
GII PHÁP GIM THIU Ô NHIM KHÔNG KHÍ
TP.H CHÍ MINH
Nhng năm gn ñây, trên các phương tin thông tin ñi chúng như báo chí, ñài phát
thanh, truyn hình, internet…luôn r lên nhng thông tin v ô nhim không khí din ra hng
ngày hng gi quanh ta. ðiu này ñt ra cho chúng ta không ít nhng băn khoăn, suy nghĩ
vn ñ trên là như th nào. Và nay, sau quá trình tìm hiu thông tin trên mng, tôi xin gi ñn
các bn vài nét v môi trưng không khí quanh ta, ngay nơi mình sinh sng.
A.Ô nhim không khí?
"Ô nhim không khí là s có mt mt cht l hoc mt s bin ñi quan trng trong thành
phn không khí, làm cho không khí không sch hoc gây ra s to mùi, có mùi khó chu,
gim tm nhìn xa (do bi)".
Có rt nhiu ngun gây ô nhim không khí. Có th chia ra thành ngun t nhiên và ngun
nhân to.
a. Ngun t nhiên:
- Núi la: Núi la phun ra nhng nham thch nóng và nhiu khói bi giàu sunfua, mêtan và
nhng loi khí khác. Không khí cha bi lan to ñi rt xa vì nó ñưc phun lên rt cao.
- Cháy rng: Các ñám cháy rng và ñng c bi các quá trình t nhiên xy ra do sm chp, c
sát gia thm thc vt khô như tre, c. Các ñám cháy này thưng lan truyn rng, phát thi
nhiu bi và khí.
- Bão bi gây nên do gió mnh và bão, mưa bào mòn ñt sa mc, ñt trng và gió thi tung
lên thành bi. Nưc bin bc hơi và cùng vi sóng bin tung bt mang theo bi mui lan
truyn vào không khí.
- Các quá trình phân hu, thi ra xác ñng, thc vt t nhiên cũng phát thi nhiu cht khí,
các phn ng hoá hc gia nhng khí t nhiên hình thành các khí sunfua, nitrit, các loi mui
v.v... Các loi bi, khí này ñu gây ô nhim không khí.
b. Ngun nhân to
- Ngun gây ô nhim nhân to rt ña dng, nhưng ch yu là do hot ñng công nghip, ñt
cháy nhiên liu hoá thch và hot ñng ca các phương tin giao thông. Ngun ô nhim công
nghip do hai quá trình sn xut gây ra:
- Quá trình ñt nhiên liu thi ra rt nhiu khí ñc ñi qua các ng khói ca các nhà máy vào
không khí.
- Do bc hơi, rò r , tht thoát trên dây chuyn sn xut sn ph!m và trên các ñưng ng d"n

ti. Ngun thi ca quá trình sn xut này cũng có th ñưc hút và thi ra ngoài b#ng h thng
thông gió.
Các ngành công nghip ch yu gây ô nhim không khí bao gm: nhit ñin; vt liu xây
dng; hoá cht và phân bón; dt và giy; luyn kim; thc ph!m; Các xí nghip cơ khí; Các
nhà máy thuc ngành công nghip nh$; Giao thông vn ti; bên cnh ñó phi k ñn sinh hot
ca con ngưi.
B.HIN TRNG CHT LƯNG MÔI TRƯNG KHÔNG KHÍ TI TP H CHÍ
MINH
1.Ô nhim bi - vn ñ ni cm ca cht lưng không khí ñô th
Môi trưng không khí xung quanh ca h%u ht các khu vc trong thành ph ñu b& ô nhim
bi, ñ'c bit là các nút giao thông, các khu vc có công trưng xây dng và nơi tp trung
hot ñng sn xut công nghip. Không khí xung quanh các ñưng giao thông b& ô nhim bi
ch yu là do t m't ñưng cun lên khi các phương tin cơ gii tham gia giao thông.
a.Bi PM
10
PM
10
trung bình năm ca các thành ph ln ca Vit Nam như TP.H Chí Minh, Hà Ni, ðà
N*ng, Hi Phòng nhìn chung ñu vưt ngư+ng trung bình năm ñưc khuyn ngh& ca WHO
(20 µg/m
3
).
So sánh vi tiêu chu!n Vit Nam, ti h%u ht các khu vc TP.H Chí Minh, nng ñ bi
PM
10
các năm gn ñây ñu vưt tiêu chun cho phép.
Nng ñ bi PM
10
trung bình năm còn b& nh hưng ca ñiu kin khí hu (ñ'c bit là ch ñ
mưa). Theo kt qu nghiên cu ti trm Láng t năm 1999 ñn 2004, Hà Ni, năm nào mưa
nhiu thì nng ñ bi PM
10
trung bình năm gim và ngưc li: lưng mưa hàng năm tăng 100
mm thì lưng PM
10
năm ñó gim 1,8 µg/m
3
(Phm Duy Hin, 2007).
40
50
60
70
80
90
100
110
Khu dân cư - Qun 2 ðưng giao thông - Bình Chánh
µg/m3
2005
2006
TCVN 5937-2005
Nng ñ PM
10
trung bình năm ti trm khu dân cư - Qun 2 và trm gn ñưng giao thông -
Bình Chánh, TP. H Chí Minh năm 2005 – 2006
b.Bi lơ lng tng s (TSP)
Tình trng ô nhim ñi vi bi lơ lng tng s (TSP) rt ñáng lo ngi, ñ'c bit là ô nhim dc
hai bên các ñưng giao thông chính

0,1
0,2
0,3
0,4
0,5
0,6
0,7
0,8
Ngã tư Kim
Liên-Gii
Phóng (HN)
Ph Lý
Quc Sư
(HN)
Ngã tư
Hàng Xanh
(Tp. HCM)
ðinh Tiên
Hoàng -
ðin Biên
Ph (Tp.
HCM)
Ngã tư An
Sương (TP.
HCM)
Ngã ba Hu
(ðà Nng)
ðưng
Nguyn
Văn Linh
(Hi Phòng)
Ch ðông
Ba (Hu)
Ph Lê
Thánh
Tông (H
Long)
ðưng
CMT8 (Thái
Nguyên)
Ngã tư Tam
Hip (Biên
Hòa)
mg/m
3
2002 2003
2004 2005
2006 TCVN 5937-2005 (TB-1h)
TCVN 5937-2005 (TB-24h)
Din bin nng ñ TSP trong không khí ven ñưng ti mt s trc giao thông ca
các ñô th t 2002-2006
2.Ô nhim mt s khí ñc hi
Các khí CO, SO
2
, NO
2
trong không khí ti các ñô th& nhìn chung v"n trong ngư+ng cho phép.
Tuy nhiên, ti mt s ñ&a ñim và trong mt s thi ñim, nng ñ các cht này có tăng lên.
NO
2
- mc ñ ô nhim tăng cao ven các trc giao thông trong ñô th
Do nh hưng ca các hot ñng giao thông, nng ñ NO
2
g%n các trc ñưng giao thông cao
hơn h,n các khu vc khác.
Hàng Xanh ðinh Tiên
Hoàng -
ðin Biên
Ph
Phú Lâm An Sương Gò Vp Nguyn Văn
Linh -
Huỳnh Tn
Phát
2002 2003 2004 2005 2006 2007
Din bin nng ñ NO
2
trong không khí ven ñưng giao thông
ca Tp. H Chí Minh t 2000-2007
a.SO
2
và CO - nng ñ vn nm trong gii hn cho phép
Nng ñ SO
2
và CO trung bình năm nhìn chung vn trong gii hn TCVN 5937:2005.

Do ph%n ln SO
2
phát sinh t các hot ñng sn xut công nghip nên s chênh lch nng ñ
SO
2
gia khu vc dân cư và trc ñưng giao thông không nhiu và có xu hưng gim ñi do
mt ph%n các cơ s sn xut ñưc di di ra khi các thành ph trong năm va qua.
b.Chì - có xu hưng tăng trong mt vài năm gn ñây
Thc hin Ch th& s 24/2000/CT-TTg ngày 23/11/2000 v trin khai s dng xăng không
pha chì (áp dng t 01/7/2001), ti nhiu ñô th& trong c nưc, nng ñ chì trong không khí
ñã gim ñi ñáng k và ñu dưi TCVN.
Tuy nhiên, theo s liu quan tr.c ca Chi cc BVMT Tp. H Chí Minh, m'c dù nng ñ chì
trung bình 24 gi v"n n#m trong gii hn cho phép (1,5 µg/m
3
), nhưng t năm 2005 ñn nay,
nng ñ này ñã tăng lên so vi nhng năm trưc. Năm 2006, nng ñ chì trung bình ñã tăng t
1,4 ñn 2,4 l%n so vi năm 2005
c.Benzen, toluen và xylen - có xu hưng tăng cao ven các trc giao thông
Nng ñ khí benzen, toluen và xylen ñu có xu hưng tăng cao ven các trc giao thông.
Kt qu quan tr.c ca Chi cc BVMT Tp. H Chí Minh trong nhng năm qua cho thy xu
hưng gia tăng nng ñ các cht như benzen và toluen trong không khí ti TP. H Chí Minh.
S gia tăng các cht ñc hi này là do lưng xe cơ gii tăng rt nhanh, trong khi ñó cht
lưng ca xăng li không ñưc ñm bo.
Theo báo cáo ca Chi cc BVMT Tp. H Chí Minh, năm 2006, nng ñ benzen tăng 1,1 ñn 2
l%n; nng ñ toluen tăng t 1 ñn 1,6 l%n so vi năm 2005. ðáng chú ý là ti các trc ñưng
chính thành ph như Ðin Biên Ph, Hùng Vương... nng ñ benzen có trong không khí ñã
vưt tiêu chu!n t 2,5 ñn 4,1 l%n
0
10
20
30
40
50
60
70
80
TT Sc khe
Lao ñng
S Khoa
hc & Công
ngh
TT Y t D
phòng
Bnh vin
Thng Nht
Trưng
PTTH Hng
Bàng
TT Giáo dc
Huyn Bình
Chánh
µg/m
3
2005
2006
TCVN 5938-2005
Nng ñ benzen trung bình năm trong không khí ven ñưng giao thông Tp. H Chí Minh năm
2005, 2006
3.Ô nhim ting n - tăng cao ven các trc giao thông
Cùng vi quá trình ñô th& hóa, ting n giao thông ngày mt tăng nhanh và mnh. Cnh các
trc ñưng giao thông trong Tp. H Chí Minh, mc n khá cao, dao ñng t 66-87 dBA và
thưng xuyên vưt ngư+ng 75 dBA (ngư+ng ti ña cho phép ñi vi khu d&ch v thương mi
theo TCVN 5949-1998), ñ'c bit vào thi ñim ban ngày. M'c dù ting n ño ñưc gia ñêm
thưng thp, nhưng tuyn ñưng có mt ñ xe ti ln, ting n ñêm khuya v"n mc cao

C.NGUYÊN NHÂN Ô NHIM MÔI TRƯNG KHÔNG KHÍ:
Hot ñng giao thông vn ti, các ngành công nghip, th công nghip và hot ñng
xây dng là nhng ngun chính gây ô nhim không khí các khu ñô th&. Theo ñánh giá ca
các chuyên gia, ô nhim không khí ñô th& do giao thông gây ra chim t l khong 70%.
Kt qu ưc tính ngun thi khí ô nhim TP. H Chí Minh năm 2004 cho thy, do các cơ
s sn xut công nghip và tiu th công nghip còn tn ti nhiu trong thành ph nên lưng
SO
2
do công nghip và tiu th công nghip thi ra chim ti trên 90%. Trong khi ñó, các khí
khác như NO
x
, CO và H
m
C
n
ch yu v"n do hot ñng giao thông ñưa li.
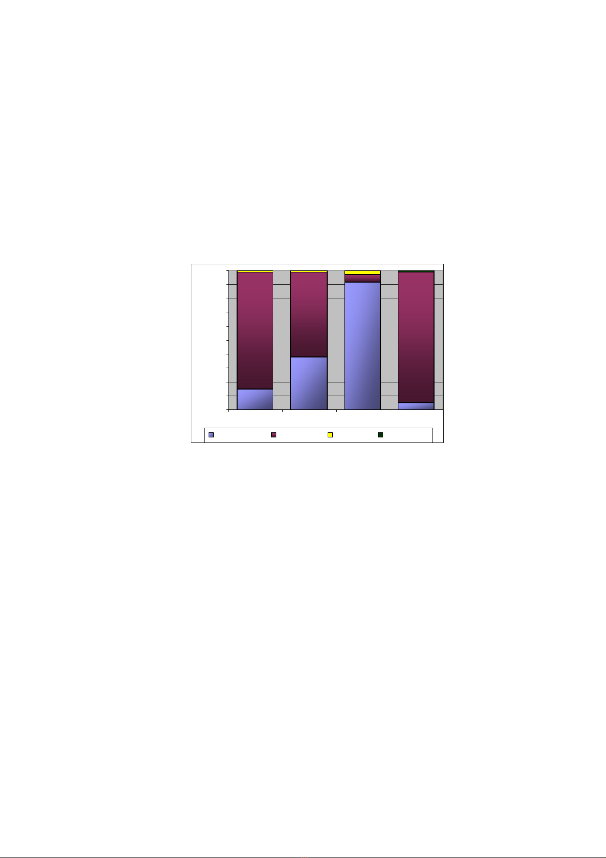
!"#$
T l phát th i cht gây ô nhim do các ngun th i chính ti Tp. H Chí Minh năm 2004
a.Phát thi khí ô nhim t hot ñng giao thông vn ti ñư ng b
Phát thi khí ô nhim t hot ñng GTVT là ngun gây ô nhim không khí ln nht ñô th&,
ch yu gây ra ô nhim các khí ñc hi như CO, NO
x
, hơi xăng d%u (H
m
C
n
, VOCs), bi chì,
benzen và bi PM
2,5
.
Phương tin giao thông chy xăng phát thi các khí ô nhim CO, H
m
C
n
, Pb nhiu hơn h,n so
vi phương tin giao thông chy d%u diesel. Ngưc li phương tin giao thông chy d%u
diesel li phát thi bi m&n PM
2,5
và khí SO
2
nhiu nht.
b.Phát thi khí ô nhim t hot ñng sn xut công nghi!p
Ti các ñô th!, các hot ñng s n xut công nghip vn là mt trong nhng ngun gây ô
nhim không khí, ñc bit ñi vi vic phát th i khí SO
2
.
Các khí thi ô nhim phát sinh t các nhà máy, xí nghip ch yu do quá trình ñt các nhiên
liu hoá thch (than và d%u khí các loi). ð'c bit khi cht lưng nhiên liu ca nưc ta chưa
tt so vi các nưc trong khu vc, c th là hàm lưng benzen trong xăng quá cao (5% so vi
1%), hàm lưng lưu huỳnh trong diesel cao (0,25% so vi 0,05%). Các hot ñng này ñã
thi ra mt lưng ln bi, khí SO
2
, CO và NO
2
gây tác ñng xu ñn cht lưng không khí
ñô th&.

