logo
Mạng xã hội chia sẻ tài liệu
Upload
Nâng cấp VIP
Trang chủ » Tài Liệu Phổ Thông » Bài giảng điện tử
16 trang
2279 lượt xem
1004
3

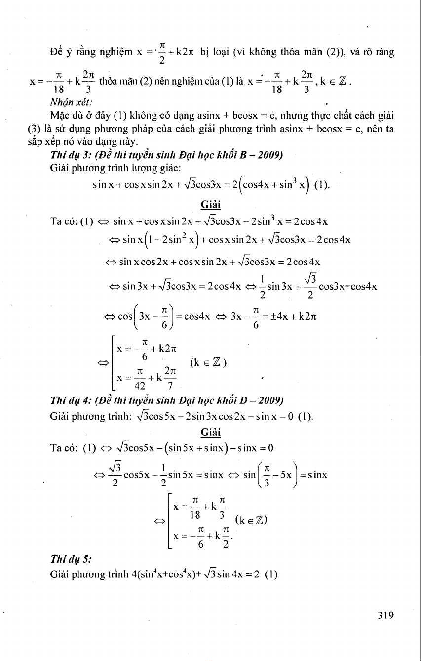
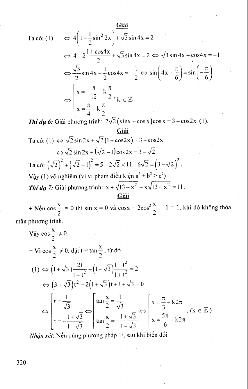
Bài giảng số 18: Phương trình lượng giác (Ôn thi đại học)

Cũng giống như các bài toán về hàm số, các bài toán về phương trình lượng giác là một câu hỏi bắt buộc có mặt trong mọi đề thi về môn toán vào các trường đại học, cao đẳng các năm 2002-2009. Bài giảng này đề cập đến các phương pháp giải phương trình lượng giác tùy theo dạng của chúng.

Chủ đề:

forever_1712q

Bài giảng điện tử lớp 12

Powerpoint Toán 12

Share
/
16

Tài liệu liên quan

Phương trình mặt phẳng trong không gian: Bài giảng Hình học lớp 12 chương 3 (tiết 37)

Bài giảng Hình học lớp 12 - Chương 3: Phương pháp tọa độ trong không gian (Bài 3: Phương trình mặt phẳng - Tiết 37)

19 trang
Bài giảng Giải tích lớp 12 chương 3: Tích phân (Bài 2) – Tiết 55 [Chi tiết]

Bài giảng Giải tích lớp 12 - Chương 3: Tích phân (Bài 2: Tích phân – Tiết 55)

17 trang
Bài giảng Hình học lớp 12: Phương pháp tọa độ trong không gian - Ôn tập chương (Bài 3, Tiết 43)

Bài giảng Hình học lớp 12 - Chương 3: Phương pháp tọa độ trong không gian (Bài 3: Ôn tập chương - Tiết 43)

16 trang
Phương trình đường thẳng trong không gian lớp 12: Bài giảng, luyện tập (Tiết 43) - Hình học chương 3

Bài giảng Hình học lớp 12 - Chương 3: Phương pháp tọa độ trong không gian (Bài 3: Phương trình đường thẳng trong không gian (Luyện tập) - Tiết 43)

19 trang
Bài tập phương trình đường thẳng trong không gian: Bài giảng Hình học lớp 12 chương 3 (Tiết 42)

Bài giảng Hình học lớp 12 - Chương 3: Phương pháp tọa độ trong không gian (Bài 4: Bài tập phương trình đường thẳng – Tiết 42)

53 trang
Phương trình mặt phẳng lớp 12: Bài tập và phương pháp tọa độ trong không gian (Tiết 38) - Bài giảng Hình học chương 3

Bài giảng Hình học lớp 12 - Chương 3: Phương pháp tọa độ trong không gian (Bài 3: Phương trình mặt phẳng - Bài tập – Tiết 38)

19 trang
Phương trình mặt phẳng: Bài tập Hình học lớp 12 (Chương 3) - Phương pháp tọa độ trong không gian (Tiết 38)

Bài giảng Hình học lớp 12 - Chương 3: Phương pháp tọa độ trong không gian (Bài 2: Phương trình mặt phẳng - Bài tập – Tiết 38)

18 trang
Phương trình mặt phẳng: Bài tập Giải tích lớp 12 chương 3 (Tiết 37) - Phương pháp tọa độ trong không gian

Bài giảng Giải tích lớp 12 - Chương 3: Phương pháp tọa độ trong không gian (Bài 2: Phương trình mặt phẳng - Bài tập – Tiết 37)

19 trang
Phương trình mặt phẳng lớp 12: Bài tập và phương pháp tọa độ trong không gian (tiết 36) - Chương 3 Hình học

Bài giảng Hình học lớp 12 - Chương 3: Phương pháp tọa độ trong không gian (Bài 2: Phương trình mặt phẳng - Bài tập – Tiết 36)

24 trang
Phương trình mặt phẳng (tt) - Bài giảng Hình học lớp 12 chương 3: Phương pháp tọa độ trong không gian (tiết 35)

Bài giảng Hình học lớp 12 – Chương 3: Phương pháp tọa độ trong không gian (Bài 2: Phương trình mặt phẳng (tt) - tiết 35)

13 trang

Tài liêu mới

Bài Giảng Tiếng Anh 12 - i-Learn Smart World -  Unit 1 - Lesson 1.3 - Pronunciation & Speaking - Pages 6 & 7 revised

Bài Giảng Tiếng Anh 12 - i-Learn Smart World - Unit 1 - Lesson 1.3 - Pronunciation & Speaking - Pages 6 & 7 revised

26 trang
Bài Giảng Tiếng Anh 12 - i-Learn Smart World -  Unit 1 - Lesson 1.2 - Grammar - Pages 5 & 6

Bài Giảng Tiếng Anh 12 - i-Learn Smart World - Unit 1 - Lesson 1.2 - Grammar - Pages 5 & 6

34 trang
Bài Giảng Tiếng Anh 12 - i-Learn Smart World -  Unit 1 - Lesson 1.1 - Vocab & Reading - Pages 4 & 5

Bài Giảng Tiếng Anh 12 - i-Learn Smart World - Unit 1 - Lesson 1.1 - Vocab & Reading - Pages 4 & 5

44 trang
Bài Giảng Toán 12 - Chân Trời Sáng Tạo - Chương 1 - Bài 2: Giá Trị Lớn Nhất, Giá Trị Nhỏ Nhất Của Hàm Số

Bài Giảng Toán 12 - Chân Trời Sáng Tạo - Chương 1 - Bài 2: Giá Trị Lớn Nhất, Giá Trị Nhỏ Nhất Của Hàm Số

54 trang
Bài Giảng Toán 12 - Chân Trời Sáng Tạo - Chương 1 - Bài 3: Đường Tiệm Cận Của Đồ Thị Hàm Số

Bài Giảng Toán 12 - Chân Trời Sáng Tạo - Chương 1 - Bài 3: Đường Tiệm Cận Của Đồ Thị Hàm Số

60 trang
Bài Giảng Toán 12 - Chân Trời Sáng Tạo - Chương 1 - Bài 1: Tính Đơn Điệu Và Cực Trị Của Hàm Số

Bài Giảng Toán 12 - Chân Trời Sáng Tạo - Chương 1 - Bài 1: Tính Đơn Điệu Và Cực Trị Của Hàm Số

64 trang
Bài Giảng Ngữ Văn 11 - Chân Trời Sáng Tạo - Bài 1: Trăng Sáng Trên Đầm Sen

Bài Giảng Ngữ Văn 11 - Chân Trời Sáng Tạo - Bài 1: Trăng Sáng Trên Đầm Sen

25 trang
Bài Giảng Ngữ Văn 11 - Chân Trời Sáng Tạo - Bài 1: Cõi Lá

Bài Giảng Ngữ Văn 11 - Chân Trời Sáng Tạo - Bài 1: Cõi Lá

25 trang
Bài Giảng Ngữ Văn 11 - Chân Trời Sáng Tạo - Bài 1: Chiều Xuân

Bài Giảng Ngữ Văn 11 - Chân Trời Sáng Tạo - Bài 1: Chiều Xuân

9 trang
Bài Giảng Toán 11 - Chân Trời Sáng Tạo - Chương 1 - Bài 3: Các Công Thức Lượng Giác

Bài Giảng Toán 11 - Chân Trời Sáng Tạo - Chương 1 - Bài 3: Các Công Thức Lượng Giác

65 trang
Bài Giảng Toán 11 - Chân Trời Sáng Tạo - Chương 1 - Bài 2: Giá Trị Lượng Giác Của Một Góc Lượng Giác

Bài Giảng Toán 11 - Chân Trời Sáng Tạo - Chương 1 - Bài 2: Giá Trị Lượng Giác Của Một Góc Lượng Giác

75 trang
Bài Giảng Toán 11 - Chân Trời Sáng Tạo - Chương 1 - Bài 1: Góc Lượng Giác

Bài Giảng Toán 11 - Chân Trời Sáng Tạo - Chương 1 - Bài 1: Góc Lượng Giác

63 trang
Bài Giảng Toán 9 - Chân Trời Sáng Tạo - Chương 3 - Bài 1: Căn Bậc Hai

Bài Giảng Toán 9 - Chân Trời Sáng Tạo - Chương 3 - Bài 1: Căn Bậc Hai

36 trang
Bài Giảng Toán 9 - Chân Trời Sáng Tạo - Chương 2 - Bài 2: Bất phương trình bậc nhất một ẩn

Bài Giảng Toán 9 - Chân Trời Sáng Tạo - Chương 2 - Bài 2: Bất phương trình bậc nhất một ẩn

54 trang
Bài Giảng Toán 9 - Chân Trời Sáng Tạo - Chương 2 - Bài 1: Bất đẳng thức

Bài Giảng Toán 9 - Chân Trời Sáng Tạo - Chương 2 - Bài 1: Bất đẳng thức

42 trang

AI tóm tắt

- Giúp bạn nắm bắt nội dung tài liệu nhanh chóng!

Giới thiệu tài liệu

Đối tượng sử dụng

Từ khoá chính

Nội dung tóm tắt

Giới thiệu

Về chúng tôi

Việc làm

Quảng cáo

Liên hệ

Chính sách

Thoả thuận sử dụng

Chính sách bảo mật

Chính sách hoàn tiền

DMCA

Hỗ trợ

Hướng dẫn sử dụng

Đăng ký tài khoản VIP

Zalo/Tel:

093 303 0098

Email:

support@tailieu.vn

Phương thức thanh toán

Theo dõi chúng tôi

Facebook

Youtube

TikTok

chứng nhận
Chịu trách nhiệm nội dung: Nguyễn Công Hà
Doanh nghiệp quản lý: Công ty TNHH Tài Liệu trực tuyến Vi Na - GCN ĐKDN: 0307893603
Địa chỉ: 54A Nơ Trang Long, P. Bình Thạnh, TP.HCM - Điện thoại: 0283 5102 888 - Email: info@tailieu.vn
Giấy phép Mạng Xã Hội số: 38/GP-BVHTTDL cấp ngày 09/3/2026