
CHẤT RẮN TRONG NƯỚC THẢI
Chất rắn trong nước thải bao gồm các chất rắn lơ lửng, chất rắn có
khả năng lắng, các hạt keo và chất rắn hòa tan. Tổng các chất rắn
(Total solid, TS) trong nước thải là phần còn lại sau khi đã cho
nước thải bay hơi hoàn toàn ở nhiệt độ từ 103 105oC. Các chất
bay hơi ở nhiệt độ này không được coi là chất rắn. Tổng các chất
rắn được biểu thị bằng đơn vị mg/L.
Tổng các chất rắn có thể chia ra làm hai thành phần: chất rắn lơ
lửng (có thể lọc được) và chất rắn hòa tan (không lọc được).
Chất rắn lơ lửng là các hạt nhỏ (hữu cơ hoặc vô cơ) trong nước
thải. Khi vận tốc của dòng chảy bị giảm xuống (do nó chảy vào các
hồ chứa lớn) phần lớn các chất rắn lơ lửng sẽ bị lắng xuống đáy
hồ; những hạt không lắng được sẽ tạo thành độ đục (turbidity) của
nước. Các chất lơ lửng hữu cơ sẽ tiêu thụ oxy để phân hủy làm
giảm DO của nguồn nước. Các cặn lắng sẽ làm đầy các bể chứa
làm giảm thể tích hữu dụng của các bể này.
Để xác định hàm lượng các chất rắn lơ lửng phải tiến hành phân
tích chúng bằng cách lọc qua giấy lọc bằng sợ thủy tinh Whatmann
934AH và 948H (Whatmann GF/C) có kích thước các lổ khoảng
1,2 micrometter (µm) hoặc của Đức loại A/E. Lưu ý là các giấy lọc
cấu tạo bằng Polycarbonate cũng có thể sử dụng được, tuy nhiên
các số liệu có thể chênh lệch do cấu trúc của các loại giấy này khác
nhau. Các chất rắn lơ lửng bị giữ lại ở giấy lọc. Đem giấy lọc này
sấy khô tuyệt đối ở nhiệt độ 105oC. Hàm lượng chất rắn lơ lửng sẽ
được tính bằng công thức:
trong đó
TSS: tổng các chất rắn lơ lửng (mg/L)

A: trọng lượng của giấy lọc và các chất rắn lơ lửng sau khi sấy khô
tuyệt đối (mg)
B: trọng lượng ban đầu của giấy lọc (mg)
V: thể tích mẫu nước thải qua lọc (L)
Hàm lượng chất rắn lơ lửng phụ thuộc chủ yếu vào lượng nước sử
dụng hàng ngày của một người. Lượng nước tiêu thụ càng lớn thì
hàm lượng các chất rắn lơ lửng nói riêng và các chất gây ô nhiễm
nói chung càng nhỏ và ngược lại. Tùy theo kích thước hạt, trọng
lượng riêng của chúng, tốc độ dòng chảy và các tác nhân hóa học
mà các chất lơ lửng có thể lắng xuống đáy, nổi lên mặt nước hoặc
ở trạng thái lơ lửng.
Để xác định hàm lượng các chất rắn có khả năng lắng (settable
solid) ngưới ta dùng một dụng cụ thủy tinh gọi là nón Imhoff có
chia vạch thể tích. Cho 1 lít nước thải vào nón Imhoff để cho lắng
tự nhiên trong vòng 45 phút, sau đó khuấy nhẹ sát thành nón rồi để
cho lắng tiếp trong vòng 15 phút. Sau đó đọc thể tích chất lơ lửng
lắng được bằng các vạch chia bên ngoài. Hàm lượng chất rắn lơ
lửng lắng được biểu thị bằng đơn vị mL/L. Chỉ tiêu chất rắn có khả
năng lắng biểu diễn gần đúng lượng bùn có thể loại bỏ được bằng
bể lắng sơ cấp.
Ngoài các chất lắng được, trong nước thải còn chứa các tạp chất
nổi (floating solid) có trọng lượng riêng nhỏ hơn trọng lượng riêng
nước. Khi lắng các chất này nổi lên bề mặt công trình. Theo các
tính toán của Sở KHCN & MT Cần Thơ lượng chất rắn lơ lửng
tổng cộng do một người ở khu vực Cần Thơ thải ra trong một ngày
đêm là 200 g.
Các chất rắn hòa tan (không lọc được bao gồm các hạt keo và các
chất hòa tan. Các hạt keo có kích thước từ 0,001 1 mm, các hạt
keo này không thể loại bỏ bằng phương pháp lắng cơ học. Các chất
hòa tan có thể là phân tử hoặc ion của chất hữu cơ hay vô cơ.

Để xác định hàm lượng hữu cơ của các chất rắn lơ lửng người ta sử
dụng chỉ tiêu VSS (volatile suspended solid) bằng cách đem hóa
tro các chất rắn ở 550 50oC trong 1 giờ. Phần bay hơi là các chất
hữu cơ (VSS), phần còn lại sau khi hóa tro là các chất vô cơ FSS
(Fixed suspended solid). Lưu ý hầu hết các muối vô cơ đều không
bị phân hủy ở nhiệt độ dưới 825oC, chỉ trừ magnesium carbonate bị
phân hủy thành MgO và CO2 ở nhiệt độ 350oC. Chỉ tiêu VSS của
nước thải thường được xác định để biết rõ khả năng phân hủy sinh
học của nó.
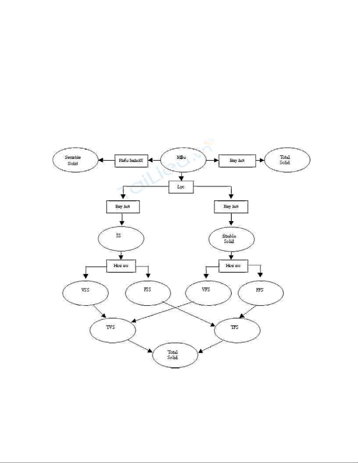
Mối quan hệ giữa các thành phần chất rắn trong nước và nước
thải

Nguồn: Wastewater Engineering: Treatment, Diposal, Reuse,
1989
Bài tập 1.1: Cho các số liệu sau
Trọng lượng của đĩa dùng chứa mẫu là 53,5433 g
Trọng lượng của đĩa và các chất rắn còn lại sau khi cho nước thải
bay hơi ở 105oC là 53,5793 g
Trọng lượng của đĩa và các chất rắn còn lại sau khi hóa tro nước
thải ở 550oC là 53,5772 g
Trọng lượng giấy lọc Whatmann là 1,5433 g
Trọng lượng giấy lọc Whatmann và các chất rắn trên giấy lọc sau
khi lọc mẫu là 1,5553 g
Trọng lượng sau khi hóa tro là 1,5531g
Tất cả các mẫu thử đều có thể tích là 50 mL. Xác định TS, VS, SS,
VSS
Giải:


