1
Chöông
2:
ÑOÀ
THÒ SMITH
I. Giôùi Thieäu
l
S
Z
0
Z
L
Z
S
E
0x
x
d
(), ()
x
ZxΓ
cuu duong than cong . com
2
l
S
Z
0
Z
L
Z
S
E
0x
x
d
cuu duong than cong . com
3
0
1
1
ZZ
+
Γ
=
Γ
0
1
1
Z
z
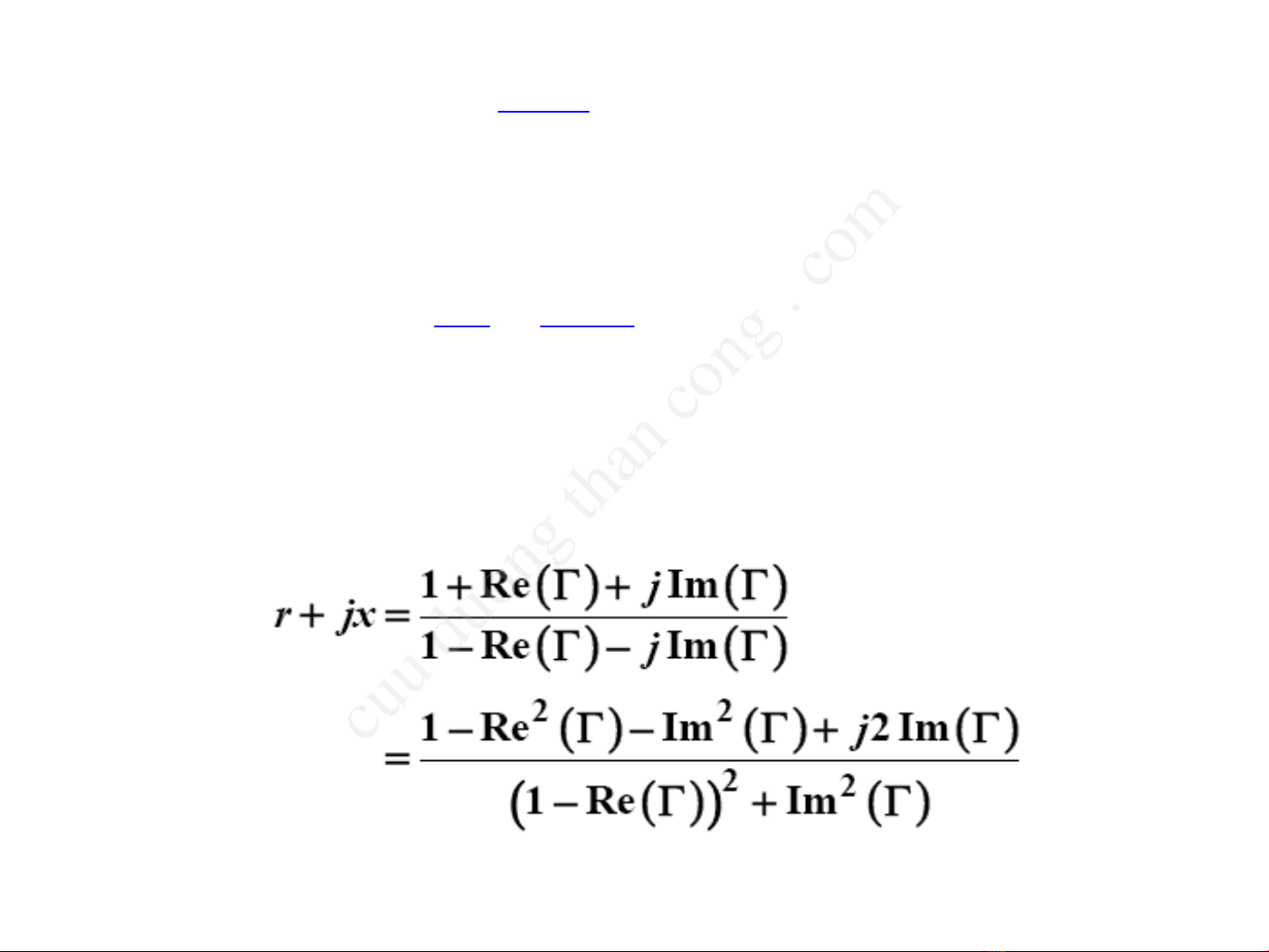
r
j
x
Z
+
Γ
⇒= = =+
−Γ
Re() Im()jΓ= Γ + Γ
Chæ
Xeùt Trôû
Khaùng ñaõ chuaån hoaù
theo 0
Z
cuu duong than cong . com
4
cuu duong than cong . com
5
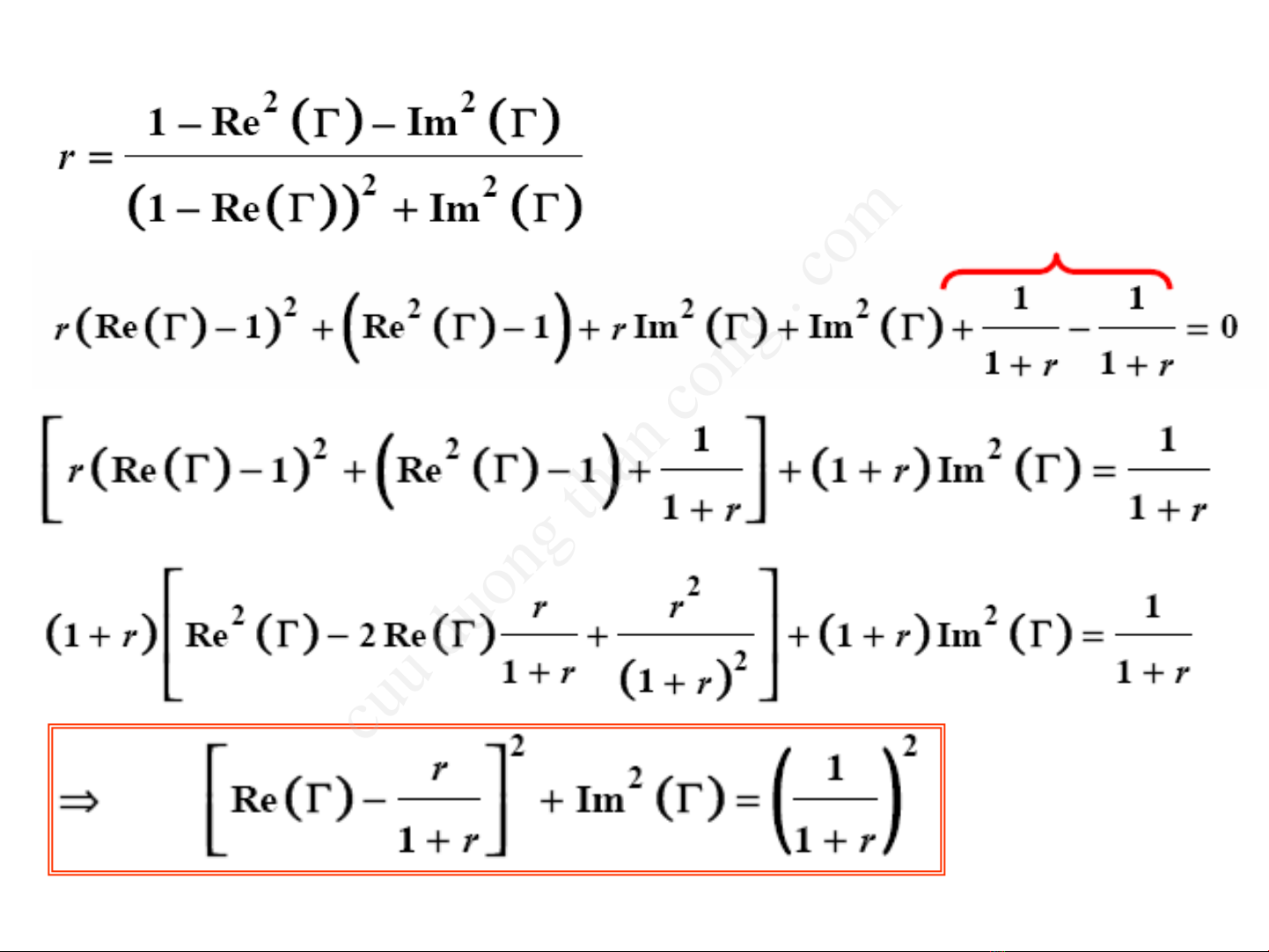
1
,0 ,
11
r
rr
⎧⎫ =
⎨⎬
++
⎩⎭
Taâm : Baùn kính
cuu duong than cong . com