logo
Mạng xã hội chia sẻ tài liệu
Upload
Nâng cấp VIP
Trang chủ » Kỹ Thuật - Công Nghệ » Tự động hoá - Điều khiển
4 trang
244 lượt xem
3
0

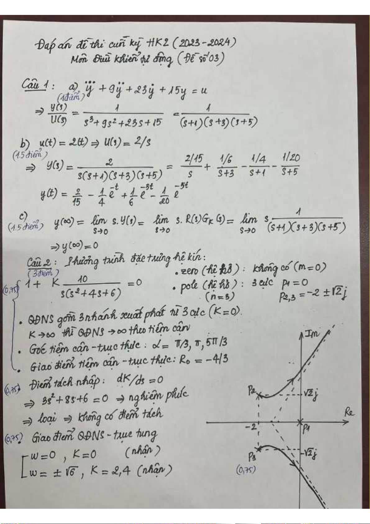
Đề thi học kì 2 môn Điều khiển tự động năm 2023-2024 có đáp án (Hệ CLC)

Tài liệu "Đề thi học kì 2 môn Điều khiển tự động năm 2023-2024 có đáp án - Trường ĐH Sư phạm Kỹ thuật TP.HCM (Hệ CLC)" dưới đây sẽ giúp sinh viên hệ thống lại nội dung môn học, rèn luyện kỹ năng tư duy và làm bài thi hiệu quả. Đừng bỏ lỡ cơ hội ôn tập với bộ tài liệu hữu ích này nhé!

Chủ đề:

lakim0906

Lý thuyết điều khiển tự động

Đề thi Lý thuyết điều khiển tự động

Share
/
4

Tài liệu liên quan

Đề thi Điều khiển tự động cuối kỳ 1 (2020-2021) có đáp án [FULL]

Đề thi cuối kỳ học kỳ 1 (2020-2021) môn Điều khiển tự động có đáp án

6 trang
Đề thi cuối kì môn Máy và hệ thống điều khiển số 2019-2020 (Mã đề 01)

Đề thi cuối kì học kỳ 1 năm học 2019 - 2020 môn Máy và hệ thống điều khiển số (Mã đề 01)

5 trang
Đề thi Điều khiển tự động cuối học kỳ 2 năm 2017-2018

Đề thi cuối học kỳ 2 năm học 2017-2018 môn Điều khiển tự động

W 5 trang
Đề thi Điều khiển tự động cuối kỳ học kỳ 2 năm 2018-2019

Đề thi cuối kỳ học kỳ 2 năm học 2018-2019 môn Điều khiển tự động

6 trang
Đề thi Điều khiển tự động cuối học kì 1 năm 2019-2020

Đề thi cuối học kì 1 môn Điều khiển tự động năm 2019-2020

2 trang
Đề thi Điều khiển tự động học kì 1 năm 2024-2025 có đáp án [mới nhất]

Đề thi học kì 1 môn Điều khiển tự động năm 2024-2025 có đáp án

4 trang
Đề thi Điều khiển tự động học kì 1 năm 2023-2024: Tổng hợp đề thi mới nhất

Đề thi học kì 1 môn Điều khiển tự động năm 2023-2024

2 trang
Đề thi Điều khiển tự động học kì 1 năm 2019-2020

Đề thi học kì 1 môn Điều khiển tự động năm 2019-2020

2 trang
Đề thi Điều khiển tự động học kì 2 năm 2021-2022 (Hệ CLC)

Đề thi học kì 2 môn Điều khiển tự động năm 2021-2022 (Hệ CLC)

2 trang
Đề thi Điều khiển tự động học kì 2 năm 2021-2022: Tổng hợp đề thi và đáp án

Đề thi học kì 2 môn Điều khiển tự động năm 2021-2022

2 trang

Tài liêu mới

Bài giảng Hệ thống điều khiển và giám sát SCADA: TS. GVC. Vũ Minh Quang

Bài giảng Hệ thống điều khiển và giám sát SCADA - TS. GVC. Vũ Minh Quang

328 trang
Bài giảng Điều chỉnh tự động truyền động điện - Chương 7: Tổng hợp hệ dùng phương pháp không gian trạng thái

Bài giảng Điều chỉnh tự động truyền động điện - Chương 7: tổng hợp hệ dùng phương pháp không gian trạng thái

51 trang
Bài giảng Điều khiển số truyền động điện: Tổng hợp hệ truyền động điện tự động - Chương 6

Bài giảng Điều chỉnh tự động truyền động điện - Chương 6: tổng hợp hệ truyền động điện điều khiển số

32 trang
Tổng hợp hệ truyền động điện tự động theo tiêu chuẩn sai lệch: Bài giảng chương 5 về bù sai lệch

Bài giảng Điều chỉnh tự động truyền động điện - Chương 5: Tổng hợp hệ theo các tiêu chuẩn sai lệch, bù sai lệch

11 trang
Tổng hợp hệ điện cơ: Bài giảng Điều chỉnh tự động truyền động điện - Chương 4, Khái niệm chung

Bài giảng Điều chỉnh tự động truyền động điện - Chương 4: Khái niệm chung về tổng hợp hệ điện cơ

23 trang
Hệ truyền động điện tự động dùng động cơ một chiều: Bài giảng Điều chỉnh tự động truyền động điện - Chương 3

Bài giảng Điều chỉnh tự động truyền động điện - Chương 3: Hệ truyền động điện tự động dùng động cơ một chiều

55 trang
Bài giảng Điều chỉnh tự động truyền động điện - Chương 2: Bộ biến đổi tạo nguồn

Bài giảng Điều chỉnh tự động truyền động điện - Chương 2: Bộ biến đổi tạo nguồn

15 trang
Bài giảng Điều chỉnh tự động truyền động điện - Chương 1: Các khái niệm và kiến thức liên quan

Bài giảng Điều chỉnh tự động truyền động điện - Chương 1: Các khái niệm và kiến thức liên quan

44 trang
Bài giảng Tự động hóa quá trình công nghệ - ThS. Trần Van Trinh

Bài giảng Tự động hóa quá trình công nghệ - ThS. Trần Van Trinh

129 trang
Giáo trình Hệ thống điều khiển phân tán (CĐ): Sửa chữa thiết bị tự động hoá - Trường Cao đẳng Dầu Khí

Giáo trình Hệ thống điều khiển phân tán (Nghề: Sửa chữa thiết bị tự động hoá - CĐ) - Trường Cao đẳng Dầu Khí

79 trang
Giáo trình Chuyên đề Khai thác thương vụ (Nghề Điều khiển tàu biển, Trình độ Cao đẳng) - Trường Cao đẳng Hàng hải II

Giáo trình Chuyên đề Khai thác thương vụ (Nghề: Điều khiển tàu biển - Trình độ: Cao đẳng) - Trường Cao đẳng Hàng hải II

W 48 trang
Giáo trình Chuyên đề Tai nạn hàng hải (Nghề Điều khiển tàu biển, Trình độ Cao đẳng) - Trường Cao đẳng Hàng hải II

Giáo trình Chuyên đề Tai nạn hàng hải (Nghề: Điều khiển tàu biển - Trình độ: Cao đẳng) - Trường Cao đẳng Hàng hải II

151 trang
Giáo trình Chuyên đề Hệ thống quản lý an toàn tàu (Nghề Điều khiển tàu biển, Trình độ Cao đẳng) - Trường Cao đẳng Hàng hải II

Giáo trình Chuyên đề Hệ thống quản lý an toàn tàu (Nghề: Điều khiển tàu biển - Trình độ: Cao đẳng) - Trường Cao đẳng Hàng hải II

184 trang
Giáo trình Xử lý tình huống và thủ tục khẩn cấp Nghề Điều khiển tàu biển trình độ Cao đẳng - Trường Cao đẳng Hàng hải II

Giáo trình Xử lý tình huống và thủ tục khẩn cấp (Nghề: Điều khiển tàu biển - Trình độ: Cao đẳng) - Trường Cao đẳng Hàng hải II

56 trang
Giáo trình Điều động tàu 2 (Nghề Điều khiển tàu biển, Trình độ Cao đẳng) - Trường Cao đẳng Hàng hải II

Giáo trình Điều động tàu 2 (Nghề: Điều khiển tàu biển - Trình độ: Cao đẳng) - Trường Cao đẳng Hàng hải II

109 trang

AI tóm tắt

- Giúp bạn nắm bắt nội dung tài liệu nhanh chóng!

Giới thiệu tài liệu

Nghiên cứu nghiệp của Tài liệu là một quan sát về sự phát triển kinh tế Việt Nam trong giai đoạn 1990-2020. Nghiên cứu này đã chỉ ra rằng, kinh tế Việt Nam trong khoảng thời gian này được áp dụng bởi yếu tố như tăng trưởng công nghiệp, xuất khẩu, đầu tư nước ngoài và chính sách kinh tế của Đảng Cộng sản Việt Nam. Nó cũng cho thấy rằng, sự phát triển kinh tế của Việt Nam vẫn còn nhiều thách thức chính là vấn đề phân phối thu nhập, giảm nghèo, hạ tầng và bảo vệ môi trường.

Đối tượng sử dụng

Nhà nghiên cứu, sinh viên khoa kinh tế, doanh nghiệp Việt Nam và những người quan tâm đến phát triển kinh tế quốc gia.

Từ khoá chính

kinh tế Việt Namphát triển kinh tếchính sách kinh tếphân phối thu nhậpgiảm nghèo

Nội dung tóm tắt

Tài liệu cho biết rằng sự phát triển kinh tế Việt Nam trong giai đoạn 1990-2020 được áp dụng bởi nhiều yếu tố, chẳng hạn như tăng trưởng công nghiệp và xuất khẩu, cũng như đầu tư nước ngoài và chính sách kinh tế của Đảng Cộng sản Việt Nam. Nghiên cứu này cũng cho thấy rằng, quá trình phát triển kinh tế của Việt Nam vẫn còn nhiều thách thức chính là vấn đề phân phối thu nhập, giảm nghèo, hạ tầng và bảo vệ môi trường. Nó cũng cho biết rằng, để phát triển kinh tế bền vững, Việt Nam cần có những chính sách và giải pháp phù hợp để giải quyết các thách thức này.

Giới thiệu

Về chúng tôi

Việc làm

Quảng cáo

Liên hệ

Chính sách

Thoả thuận sử dụng

Chính sách bảo mật

Chính sách hoàn tiền

DMCA

Hỗ trợ

Hướng dẫn sử dụng

Đăng ký tài khoản VIP

Zalo/Tel:

093 303 0098

Email:

support@tailieu.vn

Phương thức thanh toán

Theo dõi chúng tôi

Facebook

Youtube

TikTok

chứng nhận
Chịu trách nhiệm nội dung: Nguyễn Công Hà
Doanh nghiệp quản lý: Công ty TNHH Tài Liệu trực tuyến Vi Na - GCN ĐKDN: 0307893603
Địa chỉ: 54A Nơ Trang Long, P. Bình Thạnh, TP.HCM - Điện thoại: 0283 5102 888 - Email: info@tailieu.vn
Giấy phép Mạng Xã Hội số: 38/GP-BVHTTDL cấp ngày 09/3/2026