
1
Tröôøng ñieän töø
ªChöông 1 : Khaùi nieäm & phtrình cô baûn
cuûa TÑT
ªChöông 2 : Tröôøng ñieän tónh
ªChöông 3 : TÑT döøng
ªChöông 4 : TÑT bieán thieân
ªChöông 5 : Böùc xaï ñieän töø

2
Chöông 5 : Böùc xaï ñieän töø
1. Khaùi nieäm
2. Nguyeân toá anten thaúng
3. Nguyeân toá anten voøng
4. Tính ñònh höôùng
5. Nguyeân lyù töông hoã

3
1. Khaùi nieäm
ªBöùc xaï ñieän töø
° TÑT bieán thieân lan truyeàn döôùi daïng soùng ñieän
töø
° Coâng suaát ñieän töø phuï thuoäc : ñoä lôùn & toác ñoä
bieán thieân cuûa nguoàn, caáu truùc nguoàn vaø moâi
tröôøng
° ÖÙng duïng roäng raõi trong kyõ thuaät
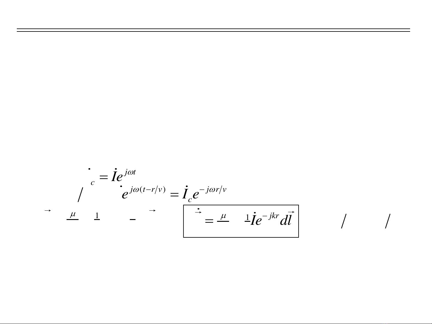
ªTheá vectô cuûa doøng ñieän daây
ªMieàn khaûo saùt
° mieàn gaàn (mieàn caûm öùng): r << l
° mieàn xa (mieàn böùc xaï): r >> l
() jt
c
I t I Ie
()
()
j t r v j r v
c
I t r v Ie I e
1
42
jkr
r
L
A Ie dl k v
1
4()
r
rv
L
A I t dl

4
Chöông 5 : Böùc xaï ñieän töø
1. Khaùi nieäm
2. Nguyeân toá anten thaúng
ª Phaân boá cuûa tröôøng ñieän töø
ª Mieàn gaàn
ª Mieàn xa

5
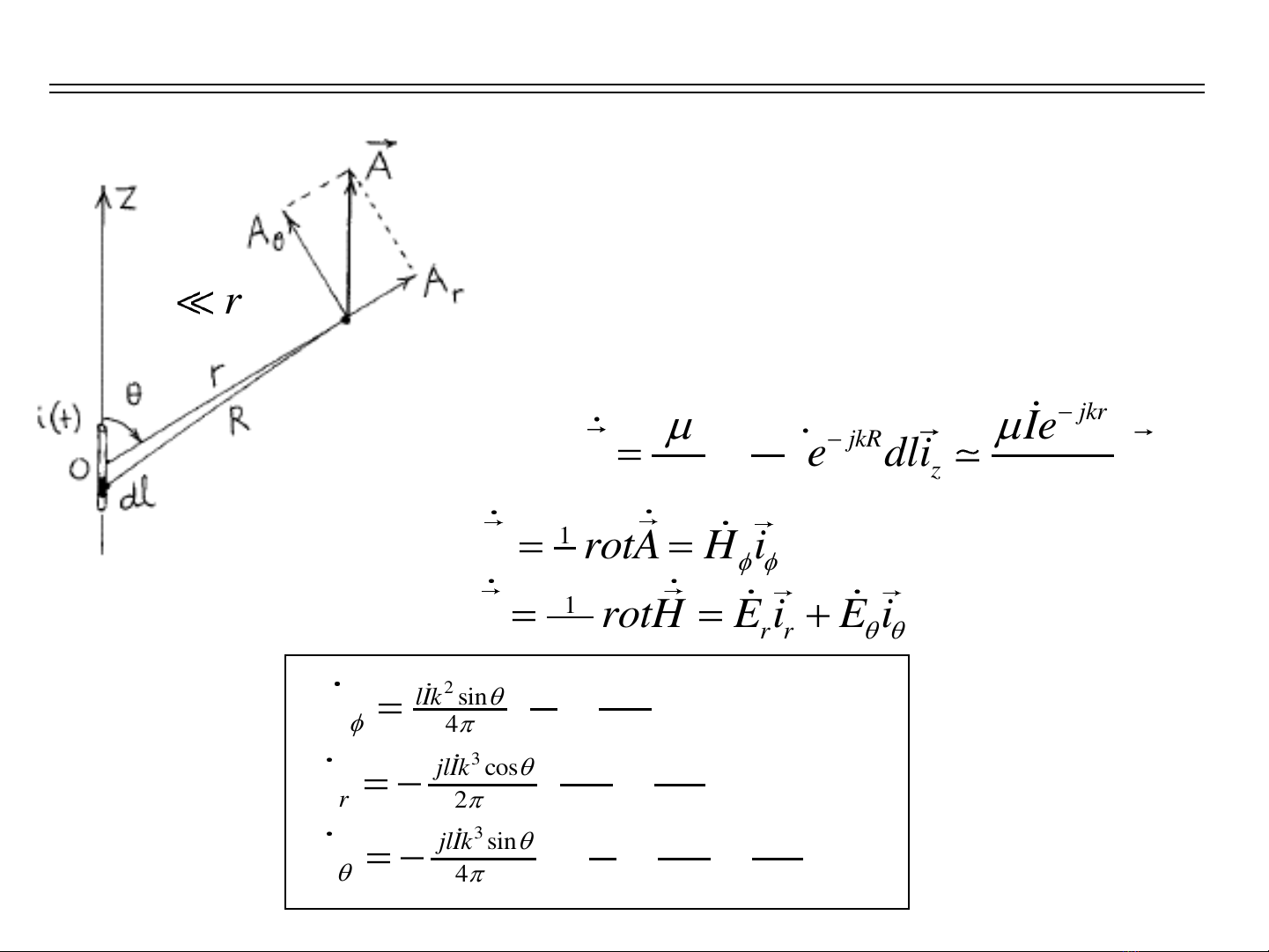
ª Phaân boá cuûa tröôøng ñieän töø
° Theá vectô :
1
44
jkr
jkR
zz
L
Ie
A Ie dli li
Rr
1
H rotA H i
Nguyeân toá anten thaúng laø daây daãn
thaúng, maõnh, chieàu daøi l << l vaø mang
doøng ñieàu hoøa
( ) cos( )
m
i t I t
nhö nhau treân toaøn boä anten
° TÑT :
1
rr
j
E rotH E i E i
2
22
sin 1
4()
jjkr
lIk
kr kr
He
3
2 2 3 3
cos 1
2()
jlIk j jkr
rk r k r
Ee
3
2 2 3 3
sin 11
4()
jlIk j jkr
kr k r k r
Ee
lr
(
I
, g = 0)