
Trang 1/4
TRƯỜNG THPT TRẦN BÌNH TRỌNG
Đề có 04 trang
ĐỀ THAM KHẢO THI THPT QG NĂM 2020
Môn: SINH HỌC
Thời gian làm bài: 50 phút, không kể thời gian phát đề
Câu 1: Ý nào sau đây không phải là đặc điểm của các công ty xuyên quốc gia?
A. Phạm vi hoạt động ở nhiều quốc gia . B. Có nguồn của cải vật chất lớn.
C. Chi phối nhiều ngành kinh tế quan trọng. D. Khai thác nền kinh tế các nước thuộc địa.
Câu 2. Những thách thức lớn đối với Châu Phi hiện nay là
A. cạn kiệt tài nguyên, thiếu lực lượng lao động.
B. già hóa dân số, tỉ lệ gia tăng dân số tự nhiên thấp.
C. trình độ dân trí thấp, đói nghèo, bệnh tật, xung đột.
D. các nước cắt giảm viện trợ, thiếu lực lượng lao động.
Câu3: Nhận định nào dưới đây không đúng với đặc điểm lao động nước ta?
A. Nguồn lao động dồi dào, tăng nhanh.
B. Đội ngũ công nhân kĩ thuật lành nghề còn thiếu nhiều.
C. Chất lượng lao động ngày càng được nâng lên.
D. Lực lượng lao động có trình độ cao đông đảo.
Câu 4: Vùng biển mà ranh giới ngoài của nó chính là đường biên giới quốc gia trên biển được gọi là
A. Nội thủy. B. Lãnh hải.
C. Vùng tiếp giáp lãnh hải. D. Vùng đặc quyền về kinh tế.
Câu 5. Cơ sở vững chắc cho sự phát triển kinh tế – xã hội ở mỗi quốc gia cũng như toàn khu vực Đông
Nam Á là
A. tạo dựng môi trường hòa bình, ổn định trong khu vực.
B. thu hút mạnh các nguồn đầu tư nước ngoài.
C. khai thác triệt để nguồn tài nguyên thiên nhiên.
D. tăng cường các chuyến thăm lẫn nhau của các nhà lãnh đạo.
Câu 6: Dạng địa hình chiếm diện tích lớn nhất trên lãnh thổ nước ta là
A. đồng bằng. B. đồi núi thấp. C. đồi trung du. D. núi cao.
Câu 7: Hướng vòng cung của địa hình nước ta thể hiện trong các khu vực
A. Tây Bắc và Đông Bắc. B. Trường Sơn Bắc và Trường Sơn Nam.
C. Tây Bắc và Trường Sơn Bắc. D. Đông Bắc và Trường Sơn Nam.
Câu 8. Căn cứ vào Atlat Địa lí Việt Nam trang 19, cho biết tỉnh nào sau đây có diện tích trồng cây
công nghiệp hằng năm lớn hơn cây công nghiệp lâu năm?
A. Gia Lai. B. Lâm Đồng. C. Đắk Lắk. D. Phú Yên.
Câu 9: Căn cứ vào Atlat địa lí Việt Nam trang 17, tính có GDP bình quân tính theo đầu người ( năm
2007) thấp nhất ở vùng Đông Nam Bộ là
A. Tây Ninh B. Bình Phước C. Bình Dương D. Đồng Nai
Câu 10: Căn cứ vào Atlat địa lí Việt Nam trang 17, khu kinh tế cửa khẩu nào không thuộc vùng Bắc
Trung Bộ?
A. Cầu Treo B. Bờ Y C. Lao Bảo D. Cha Lo
Câu 11. Cho bảng số liệu:
DIỆN TÍCH VÀ DÂN SỐ CỦA MỘT SỐ QUỐC GIA, NĂM 2017
Quốc gia
In-đô-nê-xi-a
Phi-lip-pin Mi-an-ma TháiLan
Diện tích (nghìn km
2
)
1910,9 300,0
676,6
513,1
Dân số (triệu người)
264,0 105,0 53,4
66,1
(Nguồn: Niên giám thống kê Việt Nam 2017, NXB Thống kê, 2018)
Theo bảng số liệu, nhận xét nào sau đây đúng khi so sánh mật độ dân số năm 2017của một số quốc
gia?

Trang 2/4
A. In-đô-nê-xi-a cao hơn Phi-lip-pin. B. Phi-lip-pin cao hơn Mi-an-ma.
C. Mi-an-ma cao hơn Thái Lan. D. Thái Lan cao hơn In-đô-nê-xi-a.
Câu 12: Khu vực chịu tác động mạnh nhất của gió mùa Đông bắc ở nước ta là
A. Đồng bằng sông Hồng. B. Vùng núi Tây Bắc.
C. Vùng núi Đông Bắc. D. Bắc Trung Bộ.
Câu 13: Chế độ dòng chảy sông ngòi nước ta thất thường do
A. độ dốc lòng sông lớn, nhiều thác ghềnh.
B. sông có đoạn chảy ở miền núi, có đoạn chảy ở đồng bằng.
C. chế độ mưa thất thường.
D. lòng sông nhiều nơi bị phù sa bồi đắp.
Câu 14: Yếu tố quan trọng nhất tạo điều kiện cho phát triển sản xuất nông nghiệp quanh năm, dễ dàng
áp dụng các biện pháp luân canh, xen canh, tăng vụ là
A. khí hậu phân hóa, có mùa đông lạnh. B. chế độ nhiệt đới ẩm dồi dào.
C. địa hình, đất đai đa dạng. D. nguồn nước và sinh vật phong phú.
Câu 15: Nguyên nhân quan trọng nhất dẫn đến sự suy thoái tài nguyên rừng của nước ta hiện nay là do
A. khai thác bừa bãi, quá mức. B. sự tàn phá của chiến tranh.
C. nạn cháy rừng. D. du canh, du cư.
Câu 16: Nhân tố nào dưới đây không tác động trực tiếp đến sự phân hóa lãnh thổ công nghiệp ở nước ta?
A. Vị trí địa lí . B. Tài nguyên thiên nhiên.
C. Khí hậu nhiệt đới ẩm gió mùa. D. Thị trường.
Câu 17: Cơ cấu công nghiệp phân theo nhóm ngành kinh tế ở nước ta đang chuyển dịch theo hướng
A. mở rộng sự tham gia của các thành phần kinh tế.
B. tập trung cho thành phần kinh tế Nhà nước.
C. giảm tỉ trọng của khu vực ngoài Nhà nước.
D. hạn chế thành phần kinh tế có vốn đầu tư nước ngoài.
Câu 18: Căn cứ vào Atlat địa lí Việt Nam trang 26, các trung tâm công nghiệp của vùng Đồng bằng
sông Hồng có quy mô từ trên 40 nghìn tỉ đồng trở lên là
A. Hưng Yên, Bắc Ninh. B. Hà Nội, Hải Phòng.
C. Hải Dương, Hưng Yên. D. Thái Bình, Nam Định.
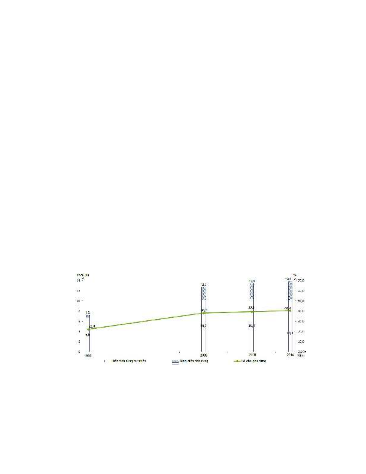
Câu 19: Cho biểu đồ sau:Diện tích rừng và độ che phủ rừng qua các năm của nước ta.
Căn cứ vào biểu đồ cho biết nhận xét nào dưới đây không đúng?
A. Diện tích rừng tự nhiên tăng nhanh hơn tổng diện tích rừng.
B. Độ che phủ rừng của nước ta tăng 18,4% và tăng liên tục.
C. Diện tích rừng trồng của nước ta tăng liên tục.
D. Diện tích rừng tự nhiên của nước ta tăng 3,3 triệu hecta, không liên tục.
Câu 20: Trong quá trình Đồi mới nền kinh tế nước ta hiện nay, giao thông vận tải có vai trò đặc biệt
quan trọng không phải vì
A. giúp cho quá trình sản xuất, các hoạt động xã hội diễn ra liên tục, thuận tiện.
B. sản xuất ra một khối lượng của cải vật chất lớn cho xã hội.

Trang 3/4
C. tạo ra mối liên hệ kinh tế - xã hội giữa các địa phương, với cả thế giới.
D. tăng cường sức mạnh an ninh quốc phòng cho đất nước.
Câu 21: Trong cơ cấu GDP phân theo ngành kinh tế, có tỉ trọng giảm nhưng vẫn luôn giữ vai tro chủ đạo là:
A. kinh tế có vốn đầu tư nước ngoài. B. kinh tế Nhà nước.
C. kinh tế ngoài Nhà nước. D. kinh tế tư nhân.
Câu 22: Nhân tố quan trọng nhất khiến cho kim ngạch xuất khẩu của nước ta liên tục tăng trong những
năm gần đây là
A. điều kiện tự nhiện thuận lợi. B. mở rộng thị trường và đa dạng hóa sản phẩm.
C. nguồn lao động dồi dào, chất lượng cao. D. cơ sở vật chất- kĩ thuật tốt.
Câu 23: Căn cứ vào Atlat Địa lí Việt Nam trang 4-5 , trong số 7 tỉnh biên giới trên đất liền giáp với
Trung Quốc không có tỉnh nào sau đây?
A. Lạng Sơn. B. Hà Giang. C. Cao Bằng. D. Sơn La.
Câu 24: Dựa vào Atlat Địa lí Việt Nam trang 22, hãy cho biết nhà máy điện chạy bằng dầu có công suất
lớn nhất hiện nay là
A. Phú Mỹ. B. Phả Lại. C. Hiệp Phước. D. Hoà Bình.
Câu 25: Dựa vào Atlat Địa lí Việt Nam trang 24, hãy cho biết mặt hàng có tỉ trọng giá trị nhập khẩu lớn
nhất của nước ta năm 2007 là
A. máy móc, thiết bị, phụ tùng. B. công nghiệp nhẹ và tiểu thủ công nghiệp.
C. nguyên, nhiên, vật liệu. D. hàng tiêu dùng và tiểu thủ công nghiệp.
Câu 26: Dựa vào Atlat Địa lí Việt Nam trang 6 - 7, hãy cho biết ranh giới tự nhiên của hai miền Nam -
Bắc của nước ta là dãy
A. Hoành Sơn. B. Trường Sơn. C. Bạch Mã. D. Con Voi.
Câu 27. Dựa vào Atlat Địa lí Việt Nam trang 9, hãy cho biết vùng nào sau đây chịu ảnh hưởng mạnh
nhất của gió Tây khô nóng ở nước ta?
A. Duyên hải Nam Trung Bộ. B. Bắc Trung Bộ.
C. Tây Nguyên. D. Trung du miền núi Bắc Bộ.
Câu 28: Để phát triển chăn nuôi trâu,bò, vùng Trung du và miền núi Bắc Bộ chưa cần thiết phải
A. cải tạo các đồng cỏ để giải quyết nguồn thức ăn.
B. đa dạng các sản phẩm chăn nuôi.
C. phát triển giao thông vận tải để gắn với thị trường tiêu thụ.
D. tăng cường hợp tác với các nước láng giềng để trao đổi kinh nghiệm.
Câu 29: Việc hình thành cơ cấu kinh tế nông – lâm – ngư nghiệp ở vùng Bắc Trung Bộ không phải do
A. lãnh thổ kéo dài hẹp ngang.
B. đồng bằng nhỏ hẹp, một bên là núi, một bên là biển.
C. phát huy được thế mạnh của các khu vực và bảo vệ được tài nguyên.
D. hạn chế được sự phân hóa giữa các khu vực.
Câu 30: Nhân định nào dưới đây chưa chính xác khi nói về vùng Duyên hải Nam Trung Bộ?
A. Các đồng bằng nhỏ, hẹp bị các nhánh núi ăn ngang ra biển chia cắt.
B. Tài nguyên khoáng sản phong phú, đặc biệt là các mỏ dầu khí ở thềm lục địa.
C. Mang đặc điểm của khí hậu Đông Trường Sơn.
D. Các sông có lũ lên nhanh, mùa khô sông ngòi ít nước.
Câu 31: Nghề nuôi tôm hùm, tôm sú trong vùng Duyên hải Nam Trung Bộ phát triển nhất tại các tỉnh
A. Quảng Nam, Quảng Ngãi. B. Ninh Thuận, Bình Thuận.
C. Phú Yên, Khánh Hòa. D. Khánh Hòa, Ninh Thuận.
Câu 32: Loại khoáng sản có trữ lượng lớn nhất ở vùng Tây Nguyên là
A. Than bùn B. Bôxit C. Đá quý D. Sắt
Câu 33: Điều kiện thuận lợi hàng đầu giúp Tây Nguyên trở thành vùng chuyên canh cây công nghiệp
lớn là
A. đất badan tập trung thành vùng lớn. B. hai mùa mưa khô rõ rệt.
C. nguồn nước ngầm phong phú. D. độ ẩm quanh năm cao.

Trang 4/4
Câu 34: Giải pháp quan trọng nhất để tránh rủi ro trong việc mở rộng các vùng sản xuất cây công
nghiệp ở Tây Nguyên là
A. quy hoạch lại vùng chuyên canh. B. đa dạng hóa cơ cấu cây công nghiệp.
C. đẩy mạnh khâu chế biến sản xuất. D. tìm thị trường sản xuất ổn định.
Câu 35 : Qua bảng số liệu về sản lượng lúa gạo của Đông Nam Á( triệu tấn)
Năm 1985 2000 2001 2002 2004
Sản lượng 100 135 140 142 161
Nhận xét nào sau đây không đúng khi nhận định tình hình sản xuất lương thực của Đông Nam Á ?
A. Sản lượng lúa gạo tăng giảm không ổn định.
B. Sản lượng lúa gạo tăng chậm nhất từ năm 2001- 2002.
C. Sản lượng lúa gạo tăng liên tục.
D. Sản lượng lúa gạo tăng nhanh nhất từ năm 2002 - 2004.
Câu 36: Vấn đề không đặt ra đối với việc phát triển công nghiệp ở vùng Đông Nam Bộ hiện nay là
A. mở rộng quan hệ đầu tư với nước ngoài. B. quan tâm tới vấn đề môi trường.
C. hạn chế phát triển các khu công nghiệp. D. tránh làm tổn hại đến ngành du lịch.
Câu 37: Vấn đề cần giải quyết khi khai thác lãnh theo chiều sâu trong nông nghiệp ở vùng Đông Nam Bộ là
A. thủy lợi. B. thị trường. C. lao động. D. vốn.
Câu 38: Phương châm “ sống chung với lũ” ở vùng Đồng bằng sông Cửu Long nhằm
A. khai thác các nguồn lợi về kinh tế do lũ hằng năm đem lại.
B. thích nghi với sự biến đổi của khí hậu.
C. thay đổi tốc độ dòng chảy của sông.
D. giảm bớt các thiệt hại do lũ mang lại.
Câu 39. Cho biểu đồ
CƠ CẤU GDP PHÂN THEO THÀNH PHẦN KINH TẾ NƯỚC TA QUA CÁC NĂM (%)
Nhận xét nào sau đây đúng với biểu đồ trên?
A. Tỷ trọng kinh tế nhà nước và kinh tế có vốn đầu tư nước ngoài tăng, kinh tế ngoài nhà nước giảm.
B. Kinh tế ngoài nhà nước luôn chiếm tỷ trọng lớn nhất và đang có xu hướng tăng lên.
C. Tỷ trọng kinh tế nhà nước và kinh tế ngoài nhà nước tăng, kinh tế có vốn đầu tư nước ngoài giảm.
D. Kinh tế có vốn đầu tư nước ngoài chiếm tỷ trọng nhỏ nhất nhưng đang có xu hướng tăng nhanh.
Câu 40. Cho bảng số liệu: TỔNG SẢN PHẨM TRONG NƯỚC ( GDP) PHÂN THEO KHU VKINH TẾ
CỦA NƯỚC TA( Đơn vị : nghìn tỉ đồng )
Năm
Tổng số
Chia ra
Nông-lâm-ngư nghiệp Công nghiệp và xây dựng Dịch vụ
2005 914,0 176,4 348,5 389,1
2013 3 584,3 658,8 1 373,0 1 552,5
Để thể hiện quy mô và cơ cấu GDP phân theo khu vực kinh tế ở nước ta năm 2005 và năm 2013, biểu
đồ nào sau đây thích hợp nhất ?
A . Biểu đồ đường. B . Biểu đồ cột. C . Biểu đồ miền. D . Biểu đồ tròn.
---------------------- HẾT ----------------------

Trang 5/4
ĐÁP ÁN
1 2 3 4 5 6 7 8 9 10 11 12 13 14 15 16 17 18 19 20
A C D B A B D D A B B C C B A C A B A B
21
22 23 24 25 26 27 28 29 30 31 32 33 34 35 36 37 38 39 40
B B D A C C B D D A C B A D A C A A D D
MA TRẬN ĐỀ ĐỊA LÍ -2020
CHỦ ĐỀ NB TH VDT VDC TỔNG
CỘNG
- Địa lí khu vực và quốc gia 0 2 0 0 2
- Địa lí dân cư 1 1 0 0 2
- Địa lí tự nhiên 3 2 0 0 5
-Địa lí các ngành kinh tế 1 1 3 1 6
-Địa lí các vùng 0 1 5 4 10
- Thực hành và kĩ năng 8 3 2 2 15
TỔNG CÂU 13 10 10 7 40

