
SỞ GD & ĐT QUẢNG NAM
TRƯỜNG THPT CAO BÁ QUÁT
KIỂM TRA CUỐI KỲ 2 – NĂM HỌC 2023 - 2024
MÔN SINH HỌC - LỚP 12
Thời gian làm bài : 45 Phút; (Đề có 30 câu)
(Đề có 4 trang)
Họ tên : ............................................................... Số báo danh :..............................
Câu 1: Theo quan niê!m hiê!n đa!i nhân tố nào sau đây cung cấp nguồn nguyên liệu sơ cấp cho quá
trình tiến hóa của sinh giới?
A. Chọn lọc tự nhiên. B. Đột biến.
C. Các yếu tố ngẫu nhiên. D. Giao phối ngẫu nhiên.
Câu 2: Theo Đacuyn, đơn vị tác động của chọn lọc tự nhiên là
A. quần xã. B. hệ sinh thái. C. cá thể. D. quần thể.
Câu 3: Trong lịch sử phát triển sự sống trên Trái Đất, thú và chim phaDt sinh ở:
A. Kỉ Thứ ba thuộc đại Tân sinh. B. Kỉ Phấn trắng thuộc đại Trung sinh.
C. Kỉ Tam điệp thuộc đại Trung sinh. D. Kỉ Jura thuộc đại Trung sinh.
Câu 4: Nhân tố tiến hóa nào sau đây quy đi!nh chiêMu hươDng tiêDn hoDa?
A. Đô!t biêDn. B. Chọn lọc tự nhiên.
C. Di - nhập gen. D. Các yếu tố ngẫu nhiên.
Câu 5: Cơ quan tương tự là những cơ quan
A. cùng nguồn gốc, đảm nhiệm những chức phận giống nhau.
B. có nguồn gốc khác nhau, nằm ở những vị trí tương ứng trên cơ thể, có kiểu cấu tạo giống nhau.
C. cùng nguồn gốc, nằm ở những vị trí tương ứng trên cơ thể, có kiểu cấu tạo giống nhau.
D. có nguồn gốc khác nhau nhưng đảm nhiệm những chức phận giống nhau, có hình thái tương tự.
Câu 6: Chồn đốm phương đông giao phối vào cuối đông, chồn đốm phương tây giao phối vào cuối
hè. Đây là da!ng cách li naMo?
A. Cách li cơ học. B. Cách li sau hợp tử.
C. Cách li thời gian. D. Cách li tập tính.
Câu 7: Quá trình nào sau đây nhanh chóng dẫn tới hình thành loài mới vaM mang bô! nhiê[m săDc thê]
cu]a 2 loaMi khaDc nhau?
A. Lai xa và đa bội hóa. B. Cách li tập tính.
C. Cách li sinh thái. D. Cách li địa lý.
Câu 8: Theo quan niệm hiện đại, tiến hóa nho] là quá trình hình thành
A. cá thể thích nghi. B. các nhóm phân loại trên loài.
C. loài mới. D. quần thể mới cùng loài.
Câu 9: Hiện tượng khống chế sinh học có thể xảy ra giữa các loaMi naMo sau đây?
A. Chim sâu và chim yêDn. B. ÊDch đồng và chim sẻ.
C. RăDn la[i và chuô!t. D. Tôm và caD cheDp.
Câu 10: Theo thuyết tiến hóa hiện đại, chọn lọc tự nhiên thực chất là
A. sự phát triển và sinh sản ưu thế của những kiểu gen thích nghi hơn.
B. phân hóa khả năng sống sót và sinh sản của các cá thể trong quần thể.
C. phân hóa khả năng sinh sản của các kiểu gen khác nhau trong quần thể.
D. phân hóa khả năng sống sót và sinh sản của các cá thể mang kiểu gen khác nhau trong quần thể.
Câu 11: Quần thể là một tập hợp gôMm caDc cá thể
A. cùng loài, cùng sống trong 1 khoảng không gian xác định, vào 1 thời điểm nhâDt định, có khả
năng sinh sản tạo thế hệ mới.
B. cùng loài, cùng sống trong 1 khoảng không gian xác định, vào 1 thời điểm xác định.
C. khaDc loài, sống trong 1 khoảng không gian xác định, có khả năng sinh sản tạo thế hệ mới.
D. khác loài, sống trong 1 khoảng không gian xác định, vào 1 thời điểm xác định.
Câu 12: Loài đă!c trưng là loài
A. sức sống mạnh, sinh khối lớn, hoạt động mạnh.
B. có khả năng tiêu diệt các loài khác.
C. chi] coD ơ] mô!t quâMn xa[ naMo đoD hoă!c coD sôD lươ!ng nhiêMu hơn hă]n caDc loaMi khaDc.
Trang 1/4 - Mã đề 124
Mã đề 124

D. số lượng cá thể nhiều, sinh khối lơn, hoạt động mạnh.
Câu 13: Theo quan niệm tiến hóa hiện đại, phát biểu nào sau đây không đúng?
A. CLTN chống alen trội có hiệu quả nhanh hơn đối với chống lại alen lặn.
B. Các yếu tố ngẫu nhiên có thể làm biến đổi đột ngột tần số alen của quần thể.
C. Di-nhập gen có thể làm thay đổi vốn gen của quần thể.
D. Đô!t biêDn là nhân tố định hướng quá trình tiến hóa.
Câu 14: Giả sử có 2 loài thực vật A và B lần lượt có bộ nhiễm sắc thể lưỡng bội 2nA = 18 và 2nB =
26. Nhận xét naMo dưới đây đúng?
A. Thể song nhị bội được tạo ra bằng phương pháp lai xa và đa bội hóa từ 2 loài trên có bộ nhiễm
sắc thể với số lượng là 46.
B. Cây lai giữa 2 loài trên có khả năng sinh sản hữu tính.
C. Thể song nhị bội được tạo ra bằng phương pháp lai xa và đa bội hóa từ 2 loài trên có kiểu gen
đồng hợp.
D. Cây lai coD bô! nhiê[m săDc thê] giôDng với hai loài bố mẹ.
Câu 15: Ví dụ naMo sau đây thuộc cơ chế cách li sau hợp tử?
A. Sáo đen và Sáo nâu có mùa sinh sản khác nhau.
B. Chim sẻ và chim gõ kiến không giao phối với nhau vì tập tính ve vãn khác nhau.
C. Ngựa cái giao phối với lừa đực sinh ra con la không có khả năng sinh sản.
D. Hạt phấn của loài cây này không thụ phấn cho hoa của loài cây khác.
Câu 16: Như[ng cơ quan naMo sau đây laM cơ quan tương tư!?
A. Gai của cây xương rồng và tua cuốn ở cây đậu Hà Lan.
B. Chân của loài chuột chũi và chân của loài dế nhũi.
C. Chi trước của mèo và cánh dơi.
D. Vây cá voi và tay người.
Câu 17: Các loại môi trường sống chủ yếu của sinh vật là môi trường
A. đất, môi trường trên cạn, môi trường nước, môi trường sinh vật.
B. đất, môi trường trên cạn, môi trường nước ngọt, nước mặn.
C. vô sinh, môi trường trên cạn, môi trường dưới nước.
D. đất, môi trường trên cạn, môi trường dưới nước.
Câu 18: Hình ảnh sau diễn tả kiểu phân bố của cá thể trong quần thể.
(1) Hình 3 là kiểu phân bố phổ biến nhất, thường gặp khi điều kiện sống phân bố không đồng đều
trong môi trường.
(2) Hình 2 là kiểu phân bố giúp sinh vật tận dụng được nguồn sống tiềm tàng trong môi trường.
(3) Hình 3 là kiểu phân bố giúp các cá thể hỗ trợ nhau chống lại điều kiện bất lợi của môi trường.
(4) Hình 1 là kiểu phân bố thường gặp khi điều kiện sống phân bố một cách đồng đều trong môi
trường và khi giữa các cá thể trong quần thể không có sự cạnh tranh gay gắt.
Những phát biểu có nội dung đúng là
A. 1; 2 và 3. B. 2; 3 và 4. C. 2 và 3. D. 1 và 3.
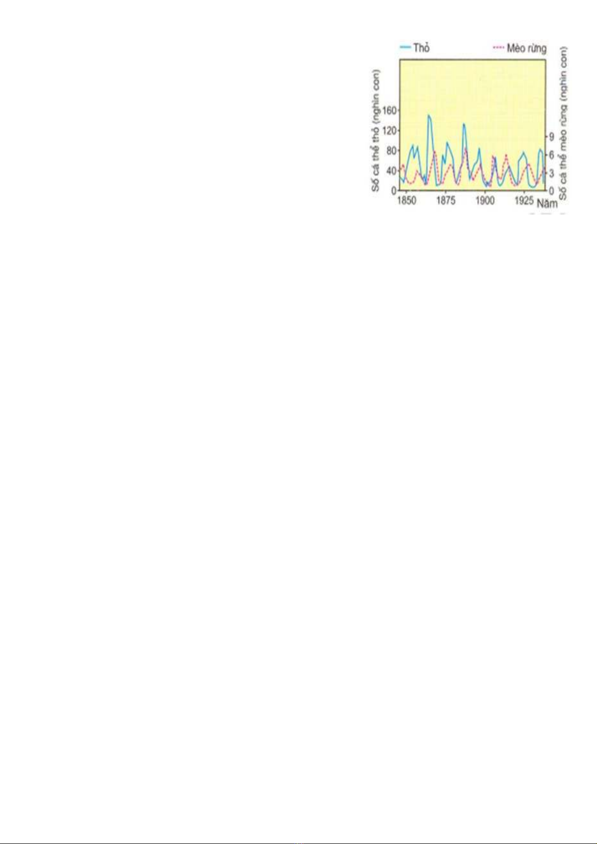
Câu 19:
Trang 2/4 - Mã đề 124

Hình bên mô tả sự biến động số lượng cá thể của quần
thể thỏ (quần thể con mồi) và quần thể mèo rừng Canađa
(quần thể sinh vật ăn thịt).
Phân tích hình bên, có bao nhiêu phát biểu sau đây đúng?
(1). Sự biến động số lượng cá thể của quần thể thỏ là
biến động không theo chu kì còn của quần thể mèo rừng
Canađa là biến động theo chu kì.
(2). Sự tăng hay giảm số lượng cá thể của quần thể mèo
rừng Canađa phụ thuộc vào sự tăng hay giảm số lượng cá
thể của quần thể thỏ.
(3). Sự tăng hay giảm số lượng cá thể của quần thể thỏ tỉ
lệ thuận với sự tăng hay giảm số lượng cá thể của quần
thể mèo rừng Canađa.
(4). Kích thước quần thể thỏ luôn lớn hơn kích thước
quần thể mèo rừng Canađa.
A. 1. B. 2. C. 4. D. 3.
Câu 20: Trong quâMn xa[ sinh vâ!t quan hệ nào sau đây laM quan hê! hô[ trơ!?
A. Quan hệ ức chế và hơ!p taDc. B. Quan hệ cạnh tranh và đối địch.
C. Quan hệ hơ!p taDc vaM kyD sinh. D. Cô!ng sinh và hô!i sinh.
Câu 21: Loài sinh vật A có giới hạn chịu đựng về nhiệt độ từ 5 đến 40°C, giới hạn chịu đựng về độ
ẩm từ 80% đến 98%. Loài sinh vật này có thể sống ở môi trường nào sau đây.
A. Môi trường có nhiệt độ dao động từ 12 đến 30°C, độ ẩm từ 60 đến 100%.
B. Môi trường có nhiệt độ dao động từ 10 đến 35oC, độ ẩm từ 85% đến 95%.
C. Môi trường có nhiệt độ dao động từ 10 đến 30°C, độ ẩm từ 70% đến 95%.
D. Môi trường có nhiệt độ dao động từ 5 đến 45oC, độ ẩm từ 65 đến 95%.
Câu 22: Tập hợp nào dưới đây là quần thể sinh vâ!t?
A. Cá ở Hồ PhuD Ninh. B. Mô!t đaDm ruô!ng.
C. Đàn chim hải âu ở quần đảo Trường Sa. D. Mô!t khu rưMng nhiê!t đơDi.
Câu 23: Những ví dụ nào sau đây thuộc biến động theo chu kì?
(1) Đợt hạn hán vào tháng 3 năm 2016 khiến hàng trăm hecta cà phê ở các tỉnh Tây Nguyên chết
hàng loạt.
(2) Cứ sau 5 năm, số lượng cá thể châu chấu trên cánh đồng lại giảm xuống do nhiệt độ tăng lên.
(3) Số lượng cá thể tảo ở Hồ Gươm tăng lên vào ban ngày và giảm xuống vào ban đêm.
(4) Số lượng cá thể muỗi tăng lên vào mùa xuân nhưng lại giảm xuống vào mùa đông.
(5) Đợt rét đậm, rét hại tại miền Bắc những ngày trước tết Bính Thân đã làm chết hàng loạt trâu, bò
của bà con nông dân thuộc các tỉnh miền núi phía Bắc.
A. (2), (3) và (4). B. (1), (2) và (3).
C. (1) và (5). D. (2) và (5).
Câu 24: MôDi quan hệ nào sau đây là quan hệ hô] trơ!?
A. Khi thiếu thức ăn, nơi ở, các động vật dọa nạt nhau làm cho cá thể yếu hơn bị đào thải hay phải
tách đàn.
B. Các cây thông nhựa liền rễ sẽ hút được nhiều dinh dưỡng khoáng hơn so với các cây thông
nhựa sống riêng lẽ.
C. Cây tầm gửi sống trên thân các cây gỗ lớn trong rừng.
D. Cây tranh nhau giành ánh sáng, dinh dưỡng, có thể làm cây yếu bị đào thải, dẫn đến sự tỉa thưa
làm mật độ giảm.
Câu 25: Theo thuyết tiến hóa hiện đại về quá trình hình thành loài mới, các phát biểu nào sau đây
đúng?
(1) Hình thành loài mới có thể xảy ra trong cùng khu vực địa lí hoặc khác khu vực địa lí.
(2) Hình thành loài mới là quá trình cải biến thành phần kiểu gen của quần thể theo hướng thích nghi.
Trang 3/4 - Mã đề 124

(3) Quá trình hình thành quần thể thích nghi chắc chắn dẫn đến hình thành loài mới.
(4) Lai xa keMm đa bô!i hoDa nhanh choDng ta!o loaMi mơDi ơ] thư!c vâ!t nhưng iDt xa]y ra ơ] caDc loaMi đô!ng vâ!t.
A. (1); (2) và (3). B. (1); (2) và (4).
C. (1) và (2). D. (3) và (4).
Câu 26: Kích thước của quần thể thay đổi phụ thuộc vào yếu tố nào sau đây?
(1) MưDc đô! sức sinh sản. (2) Mức độ tử vong.
(3) Lươ!ng thưDc ăn trong môi trươMng. (4) Cá thể nhập cư và xuất cư.
(5) Tỉ lệ đực - cái.
A. (1), (2) và (4). B. (3) và (5). C. (2) và (3). D. (2), (3) và (4).
Câu 27: Trong các mối quan hệ sinh thái sau đây, có bao nhiêu mối quan hệ gây hại cho các loài
tham gia?
(1) Một số loài tảo nước ngọt nở hoa cùng sống trong một môi trường với các loài cá tôm.
(2) Cây tầm gửi sống trên thân các cây gỗ lớn trong rừng.
(3) Loài cá ép sống bám trên các loài cá lớn.
(4) Con ve bét hút máu trâu, bò.
(5) Ong bươDm vaM hoa bâMu biD.
A. 4. B. 1. C. 2. D. 3.
Câu 28: Khi nói về mối quan hệ giữa các loài trong quần xã sinh vật, phát biểu nào sau đây không
đúng?
(1) Mối quan hệ vật chủ - vật kí sinh là quan hê! đôDi khaDng.
(2) Những loài cùng sử dụng một nguồn thức ăn không thể chung sống trong cùng một sinh cảnh.
(3) Quan hệ hợp tác là quan hệ chặt chẽ và nhất thiết phải có đối với mỗi loài.
(4) Quan hệ cạnh tranh giữa các loài trong quần xã được xem là một trong những động lực của quá
trình tiến hóa.
(5) Các loài tranh giành nguồn sống như thức ăn, chỗ ở ...trong mối quan hệ này, các loài đều bị ảnh
hưởng bất lợi.
A. 1. B. 2. C. 4. D. 3.
Câu 29: Theo học thuyết tiến hoá hiện đại, coD bao nhiêu phát biểu sau đúng khi nói về caDc nhân tôD
tiêDn hoDa?
(1) CLTN thực chất là quá trình phân hoá khả năng sống sót và khả năng sinh sản của các cá thể với
các kiểu gen khác nhau trong quần thể.
(2) CLTN tác động trực tiếp lên kiểu gen, từ đó làm thay đổi tần số alen của quần thể.
(3) Ở quần thể lưỡng bội chọn lọc chống lại alen trô!i làm thay đổi tần số alen nhanh hơn so với chọn
lọc chống lại alen lă!n
(4) Đột biến cung cấp nguồn biến bị sơ cấp, qua giao phối tạo nên nguồn biến dị thứ cấp cho quá
trình tiến hoá.
(5) Di -nhâ!p gen làm thay đổi tần số các alen và thành phần kiểu gen của quần thể.
A. 1. B. 2. C. 4. D. 3.
Câu 30:
Khi nghiên cứu sự thay đổi thành phần
kiểu gen của quần thể qua bốn thế hệ
liên tiếp thu được kết quả ơ] ba]ng bên:
Quần thể trên đạng chịu sự chi phối của
nhân tố tiến hóa naMo?
A. Chọn lọc tự nhiên chống lại alen lặn. B. Chọn lọc tự nhiên chống lại alen trô!i.
C. Chọn lọc tự nhiên và đột biến. D. Chọn lọc tự nhiên và giao phối ngẫu nhiên.
------ HẾT ------
Trang 4/4 - Mã đề 124
Thế hệ Kiểu gen AA Kiểu gen Aa Kiểu gen aa
F1 0,49 0,42 0,09
F2 0,36 0,48 0,16
F3 0,25 0,5 0,25
F4 0,16 0,48 0,36

