
Chương trình Giảng dạyKinhtếFulbright
Niên khóa 2005-2006
Phát triểnkinhtếở Đông và Đông Nam Á I
Châu Văn Thành/ NguyễnXuânThành 1
Bài giảng 3
Bài 03:
Nguồntăng trưởng ở Đông Á
Kinh tếPhát triển-I
HọckỳThu
2005-06
9Ch. 1, NHTG (1993) - Thành tích tăng trưởng KT Đông Á.
9Young (1995) – Tăng trưởng năng suấtĐông Á.
9TFPG - Câu chuyệnlớn.
9Ba tiếpcậngiảithíchđóng góp tăng trưởng
9Hai cách viếtPhương trình hạch toán tăng trưởng.
9Tóm tắt8 nước.
Sựthầnkỳvà các con hổChâu Á (1)
ThầnkỳChâu Á tạorabởicácnềnKT Đông Á sau 1950.
NhậtBản-tạothầnkỳsớmnhất. TiếptheolàHồng
Kông, Hàn Quốc, Singapore và Đài Loan. Gầnđây:
Indonesia, Thái Lan, Malaysia, Philippines
9HổChâu Á (Asian Tigers): Hồng Kông, Hàn Quốc,
Singapore và Đài Loan.
9Hổmới Châu Á (New Asian Tigers): Indonesia, Thái Lan,
Malaysia, Philippines.
9Tiếp theo: Trung Quốc(vàViệt Nam).

Chương trình Giảng dạyKinhtếFulbright
Niên khóa 2005-2006
Phát triểnkinhtếở Đông và Đông Nam Á I
Châu Văn Thành/ NguyễnXuânThành 2
Bài giảng 3
Sựthầnkỳvà các con hổChâu Á (2)
Tăng trưởng nhanh và bềnvững.
Bấtbìnhđẳng giảmvàthuhẹp nhanh nghèo đói.
TSPQD và NSNN tăng nhanh hơn.
Tốcđộ tăng X công nghệphẩmcao.
Tỷlệsinh giảmsớm và nhanh hơn.
Tốcđộ tăng vốnvậtchấtcaohơn(S nộiđịacao).
Mứckhởiđầuvàtốcđộ tăng vốncon người.
Tăng trưởng năng suất. (đóng góp của TFP # 1/3)
Mốcthờigian: Sựtrì trệcủaNhậtBản 1990s và khủng
hoảng tài chính 1997-98
NhậtBản–Tốcđộ tăng trưởng
1,0% 1992-97
4,0% 1973-91
9,8% 1965-73
10,3% 1953-65
4,1% 1905-40
Giá dầu!
Đãlà
nước
công
nghiệp

Chương trình Giảng dạyKinhtếFulbright
Niên khóa 2005-2006
Phát triểnkinhtếở Đông và Đông Nam Á I
Châu Văn Thành/ NguyễnXuânThành 3
Bài giảng 3
Tốcđộ tăng GDP (%, b/q năm)
76,96,86,28,9
ViệtNam
87,387,911,69,13,6
Trung Quốc
1957-78
4,20,48,31,88,95,97,96,5
Malaysia
3,73,44,9-2,87,75,77,94,5
Indonesia
5,21,94,6-2,97,98,26,98,2
Thái Lan
2,2-2,49,44,89,16,78,38,8
Singapore
2,30,610,20,856,79,210
Hồng Kông
6,33,19,32,87,69,49,68,5
Hàn Quốc
3,5-2,25,95,66,17,69,79,2
Đài Loan
2002200120001997-991992-961980-921970-801960-70
Nguồn: ADB
Bao giờđuổikịp?
2,21,811,491,222%
4,83,24
2,191,484%
10,295,743,211,796%
21,7210,064,66
2,158%
40 năm30 năm20 năm10 năm
gPCI
Nguyên tắc 72 Æ72/gy

Chương trình Giảng dạyKinhtếFulbright
Niên khóa 2005-2006
Phát triểnkinhtếở Đông và Đông Nam Á I
Châu Văn Thành/ NguyễnXuânThành 4
Bài giảng 3
Thành tích tăng trưởng – NHTG (1993)
Giai đoạn 1960-90:
70% nướcđang phát triểntăng
trưởng chậmhơnmứctrungbình
củacácnướcgiàugđ1960-90.
4 nước ĐÁ bắtkịpcácnướccông
nghiệp.
6.09
3.72
5.69
5.89
4.00
6.38
6.03
3.82
5.30
1.68
1.11
2.98
Hoàng Koâng
Indonesia
Nhaät Baûn
Haøn Quoác
Malaysia
Ñaøi Loan
Singapore
Thaùi Lan
Ñoâng AÙ (8 nöôùc)
Myõ Latinh
Chaâu Phi (Sahara)
OECD
Tăng trưởng PCI, 1960-85
(%/năm)
Tích lũyvốn là câu chuyện?
Thành tích tăng trưởng Đông Á
NHTG (1993)

Chương trình Giảng dạyKinhtếFulbright
Niên khóa 2005-2006
Phát triểnkinhtếở Đông và Đông Nam Á I
Châu Văn Thành/ NguyễnXuânThành 5
Bài giảng 3
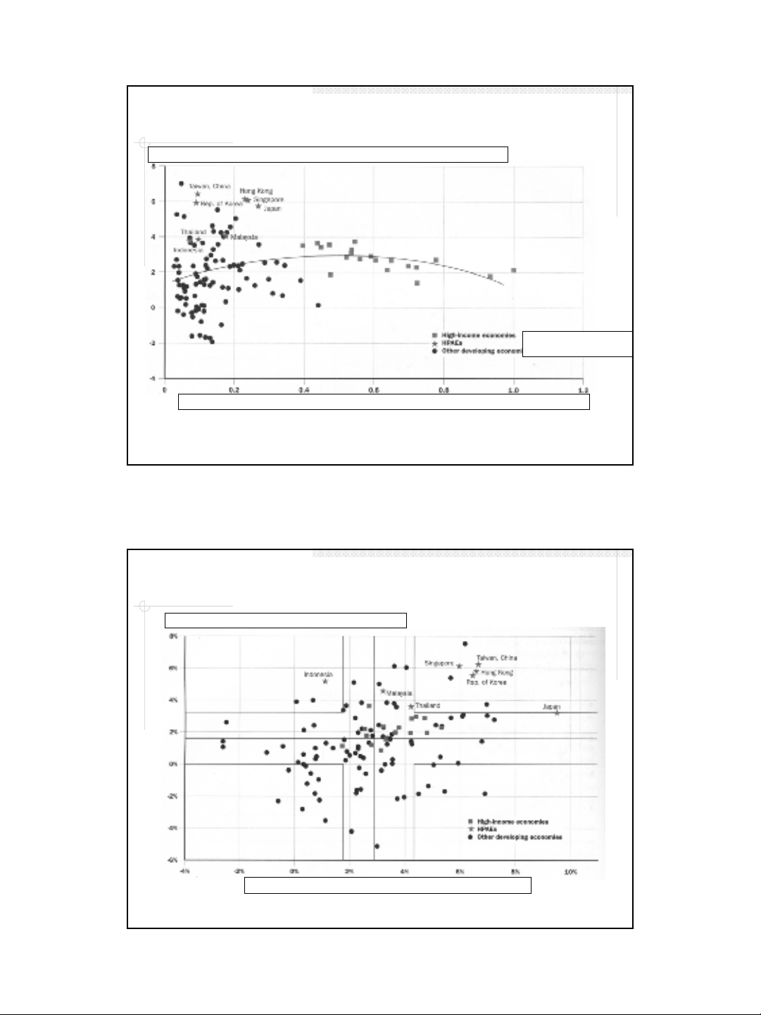
Tốcđộ tăng trưởng GDP 1960-85
Toác ñoätaêng tröôûng GDP b/q ñaàu ngöôøi (%/naêm, 1960-85)
GDP b/q ñaàu ngöôøi so saùnh (tính theo tyûleä% GDP b/q ñaàu ngöôøi cuûa Myõ, 1960)
Các nềnkinhtếthu nhậpcao
8 nềnkinhtếHPAE
Các nướcđang phát triển≠
Nguồn
: NHTG (1993).
Tăng trưởng nhanh trong thờigiandài
Nguồn
: NHTG (1993).
Toác ñoätaêng tröôûng GDP (%) 1960-70
Toác ñoätaêng tröôûng GDP (%) 1970-85

