
SỞ GD & ĐT QUẢNG NAM
TRƯỜNG THPT VÕ CHÍ CÔNG KIỂM TRA CUỐI HỌC KÌ I – NĂM HỌC 2022 - 2023
MÔN SINH HỌC LỚP 11 - LỚP 11
Thời gian làm bài : 45 Phút;(Không kể thời gian giao đề)
ĐỀ CHÍNH THỨC
(Đề có 2 trang)
Họ tên : ............................................................... Số báo danh : ...................
Mã đề 401
01
I. PHẦN TRẮC NGHIỆM ( 5 ĐIỂM)
Câu 1: Các giai đoạn của hô hấp tế bào diễn ra theo trật tự nào?
A. Đường phân Chuỗi chuyền electron hô hấp chu trình Crep.
B. Đường phân chu trình Crep Chuỗi chuyền electron hô hấp.
C. Chuỗi chuyền electron hô hấp chu trình Crep Đường phân.
D. Chu trình Crep Đường phân Chuỗi chuyền electron hô hấp.
Câu 2: Cây hấp thụ nitơ ở dạng nào dưới đây?
A. NH4+ và NO2-B. N2 và NO3-
C. NH4+ và NO3- D. N2 và NH3
Câu 3: Hô hấp sáng xảy ra với sự tham gia của các bào quan theo thứ tự
A. ti thể, lizôxôm, lục lạp. B. ti thể, perôxixôm, lục lạp.
C. lục lạp, perôxixôm, ti thể. D. ti thể, lục lạp, ribôxôm.
Câu 4: Khi nói về hô hấp sáng ở thực vật, có bao nhiêu phát biểu đúng ?
I. Hô hấp sáng là quá trình hấp thụ O2 và thải CO2 ở ngoài sáng.
II. Hô hấp sáng gây tiêu hao sản phẩm quang hợp.
III. Hô hấp sáng thường xảy ra ở thực vật C4 và CAM trong điều kiện cường độ ánh sáng cao.
IV. Quá trình hô hấp sáng xảy ra lần lượt ở các bào quan: lục lạp, peroxixom, ti thể.
A. 4. B. 2. C. 3. D. 1.
Câu 5: Ở thực vật, bào quan nào sau đây thực hiện chức năng hô hấp chính ?
A. Lục lạp. B. Không bào. C. Perôxixôm. D. Ty thể.
Câu 6: Khi nói về hô hấp ở thực vật, nhân tố môi trường nào sau đây không ảnh hưởng đến hô
hấp?
A. Nhiệt độ. B. Hàm lượng nước.
C. Nồng độ khí CO2. D. Nồng độ khí Nitơ (N2).
Câu 7: Tiêu hóa ở động vật là gì?
A. Tiêu hóa là quá trình làm biến đổi thức ăn thành các chất hữu cơ.
B. Tiêu hóa là quá trình biến đổi thức ăn thành các chất dinh dưỡng và tạo ra năng lượng.
C. Tiêu hóa là quá trình tạo ra các chất dinh dưỡng và năng lượng, hình thành phân thải ra ngoài
cơ thể
D. Tiêu hóa là quá trình biến đổi các chất dinh dưỡng có trong thức ăn thành những chất đơn
giản mà cơ thể hấp thụ được.
Câu 8: Vai trò nào dưới là của quang hợp?
A. Là động lực đầu trên của dòng mạch gỗ.
B. Giúp hạ nhiệt độ của lá cây vào những ngày nắng nóng.
C. Tạo ra các sản phẩm trung gian cho các quá trình tổng hợp các chất hữu cơ trong cơ thể.
D. Quang năng đã được chuyển hóa thành hóa năng trong các liên kết hóa học của sản phẩm
quang hợp.
Câu 9: Nguyên tố nào sau đây là nguyên tố vi lượng?
A. Lưu huỳnh. B. Nitơ. C. Sắt. D. Canxi.
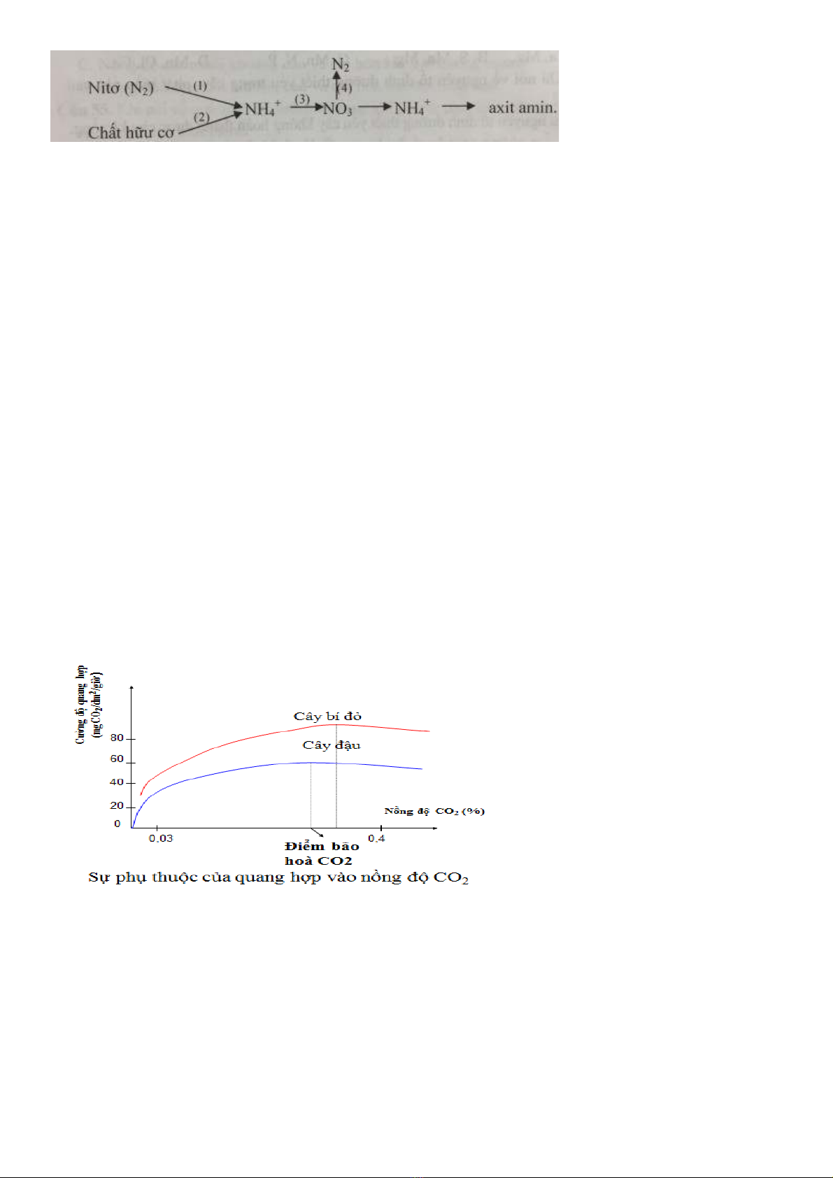
Câu 10: Cho sơ đồ sau:
Trang 1/2 - Mã đề 401

Chú thích nào sau đây đúng?
A. 1- cố định đạm; 2- amon hóa; 3- khử amon; 4- phản nitrat hóa
B. 1- oxi hóa nitơ phân tử; 2- amon hóa; 3- nitrat hóa; 4- phản nitrat hóa
C. 1- cố định đạm; 2- amon hóa; 3- phản nitrat hóa ; 4- nitrat hóa
D. 1- cố định đạm; 2- amon hóa; 3- nitrat hóa; 4- phản nitrat hóa
Câu 11: Những màu sắc khác nhau có ở thực vật ( trừ màu xanh) là do loại sắc tố nào quy định?
A. Carôtenôit. B. Diệp lục A. C. Diệp lục B. D. Diệp lục.
Câu 12: Sản phẩm của pha sáng gồm có:
A. ATP, NADPH. B. ATP, NADP+và O2.
C. ATP, NADPH và O2. D. ATP, NADPH và CO2.
Câu 13: Trong các hô hấp hiếu khí ở thực vật, giai đoạn nào tạo ra nhiều năng lượng nhất?
A. Quá trình lên men. B. Đường phân.
C. Chuỗi chuyền electron. D. Chu trình Crep.
Câu 14: Cơ quan nào sau đây hấp thụ ion khoáng ở thực vật trên cạn?
A. Lá. B. Hoa. C. Rễ. D. Thân.
Câu 15: Nhóm thực vật C3 được phân bố như thế nào?
A. Phân bố rộng rãi trên thế giới, chủ yếu ở vùng ôn đới và á nhiệt đới.
B. Sống ở vùng sa mạc.
C. Chỉ sống ở vùng ôn đới và á nhiệt đới.
D. Sống ở vùng nhiệt đới.
II. PHẦN TỰ LUẬN ( 5 ĐIỂM)
Câu 1: ( 1 điểm) Quan sát hình trên, cho biết sự phụ thuộc của quang hợp vào nồng độ
CO2 có giống nhau ở tất cả các loài cây không.
Câu 2: (1 điểm) Cho biết sự khác nhau giữa tiêu hóa nội bào và tiêu hóa ngoại bào?
Câu 3: (1 điểm) Tại sao ruột non thú ăn thực vật lại dài hơn rất nhiều so với thú ăn thịt?
Câu 4: (2 điểm) Phân biệt đặc điểm tiêu hóa ở thú ăn thịt và thú ăn cỏ.
------ HẾT -----
Trang 2/2 - Mã đề 401

