
ĐỀ KIỂM TRA GIỮA HỌC KỲ I – MÔN TOÁN 8
Năm học 2025 – 2026
I. TRẮC NGHIỆM (7,0 điểm)
Phần 1. Câu trắc nghiệm nhiều phương án lựa chọn (3,0 điểm)
Câu 1: Biểu thức nào sau đây là đơn thức?
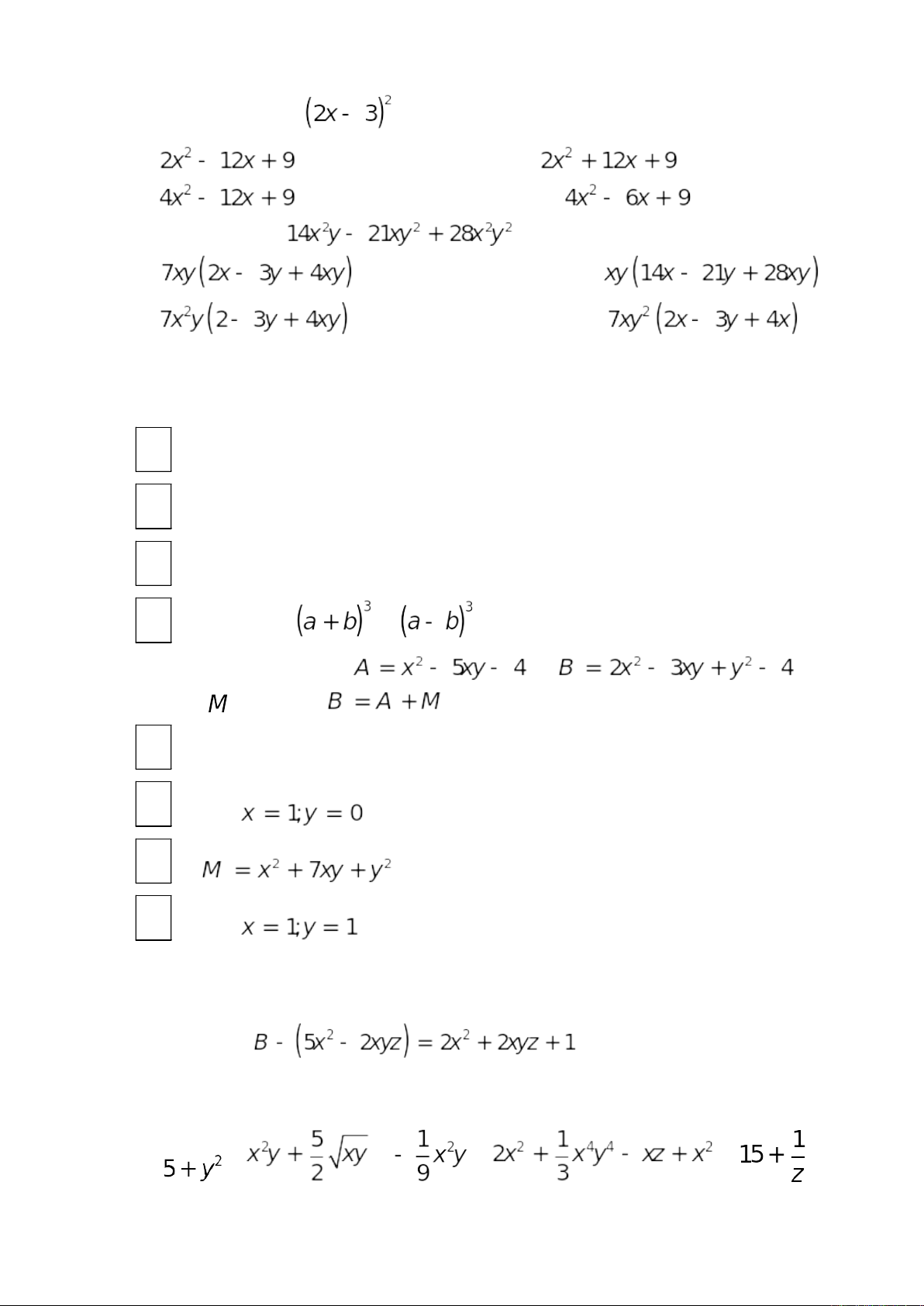
A. B. C. D.
Câu 2: Đơn thức nào sau đây có bậc bằng 4?
A. B. C. D.
Câu 3: Đơn thức nào sau đây đồng dạng với đơn thức ?
A. . B. . C. . D. .
Câu 4: Kết quả của phép chia là
A. . B. . C. . D.
Câu 5: Kết quả rút gọn: là:
A. B. C. D.
Câu 6. Đơn thức có:
A. Hệ số là 25; phần biến là B. Hệ số là 25; phần biến là
C. Hệ số là 25; phần biến là D.. Hệ số là -25; phần biến là
Câu 7: Hằng đẳng thức có tên là:
A. Bình phương của một tổng. B. Bình phương của một hiệu.
C. Tổng hai bình phương. D. Hiệu hai bình phương.
Câu 8: Khẳng định nào sau đây là sai?
A. . B .
C. . D. .
Câu 9: Phép nhân: bằng:
A. B. C. D.
Câu 10: Cho . Giá trị của là
A. . B. . C. . D. .

Câu 11: Khai triển ta được
A. . B. .
C. . D. .
Câu 12: Đa thức được phân tích thành
A. . B. .
C. . D. .
Phần 2. Câu trắc nghiệm đúng sai (2,0 điểm)
Trong câu 13 và câu 14, hãy chọn đúng(Đ) hoặc sai (S) cho mỗi ý a, b, c, d.
Câu 13: Xét các mệnh đề sau:
a. Tổng của hai đa thức luôn là một đa thức.
b. Tổng của hai đơn thức đồng dạng là một đơn thức.
c. Có thể sử dụng hằng đẳng thức hiệu hai bình phương để tính nhanh 49 × 51
d) Công thức và đều cho kết quả giống nhau.
Câu 14: Cho hai đa thức và .
Đa thức thỏa mãn ;
a. Hạng tử tự do của đa thức A là –4.
b. Với thì giá trị của biểu thức B bằng -2.
c.
d. Với thì giá trị của M bằng 4
Phần 3. Câu hỏi trắc nghiệm trả lời ngắn (2,0 điểm)
Trong mỗi câu hỏi từ câu 15 đến câu 18, hãy viết câu trả lời/ đáp án vào bài làm mà
không cần trình bày lời giải chi tiết.
Câu 15: Cho . Hạng tử tự do của đa thức B
là bao nhiêu?
Câu 16: Cho các biểu thức sau:
; ; ; ;
Có bao nhiêu đa thức trong các biểu thức trên?

Câu 17: Cho biểu thức là lập phương của một tổng. Tính
giá trị của .
Câu 18: Xác định bậc của đa thức biết:
II. TỰ LUẬN (3,0 điểm)
Câu 19: (0,5 điểm) Tính nhanh: a)V 732 - 272 b) 2012
Câu 20: (1 điểm) Phân tích các đa thức sau thành nhân tử:
a)
b)
c)
Câu 21: (1điểm) Một cửa hàng bán sách giáo khoa và bút bi. Giá 1 quyển sách
là x nghìn đồng, giá 1 chiếc bút là y nghìn đồng. Bạn An mua quyển
sách và chiếc bút.
a.) Hãy lập biểu thức biểu thị số tiền (nghìn đồng) bạn An phải trả.
b) Rút gọn biểu thức vừa lập.
c) Với tính số tiền cụ thể bạn An đã trả.
Câu 22 ( 0,5 điểm). Tìm thương của phép chia sau:
D. ĐÁP ÁN VÀ THANG ĐIỂM ĐỀ KIỂM TRA GIỮA HỌC KÌ I
I. TRẮC NGHIỆM
Phần 1. (3,0 điểm )Câu trắc nghiệm nhiều phương án lựa chọn (mỗi ý đúng
được 0,25 điểm)
Câu 1 2 3 4 5 6 7 8 9 10 11 12
Đ. án A A B D A B D D A C C A
Phần 2. Câu trắc nghiệm đúng sai (2,0 điểm)
Câu 13: a. b. c. d.
Câu 14: a. b. c. d.
Phần 3. Câu hỏi trắc nghiệm trả lời ngắn (2,0 điểm)
Câu 15: 1

Câu 16: 3
Câu 17: 27
Câu 18: 4
II. TỰ LUẬN
Câu Ý Nội dung Điểm
19
a0,25đ
b0,25đ
20
a0,25đ
b0,25đ
c0,5đ
21
a0,25
b
0,25
cThay vào biểu thức ta được:
(nghìn đồng)
0,5
22
Đặt , ta có:
0,25đ
0,25đ

Vậy, thương cần tìm là:
---------------- HẾT ----------------
(Lưu ý: Nếu học sinh giải theo cách khác đúng vẫn cho điểm tối đa)

