
Chöông trình Giaûng daïy Kinh teá Fulbright Marketing Ñòa phöông Baøi toùan thoaùt ngheøo ...
Nieân khoùa 2004-05 Baøi ñoïc
Phan Chaùnh Döôõng 1 5/4/05
B
BA
AØØI
I
T
TO
OA
AÙÙN
N
T
TH
HO
OA
AÙÙT
T
N
NG
GH
HE
EØØO
O
C
CU
UÛÛA
A
N
NO
OÂÂN
NG
G
D
DA
AÂÂN
N
Ñ
ÑÖ
ÖÔ
ÔÏÏC
C
G
GI
IA
AÛÛI
I
Q
QU
UY
YE
EÁÁT
T
T
TÖ
ÖØØ
Ñ
ÑA
AÂÂU
U
Kinh teá noâng nghieäp ñaõ baét ñaàu töø maáy ngaøn naêm tröôùc ñaây, hình aûnh ngöôøi noâng daân
beân caïnh con traâu caùi caøy ôû nhieàu thôøi ñaïi khaùc nhau cuõng khoâng coù gì thay ñoåi, do ñoù
ñôøi soáng ngöôøi noâng daân haøng ngaøn naêm nay cuõng theá.
Xem ra ngöôøi noâng daân khoù coù theå thay ñoåi cuoäc soáng cuûa mình baèng nhöõng gì mình
ñang coù, cuõng nhö khoâng theå naém ñaàu ta ñeå keùo ra khoûi choã ñöùng cuûa ta, maø phaûi coù
moät löïc beân ngoaøi taùc ñoäng vaøo, ñoù laø löïc cuûa toaøn xaõ hoäi, nghóa laø xaõ hoäi phaûi coù traùch
nhieäm giaûi quyeát baøi toaùn thoaùt ngheøo cuûa noâng daân. Ñieàu naøy cuõng laø ñaïo lyù, vì trong
xaõ hoäi coù ai khoâng aên côm, coù ai khoâng caàân löông thöïc, thöïc phaåm ñaâu?
Ñeå laøm roõ thöïc traïng neâu treân, chuùng ta haõy xem söï phaân boå giaù trò cuûa noâng saûn töø
khaâu nguyeân lieäu tôùi khaâu tieâu duøng cuoái cuøng seõ hieåu ra caùi ngheøo cuûa ngöôøi daân. Ñeå
laøm roõ, ta laáy ñieån hình caây caø pheâ ñeå xem ngöôøi noâng daân höôûng ñöôïc gì treân saûn
phaåm ñoù?
Qua ñoaïn truyeän treân ta thaáy, ngöôøi noâng daân chæ ñöôïc höôûng 2% treân giaù trò caø pheâ
baùn ra, nhöng neáu chæ caàn caø pheâ haït rôùt giaù 50% thì taát caû ngöôøi troàng caø pheâ bò phaù
saûn ngay. Trong khi ñoù, giaù baùn ra cuûa ly caø pheâ chæ giaûm 1%, nghóa laø chaúng aûnh
CAÂU CHUYEÄN CAØ PHEÂ
(Tham khaûo thoâng tin nguoàn töø saùch cuûa Chöông trình Fulbright)
∗
N
öôùc ta coù ñieàu kieän khí haäu vaø thoå nhöôõng thích hôïp cho vieäc troàng caây caø pheâ, lôïi theá
caïnh tranh cuûa maët haøng naøy raát lôùn (saûn löôïng caø pheâ cuûa nöôùc ta ñöùng haïng nhì theá
giôùi).
∗ ÔÛ moät nöôùc giaøu moät ly caø pheâ giaù trung bình laø 1,7 USD
∗ Moät ly caø pheâ caàn 10g caø pheâ boät, töông ñöông 22,5g caø pheâ haït
∗ Giaù caø pheâ thoâ trung bình: 1.500 USD/taán hay 1,5 USD/kg
∗ Giaù caø pheâ haït trong moät ly caø pheâ chæ laø:
1,5 USD x 0,0225 kg = 0,034 USD
∗ Nhö vaäy, trong ly caø pheâ phaàn giaù trò thaät söï chæ chieám 2% trong giaù baùn
∗ Khi giaù caø pheâ rôùt giaù chæ coøn 300 USD/taán (giaûm 5 laàn) töông ñöông giaù gaïo thì giaù ly
caø pheâ chæ giaûm 1,6% (khoâng ñaùng keå)
∗ Ngay khi ngöôøi ta cho khoâng caø pheâ haït thì giaù caø pheâ chæ giaûm 2%

Chöông trình Giaûng daïy Kinh teá Fulbright Marketing Ñòa phöông Baøi toùan thoaùt ngheøo ...
Nieân khoùa 2004-05 Baøi ñoïc
Phan Chaùnh Döôõng 2 5/4/05
höôûng gì. Nhö vaäy, ñaïi boä phaän giaù thaønh cuûa ly caø pheâ ñeàu naèm trong nhöõng coâng
ñoaïn trung gian, khoâng thuoäc coâng ñoaïn saûn xuaát cuûa ngöôøi noâng daân, ñieàu naøy chöùng
toû raèng baøi toaùn thu nhaäp cuûa ngöôøi noâng daân, phaûi ñöôïc giaûi quyeát töø nhöõng coâng ñoaïn
trung gian ñoù, ñaáy chính laø coâng ñoaïn cheá bieán, thöông maïi, dòch vuï, thò tröôøng tieâu
thuï, cuoái cuøng laø giaù vaø chaát löôïng ly caø pheâ maø khaùch haøng ñaõ chaáp nhaän.
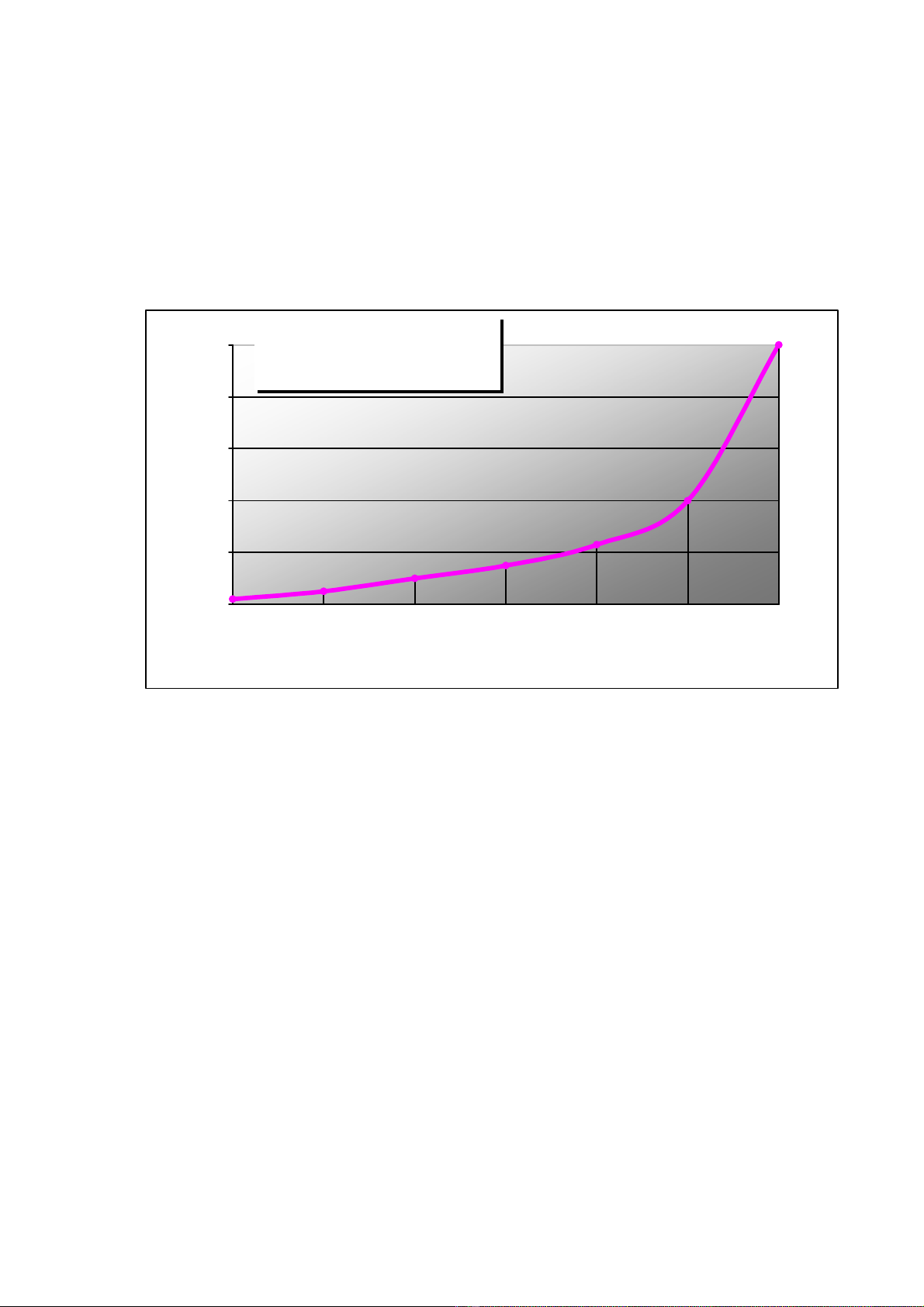
Sơ đồ gợi ý về giá trị gia tăng
của sản phẩm nông sản
qua các công đoạn
0%
20%
40%
60%
80%
100%
Sản xuấtChế biếnVận chuyển
Bảo quản
Bao bì Thương
hiệu
Dịch vụ
Thương mại
Thị trường tiêu
thụ
Các công đoạn
Giá trị gia tăng
Vôùi sô ñoà gôïi yù treân, ta thaáy thò tröôøng laø nôi taïo ra giaù trò cheânh leäch lôùn nhaát. Vì cuõng
laø moät ly caø pheâ nhö nhau, neáu baùn ôû vóa heø giaù keùm hôn baùn trong nhaø haøng, baùn ôû thò
traán giaù keùm hôn baùn taïi ñoâ thò lôùn, baùn taïi thò tröôøng khaùch haøng coù thu nhaäp cao seõ
ñöôïc giaù hôn thò tröôøng nôi khaùch haøng coù thu nhaäp thaáp.
Neáu caùc coâng ñoaïn treân ñieàu ñöôïc tieán haønh taïi ñaát nöôùc Vieät Nam, thì moïi lôïi ích coù
ñöôïc baét nguoàn töø caây caø pheâ seõ ôû laïi neàn kinh teá Vieät Nam, noù khoâng nhöõng taïo ñöôïc
nhieàu coâng aên vieäc laøm, maø coøn thuùc ñaåy caùc ngaønh ngheà coù lieân quan cuøng phaùt trieån.
Nhöng neáu ta baùn caø pheâ thoâ xuaát khaåu, thì khoâng nhöõng chuùng ta chæ ñöôïc 2% giaù trò,
maø haøng loaït caùc ngaønh ngheà dòch vuï lieân quan ñeàu bò thieät haïi, nguoàn thu cuûa ngaønh
kinh teá seõ maát maùt voâ cuøng lôùn. Nhö vaäy, söï ngheøo khoù cuûa ngöôøi noâng daân ñöông
nhieân laø taát yeáu, laø khoâng coù loái thoaùt.
Töø nhöõng phaân tích treân, chuùng ta coù theå ruùt ra nhöõng nhaän ñònh raèng:
1. Khoâng phaûi chæ döøng laïi ôû choã saûn phaåm noâng saûn cuûa ngöôøi noâng daân saûn xuaát ra
phaûi ñöôïc tieâu thuï, phaûi ñöôïc xuaát khaåu; vì neáu chæ tôùi coâng ñoaïn naøy, neàn kinh teá
ta vaø ngöôøi noâng daân chæ coù ñöôïc treân döôùi 2%, ngöôøi noâng daân chæ thoaùt ñoùi khoâng
thoaùt ngheøo ñöôïc.

Chöông trình Giaûng daïy Kinh teá Fulbright Marketing Ñòa phöông Baøi toùan thoaùt ngheøo ...
Nieân khoùa 2004-05 Baøi ñoïc
Phan Chaùnh Döôõng 3 5/4/05
2. Phaûi laøm moïi caùch giöõ laáy coâng ñoaïn cheá bieán vaø moät phaàn caùc coâng ñoaïn coøn laïi
taïi Vieät Nam. Nhö vaäy, khoâng nhöõng coù theå chuû ñoäng ñaûm baûo saûn phaåm coù ñaàu ra,
oån ñònh cho ngöôøi noâng daân, maø coøn coù theå thuùc ñaåy caùc ngaønh ngheà khaùc phaùt
trieån, taïo ra nhieàu coâng aên vieäc laøm môùi, goùp phaàn chuyeån dòch lao ñoäng, chuyeån
dòch cô caáu kinh teá theo höôùng coâng nghieäp hoùa.
3. Phaûi taïo ñieàu kieän ñöa thò tröôøng tieâu thuï tôùi khaùch haøng coù thu nhaäp cao. Vôùi yeâu
caàu naøy, vai troø thu huùt khaùch du lòch nöôùc ngoaøi ñeán Vieät Nam mang tính quyeát
ñònh. Neáu coâng ñoaïn naøy thöïc hieän toát khoâng nhöõng saûn phaåm cuûa ta ñöôïc ñöa ñeán
tay ngöôøi tieâu thuï cuoái cuøng ngay taïi Vieät Nam vôùi giaù toát nhaát, maø lôïi ích cuûa toaøn
boä caùc coâng ñoaïn ñeàu phaân boá taïi Vieät Nam. Nhö vaäy, Nhaø nöôùc coù nguoàn thu lôùn
nhaát, töø ñoù coù khaû naêng ñaàu tö trôû laïi cho ngöôøi noâng daân ôû caùc lónh vöïc khaùc nhau,
ñeå ngöôøi noâng daân coù theå töøng böôùc giaøu leân.
Trong xu theá neàn kinh teá toaøn caàu hoùa, buoäc moïi quoác gia ñeàu phaûi môû cöûa hoäi nhaäp
vôùi theá giôùi beân ngoaøi, lyù thuyeát kinh teá veà lôïi theá so saùnh vôùi xu theá taøi nguyeân thieân
nhieân, lao ñoäng reû, v.v… xem ra khoâng taïo ñöôïc söï phaùt trieån beàn vöõng cho moät quoác
gia. Thaäm chí noù coøn laøm cho quoác gia ñoù yû laïi vaøo ñoù maø khoâng coù söï saùng taïo vöôn
leân, naém baét cô hoäi phaùt trieån cuûa thôøi theá ñöa ñeán, ñeå nhanh choùng ñöa neàn kinh teá
böôùc vaøo lónh vöïc thöông maïi dòch vuï. Do ñoù, nhöõng nöôùc coù nhieàu lôïi theá veà taøi
nguyeân thieân nhieân, lao ñoäng reû thöôøng keùm phaùt trieån hôn nhöõng nöôùc, nhöõng ñòa
phöông ít taøi nguyeân nhö Nhaät, Hoàng Koâng, Singapore…; baøi hoïc naøy ta ñaõ thaáy roõ.
Trong thôøi ñaïi kinh teá toaøn caàu hoùa, vieäc so saùnh lôïi theá veà giaù khoâng phaûi so saùnh
giöõa nöôùc saûn xuaát vaø nöôùc coù thò tröôøng tieâu thuï, maø laø söï so saùnh giöõa nhöõng nöôùc
saûn xuaát cuøng saûn phaåm vôùi nhau, cuøng giaønh nhau thò tröôøng tieâu thuï. Tuy raèng caø pheâ
haït nguyeân lieäu chæ chieám 2% giaù trò ly caø pheâ baùn taïi thò tröôøng ngoaøi (giaøu coù), nhöng
khoâng vì theá hoï saün saøng mua caø pheâ nguyeân lieäu vôùi giaù cao hôn, maø ngöôïc laïi, hoï
luoân tìm nguoàn cung caáp khaùc vôùi giaù reû hôn neáu coù. Do ñoù, caùc nöôùc ngheøo baùn
nguyeân lieäu laïi caïnh tranh haï giaù roài laïi tieáp tuïc ngheøo vaø ngheøo hôn! Ñieàu naøy noùi leân
lyù do taïi sao hieän nay coù phong traøo choáng xu theá kinh teá toaøn caàu hoùa. Nhöng ngöôïc
laïi, neáu quoác gia naøo khoâng hoäi nhaäp vôùi theá giôùi thì laïi khoâng coù cô hoäi phaùt trieån kinh
teá ñaát nöôùc. Do vaäy, chuùng ta vöøa phaûi hoäi nhaäp vôùi kinh teá theá giôùi, vöøa phaûi giaûi
quyeát baøi toaùn thoaùt ngheøo cuûa noâng daân.
Moät vaán ñeà quan troïng nöõa caàn xaùc ñònh laø: ai laø ngöôøi phaûi giaûi quyeát baøi toaùn thoaùt
ngheøo cho noâng daân, ai laø ngöôøi ñaûm baûo ñaàu ra cuûa noâng daân? Caâu traû lôøi ñöông
nhieân laø: vôùi quyeàn löïc, Nhaø nöôùc laø ngöôøi coù thaåm quyeàn ñöa ra keá hoaïch phaùt trieån
kinh teá cuûa caû nöôùc; vôùi coâng cuï luaät phaùp trong tay, Nhaø nöôùc seõ coù caùch giaûi quyeát
baøi toaùn toång theå naøy baèng moät keá hoaïch ñoàng boä, nhòp nhaøng, ñaûm baûo cho cuoäc soáng
cuûa ngöôøi noâng daân chuùng ta.

