
Trường Đại học Khoa học Tự nhiên
Khoa Hóa – Bộ môn Hóa Học Hữu cơ
HA HU CƠ 1
1

2
•Alkyne: là hydrocarbon có chứa nhóm định chức CC.
•Alkyne ít thông dụng hơn alkene trong cả cơ thể sinh vật và PTN. Tuy
nhiên, đã tìm thấy hơn một ngàn hợp chất tự nhiên có chứa nối CC
và nhiều hợp chất alkyne có những vai trò sinh học quan trọng.
Chương 9: Alkyne – Giới thiệu tổng hợp hữu cơ
1. Điều chế alkyne
Điều chế acetylene: Từ than đá, nước, đá vôi

1. Điều chế alkyne
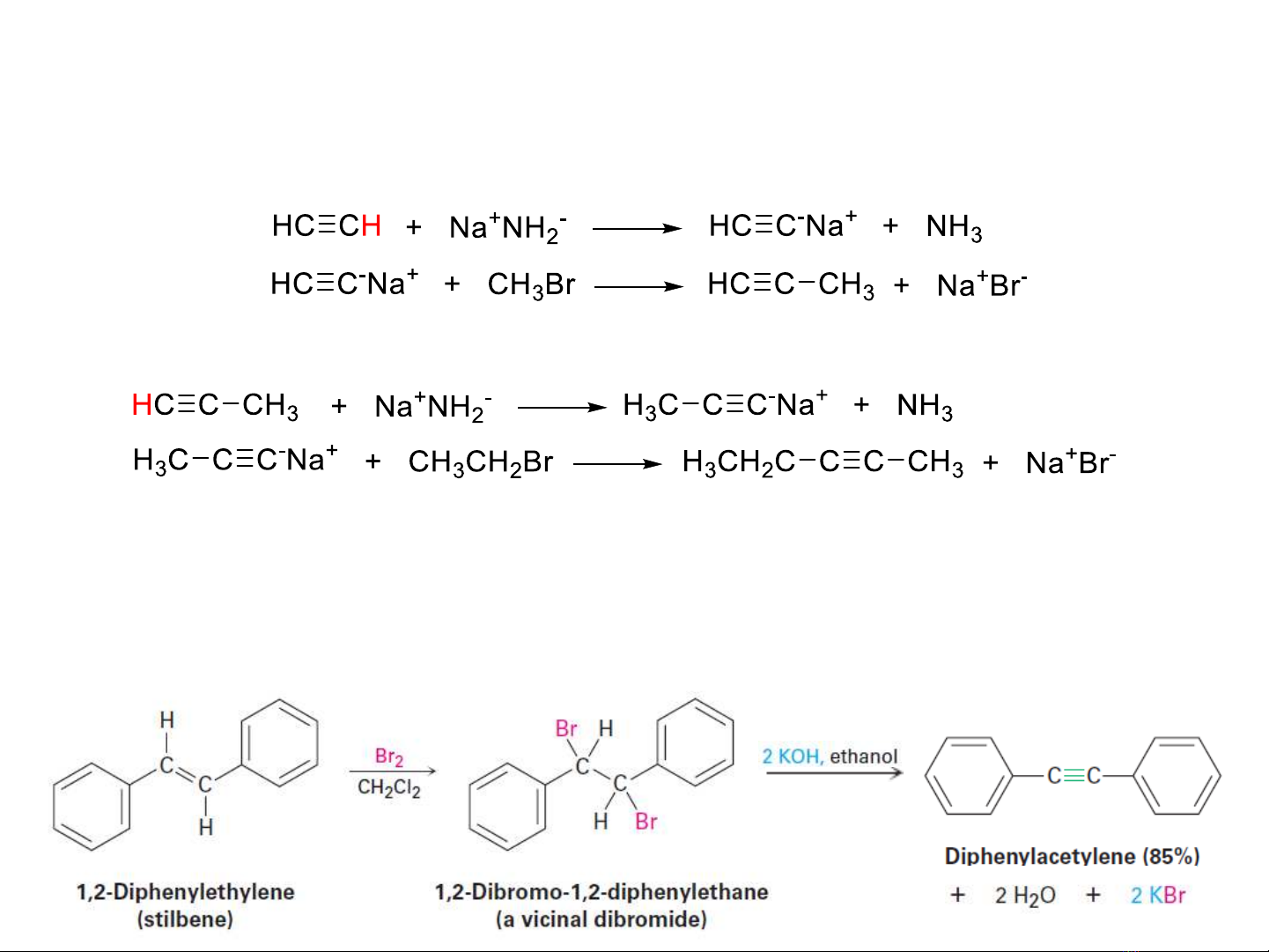
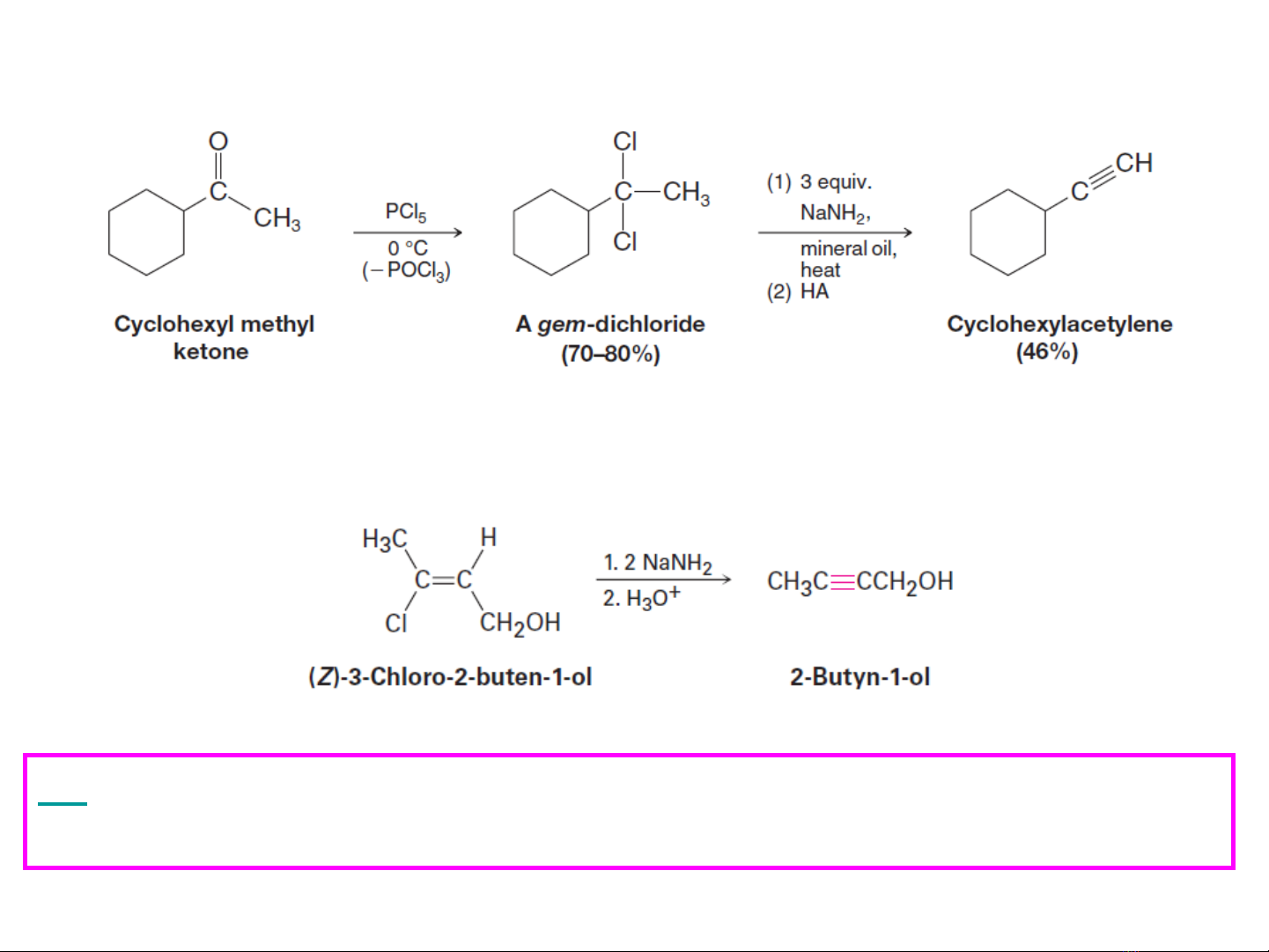
Từ acetylide phản ứng với alkyl halide
Các acetylene đơn hoán có chứa một nguyên tử hydrogen có tính acid nên có thể tác
dụng được với base mạnh NaNH2, Na
Tiếp tục phản ứng này, nối ba có thể ở vị trí như mong muốn trong mạch carbon
Phản ứng tách dihalide
Dihaloalkane phản ứng với lượng thừa base mạnh: KOH hay NaNH2, dẫn đến sự tách
loại HX hai lần và tạo ra alkyne. Dihaloalkane có thể là germinal dihalide (2C kề nhau, mỗi C
gắn một nhóm halogen) hoặc vicinal dihalide (1C gắn hai nhóm halogen)

4
1. Điều chế alkyne
Phản ứng tách dihalide
[1] T. W. Graham Solomons (2013), Organic Chemistry, 11th Edition, Chapter 7, page 316, Wiley.


