
TRƯỜNG THCS NGUYỄN VĂN TRỖI
Họ và tên:....................................................
Lớp: ……………………………………....
ĐỀ KIỂM TRA CUỐI KÌ II - NH: 2022-2023
MÔN: LỊCH SỬ VÀ ĐỊA LÍ 6
Thời gian: 60 phút (Không kể thời gian giao
đề)
Điểm Nhận xét của giáo viên
PHÂN MÔN LỊCH SỬ
I. TRẮC NGHIỆM: (2.0 điểm)
Khoanh tròn chỉ một chữ cái trước câu trả lời đúng nhất.
Câu 1. Hai Bà Trưng dựng cờ khởi nghĩa đầu tiên ở đâu?
A. Hát Môn. B. Mê Linh. C. Cổ Loa. D. Luy Lâu.
Câu 2. Ý nghĩa của cuộc khởi nghĩa Bà Triệu năm 248 là
A. mở ra thời kì độc lập, tự chủ lâu dài trong lịch sử dân tộc Việt Nam.
B. mở ra thời kì đấu tranh giành độc lập, tự chủ của người Việt.
C. đã làm rung chuyển chính quyền đô hộ của nhà Ngô.
D. đã giành và giữ được chính quyền độc lập trong khoảng gần 10 năm.
Câu 3. Việc làm nào sau đây không phải là chính sách cải cách của Khúc Hạo?
A. Định lại mức thuế cho công bằng. B. Lập sổ hộ khẩu để quản lí cho thống nhất.
C. Duy trì chính sách bóc lột của nhà Đường. D. Tha bỏ lực dịch cho dân bớt khổ.
Câu 4. Tôn giáo nào được du nhập vào Chăm-pa?
A. Phật giáo, Đạo giáo. B. Phật giáo, Ấn Độ giáo.
C. Thiên chúa giáo. D. Nho giáo.
Câu 5. Đâu là thành tựu văn hóa của cư dân Chăm-pa còn tồn tại đến ngày nay và được
UNESCO công nhận là Di sản văn hóa thế giới?
A. Phật viện Đồng Dương. B. Các tháp Chăm.
C. Khu di tích thánh địa Mỹ Sơn. D. Phố cổ Hội An.
Câu 6. Cư dân Chăm-pa sáng tạo ra chữ Chăm cổ trên cơ sở của hệ chữ viết nào dưới
đây?
A. Chữ Phạn của Ấn Độ. B. Chữ La-tinh của La Mã.
C. Chữ Hán của Trung Quốc. D. Chữ hình nêm của Lưỡng Hà.
Câu 7. Hoạt động kinh tế chính của cư dân Chăm-pa là
A. nông nghiệp trồng lúa nước. B. săn bắt, hái lượm.
C. công thương nghiệp. D. khai thác lâm thổ sản.
Câu 8. Xã hội Chăm-pa bao gồm các tầng lớp nào?
A. Quý tộc, dân tự do, nô tì. B. Tăng lữ, quý tộc, dân tự do, nô lệ.
C. Tư sản, nông dân, thợ thủ công. D. Vua, quý tộc, nông dân, nô lệ.
II. TỰ LUẬN: (3.0 điểm)
Câu 1. Nêu ý nghĩa lịch sử của chiến thắng Bạch Đằng năm 938. (1.5 điểm)

Câu 2. Nét độc đáo trong cách tổ chức đánh giặc của Ngô Quyền thể hiện ở những điểm
nào? (1.0 điểm)
Câu 3. Những thành tựu văn hoá nào của Chăm-pa còn ảnh hưởng cho đến hiện nay?
(0.5 điểm) (Học sinh khuyết tật không làm câu 3)
PHÂN MÔN ĐỊA LÍ
I. TRẮC NGHIỆM: (2.0 điểm)
Khoanh tròn vào ý em cho là đúng nhất
Câu 1. Nguồn gốc sinh ra thành phần khoáng trong đất là
A. khí hậu. B. địa hình. C. đá mẹ. D. sinh vật.
Câu 2. Việt Nam nằm ở đới khí hậu nào?
A. Cận nhiệt đới. B. Hàn đới. C. Cận nhiệt. D. Nhiệt đới.
Câu 3. Cảnh quan nào sau đây thuộc đới nóng?
A. Rừng lá kim. B. Rừng nhiệt đới. C. Rêu và địa y. D. Đài nguyên.
Câu 4. Đặc điểm nào sau đây không đúng với thành phần hữu cơ trong đất?
A. Thành phần quan trọng nhất của đất. B. Chiếm một tỉ lệ nhỏ trong lớp đất.
C. Đá mẹ là sinh ra thành phần hữu cơ. D. Thường ở tầng trên cùng của đất.
Câu 5. Nhóm đất chính ở khu vực Đông Nam Á là
A. đất pốtdôn hoặc đất đài nguyên. B. đất đỏ vàng cận nhiệt ẩm, đất đen.
C. đất đỏ hoặc đất nâu đỏ xavan. D. đất feralit hoặc đất đen nhiệt đới.
Câu 6. Cửa sông là nơi dòng sông chính
A. xuất phát chảy vào hồ. B. tiếp nhận các sông nhánh.
C. đổ ra biển hoặc các hồ. D. phân nước cho sông phụ.
Câu 7. Nước ngọt trên Trái Đất gồm có
A. nước biển, nước sông và băng. B. nước biển, nước ngầm và băng.
C. nước biển, sông, suối và băng. D. nước mặt, nước ngầm và băng.
Câu 8. Trên Trái Đất có những đới khí hậu nào sau đây?
A. Một đới nóng, hai đới ôn hoà, hai đới lạnh.
B. Hai đới nóng, một đới ôn hoà, hai đới lạnh.
C. Một đới nóng, hai đới ôn hoà, một đới lạnh.
D. Hai đới nóng, hai đới ôn hoà, một đới lạnh.
II. TỰ LUẬN: (3.0 điểm)
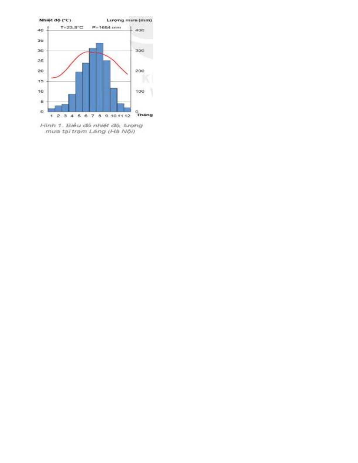
Câu 1. Dựa vào biểu đồ nhiệt độ và lượng mưa ở Hà Nội (0.5 điểm)
a. Xác định tháng có nhiệt độ cao nhất là tháng mấy, nhiệt độ bao nhiêu?
b. Xác định tháng có lượng mưa cao nhất là tháng mấy, lượng mưa bao nhiêu?

Câu 2. Trình bày được đặc điểm của rừng nhiệt đới. (1.5 điểm)
Câu 3. Có nhiều loài sinh vật ở lục địa và ở đại dương đang đứng trước nguy cơ
tuyệt chủng. Theo em nguyên nhân là do đâu? Hãy nêu một số biện pháp bảo vệ các loài
đó. (1.0 điểm)
(Học sinh khuyết tật không làm câu 1)
===HẾT===
Người duyệt đề Giáo viên ra đề
Phạm Thị Luận Âu Thị Dương Thuận


