
Đ KI M TRA GI A H C KÌ IỀ Ể Ữ Ọ
TOÁN 8- Th i gian làm bài 90 phút- Cánh Di uờ ề
A. TR C NGHI M Ắ Ệ (7,0 đi mể)
Ph n 1. Câu tr c nghi m nhi u ph ng án l a ch n ầ ắ ệ ề ươ ự ọ (3,0 đi mể)
Trong m i câu h i t câu 1 đ n câu 12, hãy vi t ch cái in hoa đ ng tr c ph ng án ỗ ỏ ừ ế ế ữ ứ ướ ươ
đúng duy nh t vào bài làm.ấ
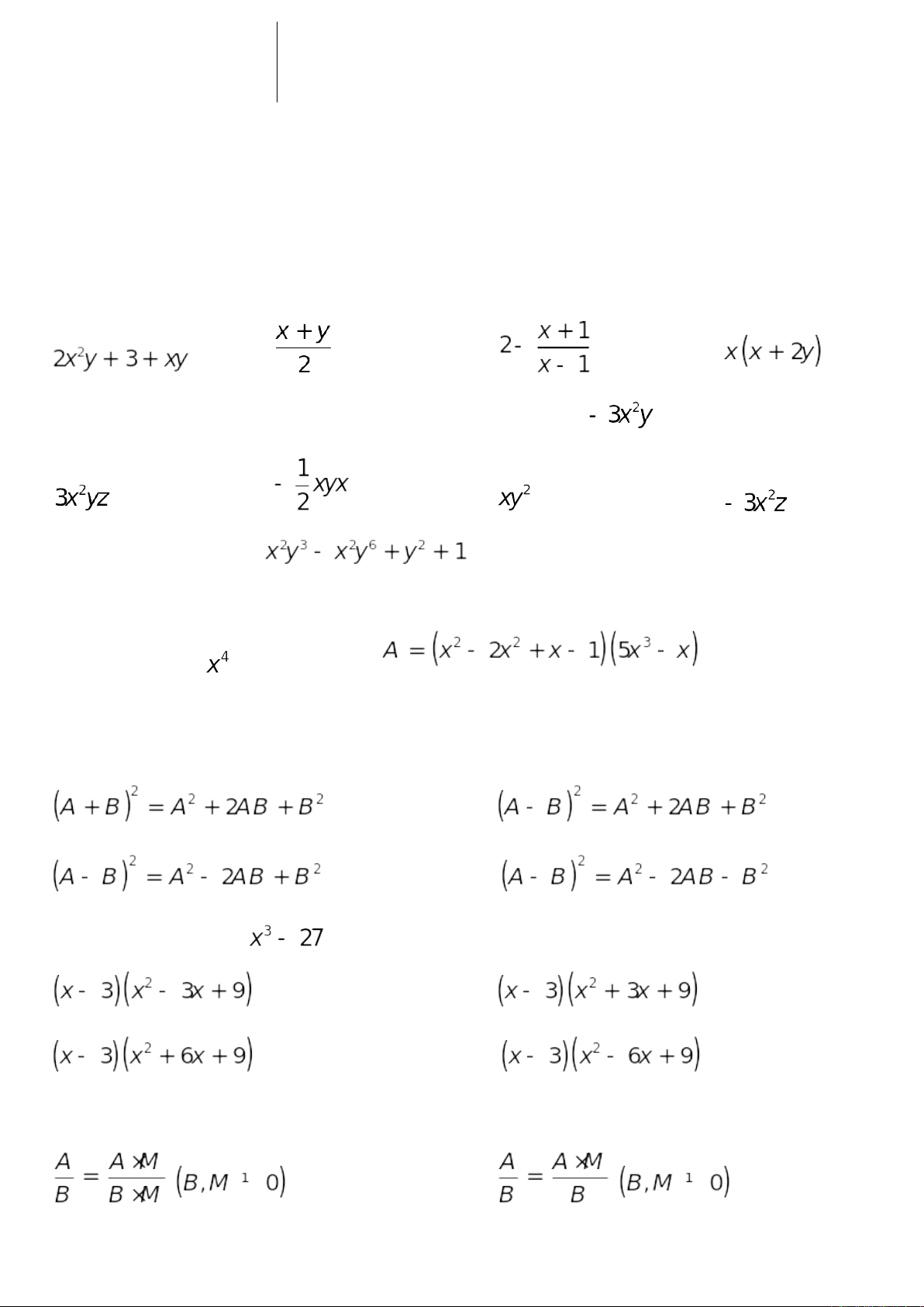
Câu 1: Bi u th c nào không ph i là đa th c trong các bi u th c sau?ể ứ ả ứ ể ứ
A. . B. . C. . D. .
Câu 2: Đ n th c nào sau đây đ ng d ng v i đ n th c ơ ứ ồ ạ ớ ơ ứ ?
A. . B. . C. . D. .
Câu 3: B c c a đa th c ậ ủ ứ là
A. 4. B. 5. C. 6. D. 7.
Câu 4: H s c a ệ ố ủ trong đa th c ứ là
A. 4. B. -4. C. -6. D. 6.
Câu 5: H ng đ ng th c bình ph ng c a m t hi u làằ ẳ ứ ươ ủ ộ ệ
A. . B. .
C. . D. .
Câu 6: Khai tri n c a ể ủ là
A. . B. .
C. . D. .
Câu 7: Đâu là tính ch t đúng c a phân th c đ i s ?ấ ủ ứ ạ ố
A. . B. .

C. . D. .
Câu 8: Phân th c ứ b ng v i phân th c nào sau đây?ằ ớ ứ
A. . B. . C. . D. .
Câu 9: Cho các mi ng bìa sau: ế
Mi ng bìa nào sau khi g p và dán l i thì đ c m t hình chóp t giác đ u?ế ấ ạ ượ ộ ứ ề
A. Hình 1. B. Hình 2. C. Hình 3. D. Hình 4.
Câu 10: Di n tích xung quanh c a hình chóp S.ABCD (hình ệ ủ
bên) g m di n tích nh ng m t nào?ồ ệ ữ ặ
A. M t ặ.
B. M t ặ.
C. M t ặ.
D. M t ặ.
Câu 11: M t cây cao 12 m m c c nh b sông. Trên ộ ọ ạ ờ
đ nh cây có m t con chim đang đ u và chu n b sà ỉ ộ ậ ẩ ị
xu ng b t con cá trên m t n c (nh Hình 1 và đ cố ắ ặ ướ ư ượ
mô ph ng nh Hình 2). H i con chim s bay m t ỏ ư ỏ ẽ ộ
đo n ng n nh t b ng bao nhiêu mét thì b t đ c ạ ắ ấ ằ ắ ượ
con
cá? (Bi t con cá cách g c cây 5 m và n c cao m p mé b sông). ế ố ướ ấ ờ
A. 12 cm. B. 13 cm. C. 15 cm. D. 18 cm.

Câu 12: Cho t giác ứ. Kh ng đ nh nào sau đây là sai?ẳ ị
A. và là hai c nh k nhau.ạ ề B. và là hai c nh đ i nhau.ạ ố
C. và là hai góc đ i nhau.ốD. và là hai đ ng chéo.ườ
Ph n 2. Câu tr c nghi m đúng sai ầ ắ ệ (2,0 đi mể)
Trong câu 13 và câu 14, hãy ch n đúng ho c sai cho m i ý a., b., c., d..ọ ặ ỗ
Câu 13: Cho hai bi u th c ể ứ và th a mãn ỏ
và .
a. Bi u th c ể ứ là đ n th c b c 3.ơ ứ ậ
b. V i ớ thì giá tr c a bi u th c ị ủ ể ứ b ng –18.ằ
c. Đa th c ứ có hai h ng t .ạ ử
d. Tích c a hai bi u th c ủ ể ứ và là .
Câu 14: Bác Khôi làm m t chi c h p g có d ng hình ộ ế ộ ỗ ạ
chóp t giác đ u v i đ dài c nh đáy là 2 m, trung đo n ứ ề ớ ộ ạ ạ
c a hình chóp là 3 m. Bác Khôi mu n s n t t c các m t ủ ố ơ ấ ả ặ
c a h p g . C m i mét vuông s n c n tr 30 000 đ ng ủ ộ ỗ ứ ỗ ơ ầ ả ồ
(ti n s n và ti n công).ề ơ ề
a. Di n tích m t đáy h p g là ệ ặ ộ ỗ .
b. Di n tích xung quanh c a kh i g là ệ ủ ố ỗ .
c. Di n tích c n s n là ệ ầ ơ .
d. Chi phí bác Khôi c n ph i tr là 420 000 đ ng.ầ ả ả ồ
Ph n 3. Câu h i tr c nghi m tr l i ng n ầ ỏ ắ ệ ả ờ ắ (2,0 đi mể)
Trong m i câu h i t câu 15 đ n câu 18, hãy vi t câu tr l i/ đáp án vào bài làm mà không c n ỗ ỏ ừ ế ế ả ờ ầ
trình bày l i gi i chi ti tờ ả ế .

Câu 15: Cho đa th c ứ.
Tính giá tr c a A t i ị ủ ạ .
Câu 16: Có bao nhiêu giá tr x th a mãn ị ỏ ?
Câu 17: Cho hình h p ch nh t có các kích th c nh hình v . ộ ữ ậ ướ ư ẽ
Tính th tích hình chóp tam giác đ u ể ề (đ n v : ơ ị ).
Câu 18: Cho hình v , bi t ẽ ế , . Tính s đo ố (đ n v : đ ).ơ ị ộ
B. T LU N Ự Ậ (3,0 đi m)ể
Bài 1. (1,5 đi m)ể Cho v i ớ.
a. Rút g n bi u th c ọ ể ứ .
b. Tính giá tr c a bi u th c ị ủ ể ứ t i ạ.
c. Ch ng minh ứ v i ớ.
Bài 2. (1,5 đi m)ể
1. Khi xây móng nhà, đ ki m tra xem hai ph n móng có ể ể ầ
vuông góc v i nhau hay không, ng i th xây th ng l yớ ườ ợ ườ ấ
( là đi m chung c a hai ph nể ủ ầ

móng nhà hay còn g i là góc nhà), r i đo đo n ọ ồ ạ n u ế thì hai ph n ầ
móng đó vuông góc v i nhau. Hãy gi i thích vì sao?ớ ả
2. M t kh i bê tông có d ng nh hình d i đây. Ph n d i c a kh i bê tông có ộ ố ạ ư ướ ầ ướ ủ ố
d ng hình h p ch nh t, đáy là hình vuông có c nh ạ ộ ữ ậ ạ , chi u cao ề. Ph n ầ
trên c a kh i bê tông có d ng hình chóp t giác đ u, chi u cao 10 dm .ủ ố ạ ứ ề ề
Tính th tích c a kh i bê tông đó.ể ủ ố
H NG D N GI I HO C ĐÁP ÁNƯỚ Ẫ Ả Ặ
A. TR C NGHI M Ắ Ệ (7,0 đi mể)
Ph n 1. Câu tr c nghi m nhi u ph ng án l a ch n ầ ắ ệ ề ươ ự ọ (3,0 đi mể)
Câu 1 2 3 4 5 6 7 8 9 10 11 12
Đáp án C B D A C B A D A B B C
Ph n 2. Câu tr c nghi m đúng sai ầ ắ ệ
Câu 13: a. b. c. d.
Câu 14: a. b. c. d.
Ph n 3. Câu h i tr c nghi m tr l i ng n ầ ỏ ắ ệ ả ờ ắ
Câu 15: -15
Câu 16: 3
Câu 17: 84
Câu 18: 30
S Đ Đ St
Đ S Đ S

