
Trung Taâm Vieän Coâng Ngheä Chaâu AÙ taïi Vieät Nam (AITCV) Giôùi Thieäu veà Döï Aùn vaø Quaûn Lyù Döï AÙn
http://www.ebook.edu.vn G.V. Cao Haøo Thi
1
CHÖÔNG 1
GIÔÙI THIEÄU VEÀ DÖÏ AÙN VAØ QUAÛN LYÙ DÖÏ AÙN
1. GIÔÙI THIEÄU VEÀ DÖÏ AÙN
1.1. Moät soá khaùi nieäm veà döï aùn
Döï aùn laø gì ? Laø moät quaù trình goàm caùc coâng taùc, nhieäm vuï coù lieân quan vôùi nhau, ñöôïc thöïc
hieän nhaèm ñaït ñöôïc muïc tieâu ñaõ ñeà ra trong ñieàu kieän raøng buoäc veà thôøi gian, nguoàn löïc vaø
ngaân saùch.
Moãi döï aùn goàm caùc ñaëc ñieåm nhö sau :
a. Moãi döï aùn phaûi coù moät hoaëc moät soá muïc tieâu roõ raøng. Thoâng thöôøng ngöôøi ta coá gaéng löôïng
hoaù muïc tieâu thaønh ra caùc chæ tieâu cuï theå.
Moãi döï aùn laø moät quaù trình taïo ra moät keát quaû cuï theå. Neáu chæ coù keát quaû cuoái cuøng maø keát
quaû ñoù khoâng phaûi laø keát quaû cuûa moät tieán trình thì keát quaû ñoù khoâng ñöôïc goïi laø döï aùn.
b. Moãi döï aùn ñeàu coù moät thôøi haïn nhaát ñònh (thöôøng < 3naêm), nghóa laø phaûi coù thôøi ñieåm baét ñaàu
vaø thôøi ñieåm keát thuùc.
Döï aùn ñöôïc xem laø moät chuoãi caùc hoaït ñoäng nhaát thôøi. Toå chöùc cuûa döï aùn mang tính chaát taïm
thôøi, ñöôïc taïo döïng leân trong moät thôøi haïn nhaát ñònh ñeå ñaït ñöôïc muïc tieâu ñeà ra, sau ñoù toå
chöùc naøy seõ giaûi taùn hay thay ñoåi cô caáu toå chöùc cho phuø hôïp vôùi muïc tieâu môùi.
Nghóa laø moãi döï aùn ñeàu coù moät chu kyø hoaït ñoäng. Chu kyø hoaït ñoäng cuûa döï aùn goàm nhieàu
giai ñoaïn khaùc nhau:
+ Khôûi ñaàu döï aùn
+ Trieån khai döï aùn
+ Keát thuùc döï aùn
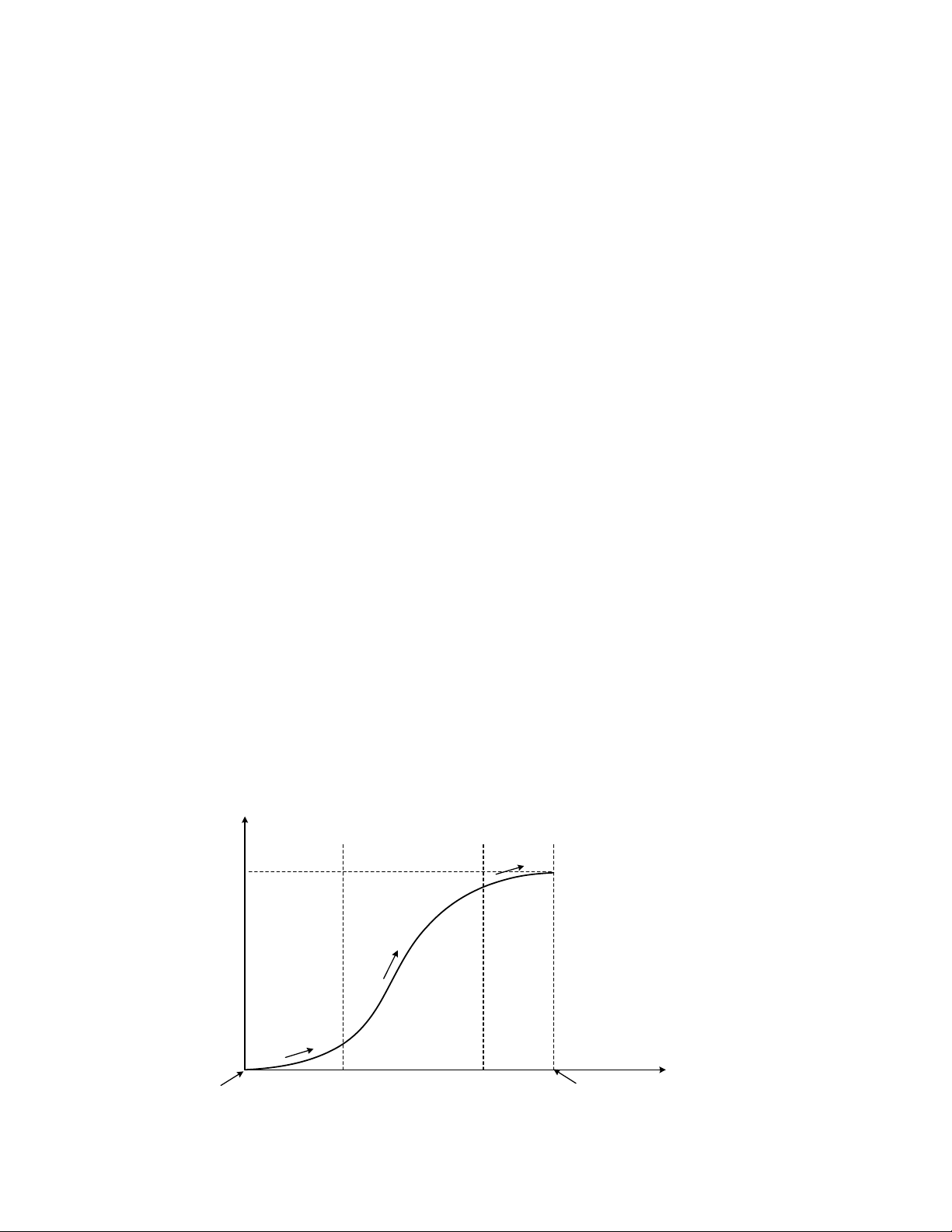
Khôûi ñaàu Trieån khai Keát thuùc
Chaäm
Nhanh
Chaäm
Thôøi gian
% hoaøn thaønh
döï aùn
100%
Ñieåm baét ñaàu Ñieåm keát thuùc

Trung Taâm Vieän Coâng Ngheä Chaâu AÙ taïi Vieät Nam (AITCV) Giôùi Thieäu veà Döï Aùn vaø Quaûn Lyù Döï AÙn
http://www.ebook.edu.vn G.V. Cao Haøo Thi
2
Giai ñoaïn khôûi ñaàu (Initiation phase)
+ Khaùi nieäm (Conception):
+ Ñònh nghóa döï aùn laø gì ? (Definition)
+ Thieát keá (Design)
+ Thaåm ñònh (Appraisal)
+ Löïa choïn (Selection)
+ Baét ñaàu trieån khai
Trieån khai (Implementation phase)
+ Hoaïch ñònh (Planning)
+ Laäp tieán ñoä (Scheduling)
+ Toå chöùc coâng vieäc (Organizing)
+ Giaùm saùt (Monitoring)
+ Kieåm soaùt (Controlling)
Keát thuùc (Termination phase)
+ Chuyeån giao (Handover)
+ Ñaùnh giaù (Evaluation)
Chu kyø hoaït ñoäng döï aùn xaûy ra theo tieán trình chaäm - nhanh – chaäm
Noã löïc thöïc hieän döï aùn trong caùc giai ñoaïn cuõng khaùc nhau
Khaùi nieäm Löïa choïn HÑ, laäp tieán ñoä,
giaùm saùt, kieåm soaùt Ñaùnh giaù
Möùc noã löïc
cuûa DA
(Level of Effort)
Ñænh (Peak)
Thôøi gian
Coù nhöõng döï aùn khoâng toàn taïi qua giai ñoaïn khaùi nieäm vaø ñònh nghóa.
Coù nhöõng döï aùn khi gaàn keát thuùc seõ chuyeån sang döï aùn môùi neân noã löïc cuûa döï aùn ôû giai ñoaïn
cuoái seõ khoâng baèng khoâng.

Trung Taâm Vieän Coâng Ngheä Chaâu AÙ taïi Vieät Nam (AITCV) Giôùi Thieäu veà Döï Aùn vaø Quaûn Lyù Döï AÙn
http://www.ebook.edu.vn G.V. Cao Haøo Thi
3
Chi phí cuûa döï aùn (Cost of project)
Chi phí cuûa DA
Thôøi gian
ÔÛ giai ñoaïn khôûi ñaàu ---> chi phí thaáp
ÔÛ giai ñoaïn trieån khai ---> chi phí taêng
Caøng veà sau thì chi phí caøng taêng
+ Vieäc ruùt ngaén tieán ñoä laøm chi phí taêng leân raát nhieàu.
+ Theo thôøi gian tính chaát baát ñònh cuûa chi phí seõ taêng daàn leân
c. Moãi döï aùn ñeàu söû duïng nguoàn löïc vaø nguoàn löïc naøy bò haïn cheá. Nguoàn löïc goàm: nhaân löïc,
nguyeân vaät lieäu, ngaân saùch.
Theá giôùi cuûa döï aùn laø theá giôùi cuûa caùc maâu thuaãn. Baát kyø moät döï aùn naøo cuõng toàn taïi trong
moät theá giôùi ñaày maâu thuaãn (The World of Conflicts)
Maâu thuaãn ôû ñaâu ra? + Giöõa caùc boä phaän trong döï aùn
+ Giöõa caùc döï aùn trong toå chöùc meï
+ Giöõa döï aùn vaø khaùch haøng
d. Moãi döï aùn ñeàu mang tính ñoäc ñaùo (Unique) ñoái vôùi muïc tieâu vaø vieäc phöông thöùc thöïc hieän
döï aùn. Khoâng coù söï laëp laïi hoaøn toaøn giöõa caùc döï aùn.
1.2 Söï khaùc bieät giöõa chöông trình, döï aùn vaø nhieäm vuï
Chöông trình (Program) laø moät keá hoaïch daøi haïn bao goàm nhieàu döï aùn. Ñoâi khi veà maët thuaät
ngöõ, chöông trình ñöôïc duøng ñoàng nghóa vôùi döï aùn.
Döï aùn (Project) laø moät quaù trình goàm caùc coâng taùc, nhieäm vuï coù lieân quan vôùi nhau, ñöôïc
thöïc hieän nhaèm ñaït ñöôïc muïc tieâu ñaõ ñeà ra trong ñieàu kieän raøng buoäc veà thôøi gian, nguoàn löïc
vaø ngaân saùch.
Nhieäm vuï (Task) laø noã löïc ngaén haïn trong vaøi tuaàn hoaëc vaøi thaùng ñöôïc thöïc hieän bôûi moät toå
chöùc naøo ñoù, ñoàng thôøi toå chöùc naøy coù theå keát hôïp vôùi caùc nhieäm vuï khaùc ñeå thöïc hieän döï aùn.

Trung Taâm Vieän Coâng Ngheä Chaâu AÙ taïi Vieät Nam (AITCV) Giôùi Thieäu veà Döï Aùn vaø Quaûn Lyù Döï AÙn
http://www.ebook.edu.vn G.V. Cao Haøo Thi
4
1.3 Söï khaùc bieät giöõa döï aùn vaø phoøng ban chöùc naêng
Döï aùn Phoøng ban chöùc naêng
1. Coù chu kyø hoaït ñoäng roõ raøng 1. Toàn taïi laâu daøi, töø naêm naøy sang
naêm khaùc
2. Thôøi ñieåm baét ñaàu vaø keát thuùc theo
ngaøy lòch
2. Khoâng coù ñaëc ñieåm cuï theå lieân quan
ñeán ngaøy lòch (ngoaïi tröø ngaân saùch
taøi chính haøng naêm)
3. Döï aùn coù theå keát thuùc ñoät ngoät khi
khoâng ñaït muïc tieâu
3. Toàn taïi lieân tuïc
4. Do tính ñoäc ñaùo cuûa döï aùn, coâng
vieäc khoâng bò laëp laïi
4. Thöïc hieän caùc coâng vieäc vaø chöùc
naêng ñaõ bieát
5. Noã löïc toång hôïp ñöôïc hoaøn thaønh
trong raøng buoäc veà thôøi gian vaø
nguoàn löïc
5. Coâng vieäc toái ña ñöôïc thöïc hieän vôùi
ngaân saùch saøn / traàn haøng naêm
(ceiling budget)
6. Vieäc döï baùo thôøi gian hoaøn thaønh
vaø chi phí gaëp khoù khaên
6. Töông ñoái ñôn giaûn
7. Lieân quan ñeán nhieàu kyõ naêng vaø kyû
luaät trong nhieàu toå chöùc vaø thay ñoåi
theo giai ñoaïn döï aùn
7. Chæ lieân quan ñeán moät vaøi kyõ naêng
vaø kyû luaät trong moät toå chöùc
8. Tyû leä vaø loaïi chi phí thay ñoåi lieân
tuïc
8. Töông ñoái oån ñònh
9. Baûn chaát naêng ñoäng 9. Baûn chaát oån ñònh
1.4 Caùc loaïi döï aùn
a. Döï aùn hôïp ñoàng (Contractual project) - Saûn xuaát saûn phaåm
- Dòch vuï
b. Döï aùn nghieân cöùu vaø phaùt trieån (R & D Project)
c. Döï aùn xaây döïng (Contruction Project)
d. Döï aùn heä thoáng thoâng tin (Information System Project)
e. Döï aùn ñaøo taïo vaø quaûn lyù (Management & Trainning Project)
f. Döï aùn baûo döôõng lôùn (Major Maintenance Project)
g. Döï aùn vieän trôï phaùt trieån / phuùc lôïi coâng coäng (Public / Welfare / Development Project)
Chöông trình 1
Chöông trình 2
Chöông trình i
Chöông trình n
(Program )
Döï aùn 1
Döï aùn 2
Döï aùn i
Döï aùn n
(Project)
Nhieäm vuï 1
Nhieäm vuï 2
Nhieäm vuï i
Nhieäm vuï n
(Task)
Heä thoáng
(System)

Trung Taâm Vieän Coâng Ngheä Chaâu AÙ taïi Vieät Nam (AITCV) Giôùi Thieäu veà Döï Aùn vaø Quaûn Lyù Döï AÙn
http://www.ebook.edu.vn G.V. Cao Haøo Thi
5
2. GIÔÙI THIEÄU VEÀ QUAÛN LYÙ DÖÏ AÙN
2.1. Quaûn lyù döï aùn (Project Management)
Quaûn lyù döï aùn laø moät quaù trình hoaïch ñònh (Planning), toå chöùc (Organizing), laõnh ñaïo
(Leading/Directing) vaø kieåm tra (Controlling) caùc coâng vieäc vaø nguoàn löïc ñeå hoaøn thaønh caùc
muïc tieâu ñaõ ñònh.
2.2. Caùc tieâu chuaån ñaùnh giaù vieäc quaûn lyù döï aùn
Moät döï aùn thaønh coâng coù caùc ñaëc ñieåm sau :
- Hoaøn thaønh trong thôøi haïn quy ñònh (Within Time)
- Hoaøn thaønh trong chi phí cho pheùp (Within Cost)
- Ñaït ñöôïc thaønh quaû mong muoán (Design Performance)
- Söû duïng nguoàn löïc ñöôïc giao moät caùch :
+ Hieäu quaû (Effective)
+ Höõu hieäu (Efficiency)
2.3. Nhöõng trôû löïc trong quaûn lyù döï aùn (Obstacles in Project Management)
- Ñoä phöùc taïp cuûa döï aùn
- Yeâu caàu ñaëc bieät cuûa khaùch haøng
- Caáu truùc laïi toå chöùc
- Ruûi ro trong döï aùn
- Thay ñoåi coâng ngheä
- Keá hoaïch vaø giaù caû coá ñònh
Chi phí
Thôøi gian
Thaønh quaû
Ngaân saùch
cho
p
heù
p
Thôøi haïn
q
u
y
ñònh
Yeâu caàu veà
thaønh
q
uaû Muïc tieâu

