logo
Mạng xã hội chia sẻ tài liệu
Upload
Nâng cấp VIP
Trang chủ » Tài Liệu Phổ Thông » Đề thi - kiểm tra
10 trang
163 lượt xem
4
0

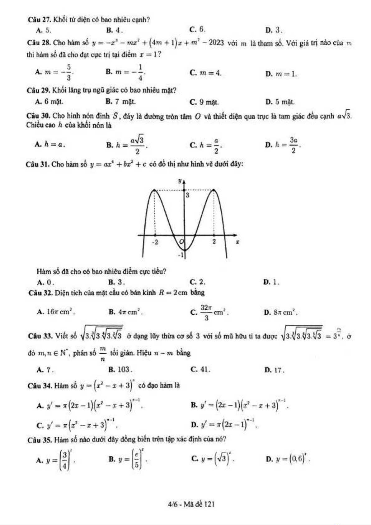
Đề thi KSCL môn Toán lớp 12 năm 2022-2023 có đáp án - Sở GD&ĐT Bắc Ninh (Mã đề 121)

Với mong muốn giúp các bạn đạt kết quả cao trong kì thi sắp tới, TaiLieu.VN đã sưu tầm và chọn lọc gửi đến các bạn ‘Đề thi KSCL môn Toán lớp 12 năm 2022-2023 có đáp án - Sở GD&ĐT Bắc Ninh (Mã đề 121)’ hi vọng đây sẽ là tư liệu ôn tập hiệu quả giúp các em đạt kết quả cao trong kì thi. Mời các bạn cùng tham khảo!

phuong3659

Share
/
10

Tài liêu mới

Đề Thi Giữa Học Kì II Năm 2024-2025 - Toán 9 - Trường THCS Nguyễn Trãi (Có ma trận, đáp án chi tiết)

Đề Thi Giữa Học Kì II Năm 2024-2025 - Toán 9 - Trường THCS Nguyễn Trãi (Có ma trận, đáp án chi tiết)

11 trang
Bộ Đề Kiểm Tra Tham Khảo Giữa Học Kì II - Tiếng Anh 9 - Global Success (Có kèm đáp án)

Bộ Đề Kiểm Tra Tham Khảo Giữa Học Kì II - Tiếng Anh 9 - Global Success (Có kèm đáp án)

W 21 trang
Đề Thi Giữa Học Kì II Năm 2024-2025 - Toán 9 - Trường THCS Chu Văn An

Đề Thi Giữa Học Kì II Năm 2024-2025 - Toán 9 - Trường THCS Chu Văn An

4 trang
Đề Thi Giữa Học Kì II Năm 2024-2025 - Toán 9 - Trường THCS Tư Mại (Có kèm đáp án chi tiết)

Đề Thi Giữa Học Kì II Năm 2024-2025 - Toán 9 - Trường THCS Tư Mại (Có kèm đáp án chi tiết)

6 trang
Đề Thi Giữa Học Kì II Năm 2024-2025 - Toán 9 - Trường THCS Chương Dương (Có kèm đáp án chi tiết)

Đề Thi Giữa Học Kì II Năm 2024-2025 - Toán 9 - Trường THCS Chương Dương (Có kèm đáp án chi tiết)

5 trang
Đề kiểm tra Tiếng Anh 3 cuối kì II - I-Learn Smart Start

Đề Kiểm Tra Tiếng Anh 3 Cuối Kì II - I-Learn Smart Start

W 34 trang
Đề kiểm tra giữa học kì 2 môn Tiếng Anh 8 Learn Smart World (kèm lời giải chi tiết) - Tham khảo

Đề Kiểm Tra Tham Khảo Giữa Học Kì II - Tiếng Anh 8 - Learn Smart World (Kèm lời giải chi tiết)

W 17 trang
Đề kiểm tra giữa học kì 2 môn Tiếng Anh 8 Friends Plus (có lời giải chi tiết) - Tham khảo

Đề Kiểm Tra Tham Khảo Giữa Học Kì II - Tiếng Anh 8 - Friends Plus (Kèm lời giải chi tiết)

W 19 trang
Đề Kiểm Tra Giữa Học Kì II Tiếng Anh 8 Global Success: Tham Khảo (Kèm Lời Giải Chi Tiết)

Đề Kiểm Tra Tham Khảo Giữa Học Kì II - Tiếng Anh 8 - Global Success (Kèm lời giải chi tiết)

W 5 trang
Đề Thi Tiếng Anh 5 Học Kì 1 I-Learn Smart Start: Tuyển Chọn, Mới Nhất

Đề Thi Tiếng Anh 5 Học Kì 1: I-Learn Smart Start

W 19 trang
Đề thi Toán lớp 9 năm 2024-2025 có đáp án: Khảo sát chuẩn từ Phòng GD&ĐT Phúc Thọ

Đề thi khảo sát môn Toán lớp 9 năm 2024-2025 có đáp án - Phòng GD&ĐT Phúc Thọ

9 trang
Đề thi Tiếng Anh có đáp án [kèm lời giải chi tiết]

Đề thi Tiếng Anh có đáp án

17 trang
Tuyển tập 22 Đề kiểm tra học kì 1 môn Toán lớp 1 (có đáp án)

22 Đề kiểm tra học kì I - Toán lớp 1

48 trang
Tổng hợp 23 đề kiểm tra học kì 1 môn Tiếng Việt lớp 1

23 Đề kiểm tra học kì I - Tiếng Việt lớp 1

55 trang
Đề kiểm tra Tiếng Anh THPT: Tổng hợp đề thi hay, mới nhất

Đề kiểm tra Tiếng Anh THPT

W 8 trang

AI tóm tắt

- Giúp bạn nắm bắt nội dung tài liệu nhanh chóng!

Giới thiệu tài liệu

Đối tượng sử dụng

Từ khoá chính

Nội dung tóm tắt

Giới thiệu

Về chúng tôi

Việc làm

Quảng cáo

Liên hệ

Chính sách

Thoả thuận sử dụng

Chính sách bảo mật

Chính sách hoàn tiền

DMCA

Hỗ trợ

Hướng dẫn sử dụng

Đăng ký tài khoản VIP

Zalo/Tel:

093 303 0098

Email:

support@tailieu.vn

Phương thức thanh toán

Theo dõi chúng tôi

Facebook

Youtube

TikTok

chứng nhận
Chịu trách nhiệm nội dung: Nguyễn Công Hà
Doanh nghiệp quản lý: Công ty TNHH Tài Liệu trực tuyến Vi Na - GCN ĐKDN: 0307893603
Địa chỉ: 54A Nơ Trang Long, P. Bình Thạnh, TP.HCM - Điện thoại: 0283 5102 888 - Email: info@tailieu.vn
Giấy phép Mạng Xã Hội số: 38/GP-BVHTTDL cấp ngày 09/3/2026