Giới thiệu tài liệu
Trong bối cảnh nền kinh tế toàn cầu hóa ngày càng sâu rộng, việc hiểu rõ các nguyên tắc cơ bản của tài chính quốc tế là vô cùng cần thiết. Một trong những học thuyết trọng tâm, có ý nghĩa quyết định đối với các nhà đầu tư và doanh nghiệp tham gia thị trường tiền tệ quốc tế, là học thuyết ngang giá lãi suất (IRP). Học thuyết này không chỉ giúp giải thích mối quan hệ phức tạp giữa lãi suất và tỷ giá hối đoái mà còn là nền tảng cho các quyết định lựa chọn đồng tiền đầu tư và đi vay hiệu quả. Tài liệu này sẽ đi sâu vào các khía cạnh của IRP, đặc biệt là quy luật ngang giá lãi suất có bảo hiểm (CIP), nhằm trang bị kiến thức vững chắc về cơ chế vận hành của thị trường tài chính toàn cầu.
Đối tượng sử dụng
Sinh viên chuyên ngành tài chính, kinh tế quốc tế, quản trị kinh doanh, cũng như các nhà đầu tư, phân tích tài chính và quản lý rủi ro muốn tìm hiểu sâu về thị trường tiền tệ quốc tế và các quyết định tài chính liên quan.
Nội dung tóm tắt
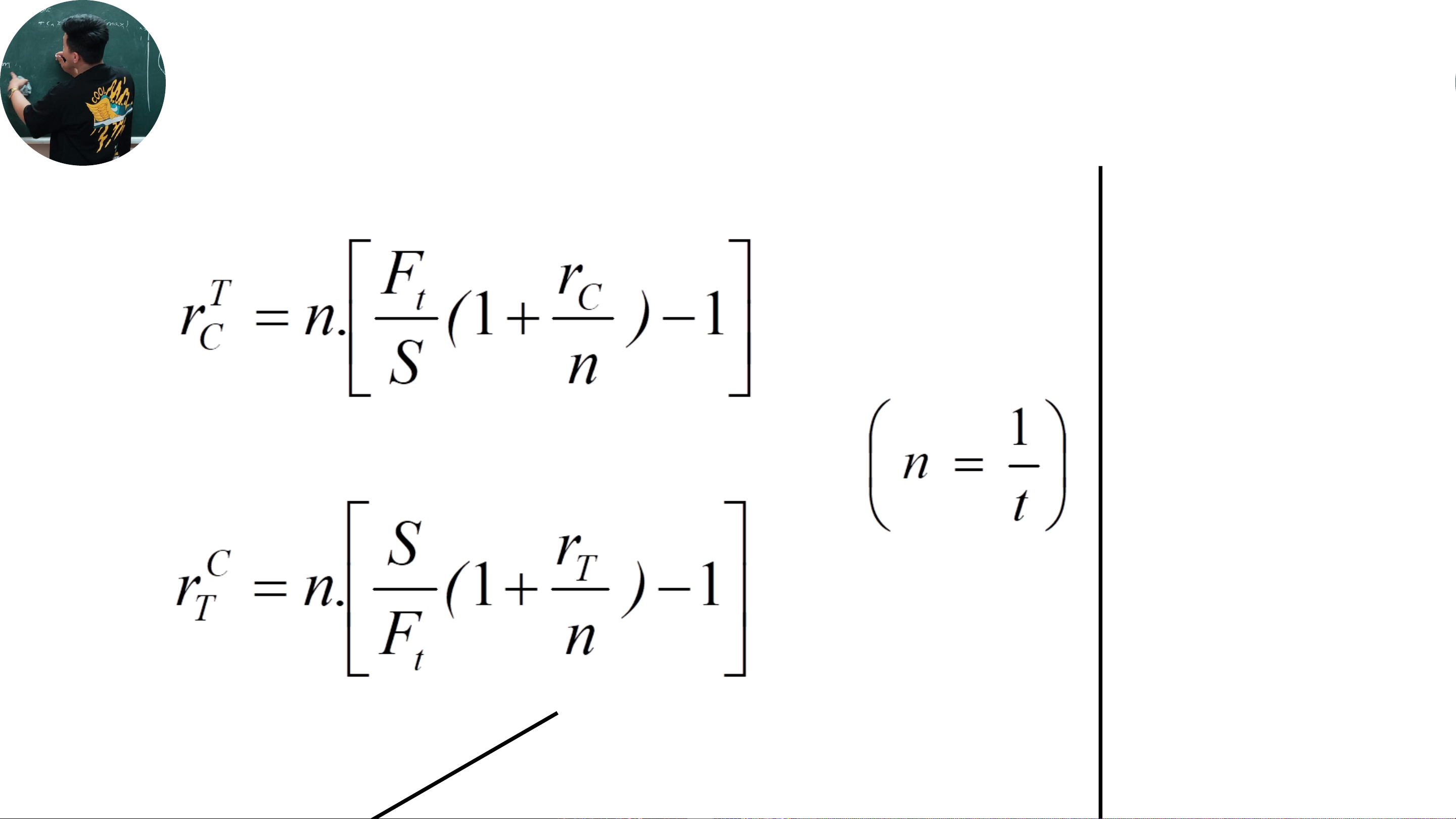
Tài liệu này cung cấp một cái nhìn toàn diện về học thuyết ngang giá lãi suất (IRP), một trụ cột của tài chính quốc tế, nhấn mạnh tầm quan trọng của nó trong việc đưa ra các quyết định lựa chọn đồng tiền đầu tư và đi vay. Nội dung bắt đầu bằng việc trình bày các tiêu chí thực tiễn để đánh giá và lựa chọn đồng tiền phù hợp, dựa trên sự chênh lệch lãi suất và kỳ vọng về tỷ giá kỳ hạn. Trọng tâm của tài liệu là phân tích chi tiết quy luật ngang giá lãi suất có bảo hiểm (CIP). CIP được giải thích thông qua một loạt các giả thiết nền tảng, bao gồm không tồn tại chi phí giao dịch, không có rào cản chu chuyển vốn, và một thị trường tiền tệ cạnh tranh hoàn hảo, đảm bảo hoạt động kinh doanh tiền tệ quốc tế không chịu rủi ro. Cơ chế hình thành CIP được duy trì bởi hoạt động kinh doanh chênh lệch lãi suất (arbitrage), đảm bảo rằng mức lợi nhuận từ đầu tư hoặc chi phí đi vay là như nhau dù sử dụng đồng tiền nào, miễn là rủi ro tỷ giá đã được bảo hiểm. Tài liệu cũng trình bày các dạng biểu hiện của CIP, cả dạng tuyệt đối và tương đối, cho các kỳ hạn khác nhau, làm rõ mối quan hệ giữa tỷ giá giao ngay, tỷ giá kỳ hạn và lãi suất. Việc nắm vững CIP không chỉ hữu ích cho việc quản lý rủi ro tỷ giá mà còn là công cụ thiết yếu để tối ưu hóa chiến lược đầu tư và vay mượn trong môi trường tài chính quốc tế đầy biến động.