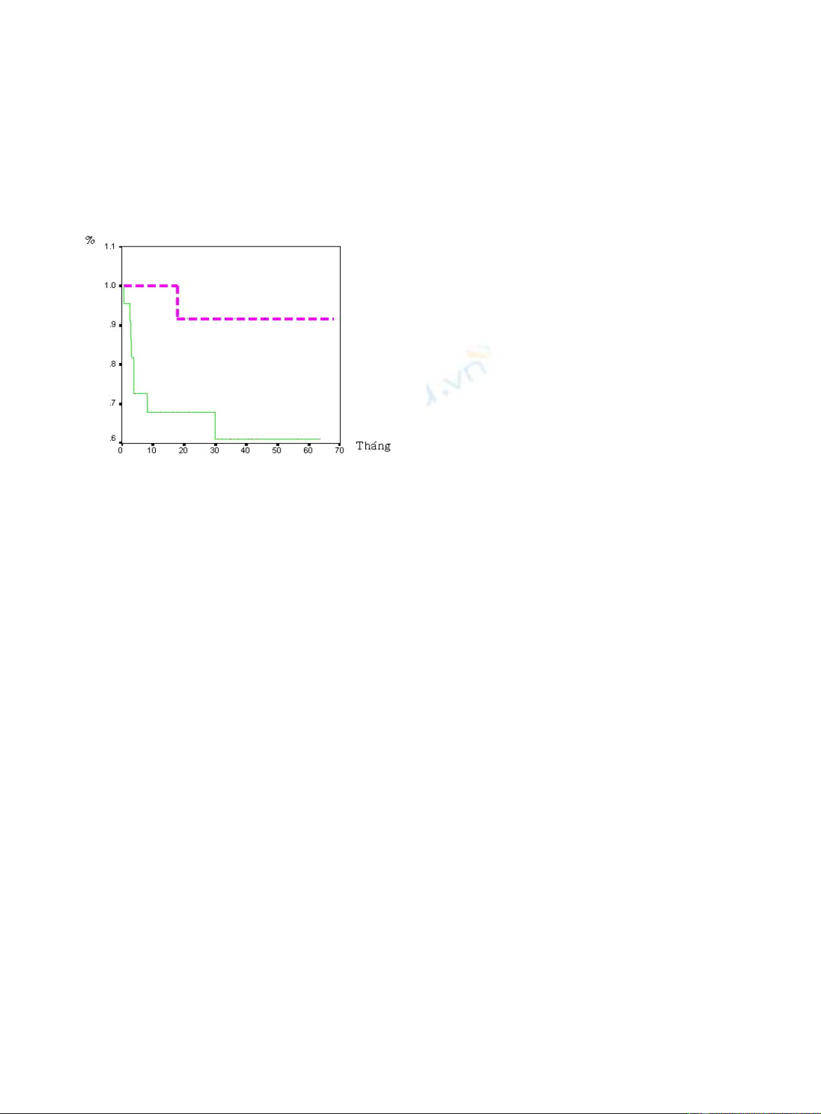
- Thôøi gian soáng coøn vaø daïng ñaïi theå cuûa böôùu
Chuùng toâi khaûo saùt thôøi gian soáng coøn cuûa nhoùm
beänh nhaân böôùu daïng nang vaø nhoùm beänh nhaân
174

Nghieân cöùu Y hoïc Y Hoïc TP. Hoà Chí Minh * Taäp 9 * Phuï baûn cuûa Soá 1 * 2005
175
Daïng nang
Daïng hoãn hôïp vaø ñaëc
böôùu daïng ñaëc hoaëc hoãn hôïp ñaëc vaø nang. 12 tröôøng
hôïp coù böôùu laø nang thuaàn nhaát coù thôøi gian soáng coøn
trung bình laø 63,6 thaùng (sai soá chuaån =3,9), 16
tröôøng hôïp coù böôùu laø daïng ñaëc vaø daïng hoãn hôïp coù
thôøi gian soáng coøn trung bình laø 42 thaùng (sai soá
chuaån =6,0, p = 0,05).
Bieåu ñoà 3: Thôøi gian soáng coøn theo daïng ñaïi theå cuûa
böôùu
- Khoâng tìm thaáy moái lieân heä giöõa thôøi gian soáng
coøn vôùi tuoåi cuûa beänh nhaân (p=0,36), kích thöôùc
böôùu (p=0,9) vaø söï hieän dieän cuûa ñoùng voâi trong
böôùu (p=0,42).
Phaân tích ña bieán baèng phöông phaùp hoài qui Cox
thì thaáy hai yeáu toá möùc ñoä phaãu thuaät vaø daïng ñaïi theå
böôùu ñeàu aûnh höôûng ñoäc laäp leân tieân löôïng soáng coøn
cuûa beänh nhaân böôùu soï haàu. Daïng ñaïi theå cuûa böôùu
coù ñoä töông quan laø 0,128 vaø p = 0,053, möùc ñoä phaãu
thuaät coù ñoä töông quan laø 0,125 vaø p = 0,024.
BAØN LUAÄN
Böôùu soï haàu laø beänh lyù ít gaëp. Treân theá giôùi böôùu
soï haàu chieám 2 - 4% caùc böôùu noäi soï, xuaát ñoä haøng
naêm laø 0,2 – 2/100.000 daân. Taïi Hoa kyø töø naêm 1990
– 1993, moãi naêm coù 338 beänh nhaân böôùu soï
haàu/naêm ñöôïc chaån ñoaùn, xuaát ñoä 0,13/100.000
daân/naêm(23). Beänh vieän ñaïi hoïc California töø 1956 –
1975 coù 35 beänh nhaân böôùu soï haàu ñöôïc chaån ñoaùn
vaø ñieàu trò(13). Taïi beänh vieän Chôï Raãy TP Hoà Chí
Minh, töø thaùng1/1996 - 12/1998 coù 1172 beänh nhaân
böôùu naõo ñöôïc ñieàu trò vaø chæ coù 43 beänh nhaân böôùu
soï haàu ñöôïc chaån ñoaùn chieám 3,67%(14).
Theo y vaên, tyû leä nam/nöõ laø töông ñöông nhau,
trong nhieàu nghieân cöùu thì tyû leä naøy thay ñoåi töø 1/1 –
1,2/1(4,5,6,16,17,23,29).
Böôùu soï haàu thöôøng gaëp ôû treû em hôn ngöôøi lôùn.
Theo y vaên böôùu soï haàu coù ñænh tuoåi thöôøng gaëp laø 5
– 20 tuoåi, hai phaàn ba tröôøng hôïp gaëp tröôùc 20 tuoåi,
tuoåi trung bình khi chaån ñoaùn laø 8 tuoåi. Hai ñænh tuoåi
thöôøng gaëp laø 5 - 10 vaø 60 – 65 tuoåi(1,12,15,16,17).
Caùc trieäu chöùng luùc phaùt hieän beänh coù tyû leä thay
ñoåi tuyø theo töøng nghieân cöùu. Trong nghieân cöùu cuûa
taùc giaû Rajan(18) taêng aùp löïc noäi soï chieám 31%, môø
maét chieám 58%, trieäu chöùng noäi tieát chieám 9%, trieäu
chöùng thaàn kinh cao caáp chieám 1%. Theo taùc giaû
Hetelekidis (9) ñau ñaàu chieám 77%, môø maét 59%, oùi
43%, chaäm phaùt trieån theå chaát 25%, thaát ñieàu 11%,
trieäu chöùng ñaùi thaùo nhaït 7%, lieät chi 7%, hoân meâ 5%.
Nghieân cöùu cuûa Yasuto(33) trieäu chöùng môø maét 100%,
ñau ñaàu + oùi chieám 62,50%, roái loaïn noäi tieát chieám
37,50% beänh nhaân vaø khoâng coù beänh nhaân naøo coù
trieäu chöùng thaàn kinh cao caáp. Trong nghieân cöùu cuûa
chuùng toâi, caùc beänh nhaân coù nhieàu trieäu chöùng cuøng
luùc vaø coù 42,86% beänh nhaân coù roái loaïn thaàn kinh cao
caáp, tyû leä caùc trieäu chöùng trong nghieân cöùu cuûa
chuùng toâi cao hôn vaø naëng neà hôn raát nhieàu so vôùi y
vaên vaø caùc nghieân cöùu khaùc. Lyù giaûi cho ñieàu naøy,
chuùng toâi nghó raèng do beänh nhaân trong loaït nghieân
cöùu naøy laø nhöõng beänh nhaân ñaõ ñöôïc choïn loïc, phaãu
thuaät vieân ñaùnh giaù laø coù khaû naêng taùi phaùt cao vì
böôùu khoâng ñöôïc laáy troïn caàn phaûi xaï trò boå tuùc.
Trong nghieân cöùu cuûa chuùng toâi, ñieåm voâi hoùa
hieän dieän ôû 28 beänh nhaân (80%), döôùi 20 tuoåi coù
18/23 beänh nhaân (78,26%) vaø treân 20 tuoåi coù 10/12
beänh nhaân (83,33%). Trong nghieân cöùu cuûa Weiss(27)
ñieåm voâi hoùa hieän dieän ôû 74,19% tröôøng hôïp.
Lichter(13) nhaän thaáy ñieåm voâi hoùa hieän dieän ôû 57,14%
tröôøng hôïp, döôùi 20 tuoåi 80% vaø treân 20 laø 31%.
Trong nghieân cöùu cuûa chuùng toâi khoâng tìm thaáy moái
töông quan giöõa tuoåi vaø söï hieän dieän ñieåm voâi hoùa.
Theo y vaên böôùu soï haàu laø loaïi böôùu phaùt trieån
chaäm vaø chæ coù trieäu chöùng khi ñaït kích thuôùc 3 cm,
do ñoù thôøi gian khôûi beänh cuûa böôùu soï haàu thuôøng laø
1 – 2 naêm(26). Trong nghieân cöùu cuûa chuùng toâi 28

beänh nhaân (80%) khôûi beänh trong voøng 1 naêm. Caùc
beänh nhaân trong nghieân cöùu cuûa chuùng toâi laø nhöõng
tröôøng hôïp ñaõ ñöôïc caùc phaãu thuaät vieân ñaùnh giaù laø
coù khaû naêng taùi phaùt cao sau phaãu thuaät neân lyù giaûi
ñöôïc dieãn tieán caáp tính cuûa loaït beänh nhaân naøy.
Trong nghieân cöùu cuûa Wen(29), kích thöôùc böôùu
< 3 cm chieám 73% vaø ≥ 3 cm chieám 27%. Taùc giaû
Weiss(27) nhaän thaáy böôùu < 3 cm chieám 30,77%, 3 - 5
cm chieám 61,54% vaø > 5 cm chieám 7,69%. Caùc
nghieân cöùu treân cho thaáy vaãn coù moät soá löôïng khoâng
nhoû beänh nhaân ñöôïc phaùt hieän sôùm khi böôùu nhoû
hôn 3 cm.
Trong nghieân cöùu cuûa chuùng toâi khoâng coù beänh
nhaân naøo ñöôïc phaùt hieän sôùm khi böôùu döôùi 3 cm vaø
beänh chæ ñöôïc phaùt hieän khi böôùu ñaõ lôùn, lan roäng,
ñieàu naøy laø moät yeáu toá tieân löôïng xaáu ñoái vôùi soáng coøn
cuûa beänh nhaân vì theo Hetelekidis(9) coù söï khaùc bieät
veà soáng coøn khi böôùu döôùi 3 cm vaø böôùu treân 3 cm.
Hieän nay ñieàu trò böôùu soï haàu chuû yeáu laø phaãu
thuaät vaø xaï trò nhöng söï vaän duïng hai moâ thöùc naøy
coøn tuøy caùc tröôøng phaùi treân theá giôùi. Theo caùc taùc giaû
chuoäng phaãu thuaät nhö Yasargil(32) nghieân cöùu 144
beänh nhaân phaãu thuaät taän goác böôùu baèng vi phaãu cho
tyû leä taùi phaùt 7%, Hoffman(10) phaãu thuaät taän goác cho
tyû leä taùi phaùt laø 29%, Shapiro(22) nhaän thaáy thôøi gian
soáng coøn khoâng beänh 8 naêm ñoái vôùi phaãu thuaät laáy
taän goác böôùu laø 77%, laáy moät phaàn böôùu laø 40%, choïc
huùt nang keát hôïp xaï trò laø 50%. Caùc taùc giaû ñeà xuaát
caàn phaûi coá gaéng phaãu thuaät laáy troïn böôùu trong u soï
haàu vaø khoâng caàn phaûi xaï trò vì beänh nhaân böôùu soï
haàu soáng raát laâu, xaï trò coù theå aûnh höôûng leân söï phaùt
trieån cuûa naõo boä vaø nguy cô gaây ung thö.
Theo moät soá nghieân cöùu thì tyû leä phaãu thuaät laáy
ñöôïc toaøn boä böôùu chieám tyû leä khoâng nhoû, tyû leä phaãu
thuaät laáy troïn böôùu töø 61% - 77%(27,28,29). Taùc giaû
Wever(30) nghieân cöùu 20 beänh nhaân böôùu soï haàu kích
thöôùc lôùn 5 - 11cm, coù phaân nöõa soá beänh nhaân ñöôïc
phaãu thuaät taän goác nhôø vi phaãu. Theo moät soá nghieân
cöùu phaãu thuaät taän goác seõ cho keát quaû soáng coøn cao
hôn laø laáy moät phaàn böôùu(16,26).
Nhöng theo taùc giaû Wen(29) phaãu thuaät taän goác
trong böôùu soï haàu thöïc hieän raát khoù khaên vì böôùu
thöôøng xaâm laán xung quanh vaøo caùc caáu truùc troïng
yeáu, chæ 15%beänh nhaân khoâng taùi phaùt sau phaãu
thuaät, tyû leä töû vong do phaãu thuaät töø 7-41%,11% töû
vong ngay sau khi phaãu thuaät, 37 % beänh nhaân bieán
chöùng naëng (suy noäi tieát, baùn manh, xuaát huyeát noäi
soï....) , trong khi ñoù 90% beänh nhaân xaï trò khoâng taùi
phaùt. Theo taùc giaû Weiss(27), phaãu thuaät chæ thöïc hieän
ôû nhöõng beänh nhaân böôùu nhoû nhöng töû vong cao vaø
bieán chöùng noäi tieát nguy hieåm. Phaãu thuaät moät phaàn
keát hôïp xaï trò cho soáng coøn toaøn boä cao, choïc huùt
nang roài xa trò thì hieäu quaû hôn phaãu thuaät laáy troïn
böôùu. Taùc giaû Hoogenhout(11) nhaän thaáy phaãu thuaät
laáy troïn chæ kieåm soaùt böôùu 75%, phaãu thuaät laáy böôùu
moät phaàn roài xaï trò cho soáng coøn 14 naêm laø 100%, tyû
leä taùi phaùt sau 10 naêm cuûa nhoùm phaãu thuaät laø 71%
vaø cuûa nhoùm xaï trò laø 21%. Theo Hetelekidis(9) nhoùm
beänh nhaân chæ xaï trò ñôn thuaàn coù tyû leä soáng coøn 10
naêm laø 100%, phaãu thuaät moät phaàn roài xaï trò laø 86%,
coøn phaãu thuaät ñôn thuaàn laø 31% (p=0,01).
Veà xaï trò, neáu lieàu xaï trò nhoû hôn hoaëc baèng 56Gy,
phaân lieàu nhoû hôn hoaëc baèng 1,8Gy/laàn, nguy cô toån
thöông thaàn kinh do xaï trò chæ khoaûng 1 - 1,5%, bieåu
hieän baèng roái loaïn thò giaùc do hoaïi töû giao thoa thò
giaùc hoaëc thaàn kinh thò, lieàu xaï trò cao hôn seõ laøm
taêng nguy cô bieán chöùng maø khoâng keøm taêng khaû
naêng kieåm soaùt böôùu (19,26,29). Trong nghieân cöùu
cuûa Regine (1961-81) vaø cuûa Yasuto (1955-75)(18,32)
beänh nhaân ñöôïc xaï trò baèng maùy Cobalt 60, lieàu xaï
thay ñoåi töø 52Gy ñeán 65Gy, vôùi phaân lieàu 1,8 - 2 Gy/
ngaøy, lieân tuïc 5 ngaøy trong tuaàn. Taùc giaû Yoshihisa
(2003)(34) duøng xaï phaãu, lieàu xaï duy nhaát 19,2-24,7Gy
cho nhöõng böôùu nhoû hôn 2 cm vaø cho raèng xaï phaãu
baèng löôõi dao tia gamma thì an toaøn, coù hieäu quaû
trong kieåm soaùt böôùu taïi choã vaø bieán chöùng thì chaáp
nhaän ñöôïc.
Trong nghieân cöùu cuûa chuùng toâi xaùc xuaát soáng
coøn sau 5 naêm cuûa nhoùm beänh nhaân coù xaï trò laø
84,59%. Theo caùc taùc giaû Hoa Kyø trong giai ñoaïn töø
1961-1981 duøng maùy xaï trò laø Cobalt 60 thôøi gian
soáng coøn 5 naêm sau phaãu thuaät khoâng taän goác + xaï
trò thay ñoåi töø 69% - 93%(2,7,19,20, 25). Yasuto nghieân cöùu
taïi Nhaät Baûn töø 1955 - 1975(33) duøng maùy xaï trò Cobalt
60 cho tyû leä soáng 5 naêm laø 69%. Nghieân cöùu cuûa
176

