
•
LlfC
LAPLACE
•
L~
LAPLACE mc
d1,lng
len
mi)t
ph.dn tii'
v~t
din, co
th~
tich
nguyen
to'
dr,
co
mi)t
dong
difn
vOi
m~t
di) dong
th~
tich ] di
qua
va dmyc tf;)t
trong
mi)t tir
trWog
Ii,
se
co
cb,mg
:
d/t
j d r
1\
fl,
dit
= ]
sdS
1\
fl,
ho~c
III
d/t
Idll\.
fl,
toy theo
mo
hinh
phanoo
cac dong
di~n
rna
ta
xet.
• Khi
mi)t
m.l;\ch
di~n
dmyc nhung
trong
mi)t
tirtrWog
d~u,
thi
toocSO'
(torseur)
eua
cac
I~
LAI'LACE quy
vi
m(lt
ngau
I~
co
momen
:
.At
I\.
Ii,
trong
do, S la
vectO'
difn
tlch ket
hqp
vOi
dWog
chu
vi
mo ta
m.l;\ch
difn,
va
J£
= I S
Is
momen tir
cua
no.
Trong mt)t tir
trWog
khOng
diu,
mt)t
m.l;\ch
di~n
nM
se
ch~u
mi)t
I~,
trong
giln dung
b~c
nhat,
bing
:
30

Bai
tQP
Ap
DUNG
TRue
TlEP
BAI
GIANG
1
M~t
eau
ph6ng
x~
MOt
m~t
du
ph6ng
Xi;!
nho
ban
kinh
a,
hie
dAu
trung
bOa
di~n,
pMt
Xi;!
d~ng
hu6ng
n
di~n
tich q trong
dO'l1
vt thm gian, v6i
v~n
toc
xuyen
tam
v
co
dO
dai v
khong doi.
Hay
xac dinh 0
mOt
thai
di~m
t,
Sl,l'
pMn
bo
cac
di~n
tich
va
dong
di~n
tU'O'llg
Ung.
2 Thai gian tfeh
thoat
ella
mQt
moi
tnrang
thuan
tro
Trang
bai
t~p
nay, tat
ca
cae
tnrong
vecta
dUQ'c
khao
sat,
deu
hu6ng
song song v6'i
tn,Ic
(Ox).
1)
M9t
th&i
giao
tich
thoat
ki
I~
a)
MOt
moi tnrong thuAn tro,
dO
dan
di~n
y,
co
mOt
pMn
bo
di~n
tich khoi
Po(x)
=
p(x,
t = 0)
ban
dAu
khong
dong
nhat
khong.
BAng
cach
si'r
dl,U1g
mOt
m~t
GAUSS
thich
hQ'P,
ta lien ke't
dUQ'c
Sl,l'
bie'n doi khong .
gian
cua
di~n
tnrong E = E(x, t)ex v6i
di~n
tich khoi
p(x, t)
cua
moi tnrong
(eM
y : a;nh ly GAUSS
co
the
au9'c
ap
dl,mg
(t
che
ao bien thien).
b)
BAng
cach
dimg
dinh
lu~t
OHM,
ta
co
th~
suy
ra
dtnh
lu~t
gi
ve
SI,I'
bie'n doi
cua
di~n
tich khoi p(x, t)
khi
co
baa
toan
di~n
tich ?
Moi tnrong
se
tien
tri~n
ve
tri;!ng
thai
nao
?
Sau
mOt
thai
gian
d~c
tnmg
T la
baa
nhieu
d~
co
th~
coi moi tnrong
da
mat
ki
Uc
ve
tri;!ng
thai
ban
dau
cua
no?
c)
Hay
bii.~u
tht
dO
16'n
cua
thai
gian
d~c
tnmg
T,
ke't
hQ'P
v6'i
SI,I'
tich thoat nay.
Li~u
dinh
lu~t
OHM
co
th~
ap
dl,U1g
co
hi~u
qua
d~
nghien
CUu
che'
dO
qua
dO
nay
khong ?
2)
Mo
hioh
DRUDE
Muon
hi~u
chinh
SI,I'
khong
ch~t
cM
cua
ket
qua
noi
tren,
ngum
ta de nghi ap
dl,U1g
cho
moi tnrong
dan
di~n
(co n
ph
An
ti'r
linh dOng
mang
di~n
dch
q
va
khoi
lUQ'l.1g
m trong
dO'l1
vi
th~
tich)
mo
hinh
DRUDE
(xem
§4.'t.2.). Nh6'
dng
-ria thai
gian
uch
thoat
ket
hQ'P.
So
n
pMn
ti'r
mang
linh dOng trong
dO'l1
vj
th~
tich
khong
th~
khong
dOi,
vi p
bien
doi nhlnlg trong
thl,l'C
te, ngtn'ri ta thira
nh~n
dng
dO
bien thien
tU'O'llg
doi
cua
no
C1,1'C
ki yeu.
a)
Trang khi tiep
Wc
vi~c
nghien
cUu
noi tren,
bi;ll1
hay
bH~u
thi phuong trinh bien doi cua
di~n
tich p(x, t)
rna
hi;ll1
co
dUQ'c
hAng
cach
si'rdl,U1g
quan
di~m
mm nay.
31
b)
Thai
gian nao 0 day,
ke
ca
cap
dO
16'n,
d~c
trlnlg
cho
SI,I'
mat
ky
Uc
cua
v~t
dan ?
Thm
gian nay
co
the so sanh
dUQ'C
v6'i thm gian T thu
dUQ'c
tru6'c day khong ?
D(lli~u
: moi truOng thulln tro la dong, co
dO
dan
di~n
y
~
6.10
7
S.
m-
1 va thm gian uch thoat
""
=
10-
14
s.
3 * Hai moi
tnrang
thuan
tro
tiep xue nhau
Hai moi tnrong thuan tro,
co
dO
dan
di~n
Yl
va Y2,
choan
Ian
lUQ't
cae
mien
z < 0
va
z >
o.
a thai
di~m
t = 0, M
nay
cmu
tae
dl,U1g
cua
mOt
di~n
tnrong deu
Eo
=
Eoe
z .
Ta
gia thiet
dng
cac
thai
gian tich thoat
""I
va
""2
(dUQ'c
xac dinh trong mo hinh
DRUDE)
cua
hai moi
tnrong 0 day deu khong dang
k~.
1) a thai
diem
ban
dAu,
cac
m~t
dO
dong
di~n
the
tich
]1
va
]2
trong
cac
moi tnrong 1
va
2
co
gia tri
baa
nhieu ?
Til
SI,I'
can
bAng
cae.
di~n
tich, suy
ra
rAng
se xuat
hi~n
tren
m~t
phing
z = 0
mOt
m~t
dO
di~n
m~t
a rna ta se
lien ke't v6'i
]1
va
]2.
2) Til do suy
ra
phU'O'llg
trinh vi
pMn
nghi~m
dUng
a
va
nghien
CUu
che
dO
qua
dO
tU'O'llg
Ung.
Chi dinh
tri;ll1g
thai
nh~n
dUQ'C
0 cu6i
che
dO
qua
dO.
Bi~n
lu~n
ve
Sl,l'
phil
hQ'P
giua
cac
ket
qua
nh~n
dUQ'C
v6'i
mo
hinh da
si'r
dl,U1g.
4
Hi~u
lIng
tu
tro
trong
mQt tam dan
di~n
MOt
moi tnrong thuAn
tro
v6i thm
gian
tich thoat r
co
n
di~n
tich
dan
(di~n
tich q va khoi
htQ'l1g
m) tren
dO'l1
vi the tich.
MOt
hi~u di~n
the
se
t;~o
ra
mOt
di~n
tnrong
E(M)
0
mQi
diem
M
cua
moi tnrong nay.
1)
Tim
dO
dan
di~n
Yo
cua
moi tnrong.
2)
MOt
til tnrong B =
Boe
z
dUQ'c
ap vao moi tnrong.
ChUng minh
rAng,
0
che
dO
khong d6i,
vecta
m~t
dO
dong
di~n
th~
tich
co
the
dUQ'C
viet du6i
di;!ng
] =
[y]E
,
bAng
cach
neu
rO
rang rna
tr~n
[yJ
bien doi
thea
dO
dan
di~n
Yo
va xung dOng cyclotron
we
dUQ'c
xac dinh
thea
we
=
qBo
m
Ngtn'ri ta dimg cac toa
dO
Descartes.

3)
Moi
tnn"mg
ehoan
..!!.L-
khong gian giita cae mat
ph1ng
(x
=
0)
va
(x
= a).
No
ehiu
mOt
hi~u
di~n
tM:
Ua =
U(x=
O)-U(x=
a).
Tim
di~n
tro-
Ro
eua
mOt
tit~t
di~n
S eua moi
tnn"mg
dan
di~n
nay khi khong co
tir
tnn"mg
?
4)
'lim
gia tri mai R eua
di~n
tro-
eua vat dan noi tren
khi co
tir
t.ruOng
B
Boe
z?
So sanh gia tri nay vai
Ro
d6i vai
mOt
moi
tnn"mg
kim
lo~i
khi
tir
tnn"mg
Bo
= 1
T.
Cilo
: q =
-e
=
1,6.10-
19
C,
m
~
9,1
. 10-
31
kg
va
r~
10-14
S.
5
f)i~n
tra gifra hai
v~t
dAn
hinh
tn,l,
Sl{
tuang
tl{
nhi~t
Hai hlnh
IIV
dan
di~n
d6ng
lIVe,
co
ehi~u
eao h va cae
ban kinh Ian
IUQ't
Ill.
R1
va
R2,
dUQ'e
ngan each nhau
bo-i
mOt
mbi
tnn"mg
dan
di~n
thuan
tro-
co
dO
dan
di~n
y.
MOt
dong dien I se
eht,ly
trong
h~
khi
ta
ap vao
mOt
hieu
di~n
the
U.
1) Xac dinh
di~n
tro-
R cua
h~
nay bang hai phuong
phap khac nhau
(ngtn"ri
ta bo qua moi
hi~u
lIng
ber).
2) Hay dua fa
mOt
st,r
tuung
tt,r
v6i.
tinh hu6ng hinh
hoc tuung
Ung
vai
mOt
hien
tUQ'flg
dll.n
nhi~t,
0-
ehe
dO
khong ddi, trong
mOt
mbi
tnn"mg
th6a man dinh luat
FOURIER
va
dO
dll.n
nhi~t
"'-.
lim
nhiet
tro-
Rth
tuung
lIng
?
6
Hi~u
ung
tfr
tra
gifra hai
v~t
dAn
hinh
tn,l
Di¢n
tro-
noi tren
dUQ'c
nhUng
vao
mOt
tir
t.ruOng
dcu
va
khbng doi B =
Boc
z .
f)i~n
tnn'mg
van
con xuyen
tam,
nhmg
st,r
pMn b6 cae
dU'l.'rng
dong da bien
ddi
do
st,r
co
mat
eoa
tir
trtn"rng.
1) Xac dinh veCla mat
dO
dong dien the tich J mai.
Ta co
th~
ghi
nha
)J
Ill.
dO
linh
dOng
eua cae
m
phan
tiI
mang
di~n
tich (di¢n tich q
va
kh6i
IUQ'flg
m)
eua
moi
tnn"mg
thulln
tro-
va
bi~u
thi j Mng eae
thanh pMn eua
no
trong
ecy
sO-
toa
dO
tIl,l
Cep
eo,
e
z)
.
2)
lim
bieu
th(rc
m6i.
eua
di~n
tro-
eua
h~
?
So sanh
di~n
tro-
nay
v6i.
gia tri
di~n
tro-
khi
khOng
co
tir
tnn"mg,
Mng cach
dUng
eae
elip
dO
100
doi vai
mOt
vat dan tot
va
mOt
tir
tnn"mg
10 tesla.
Cho;
q =
-e
=1,6.10-
19
C,
m
~
9,1.
10-
31
kg
va
t'~
10-14
s.
7 Dao
dQng
cua
mQt
nam cham nho
MOt
nam cham
nM
kh6i
lUQ'flg
m,
momen
tir
uf(,
dUQ'e
treo
eUng
0-
dliu
P eua thanh
OP
ehicu dai L
va
khoi
lUQ'flg
khong dang ke. N am cham eo
tM
th\)C
hien cae
ehuy~n
dOng
quay trong mat ph1ng
thAng
dUng,
chung quanh
tIl,le
nam ngang (Oz) (trong su6t
thm gian eae dao dong eua
h~,
vI(
luon luon vuong
goe vai
OP).
He
dUQ'e
nhUng
trong
mOt
tir
tnn"mg
B =
Rex'
d~u
va
nam ngang. Ta bo qua eae
1\)C
rna sat.
Bi~n
luan
vc
st,r
bien ddi eua ehu ld eae dao
dOng
nho
eua
he,
quanh
vi
tri can Mng Mn, theo
sO'
do
d~i
s6 B
eua
tir
tnn"mg
(B eo
th~
duung hay 1m).
i
-
VAN
DUNG
VON
KI(N
THU(
B *
Tuang
tac gifra hai yang day
Hai vong
d1y
tron, ban kinh RJ
va
R2, trong eo eae
dong
di~n
I va i
eh~y
qua, co
eUng
mOt
tIl,le
(Oz).
Vong thu hai co ban kinh
R2
nho so
v6i
R1
va
khoang each d giua hai
mt,leh
dien
(R
2«
R1
va
R2
«d).

I
•...............
'.
...
,.
.........
a
z
d
Hay
tirm
h,rc
tuong
tac
do vong nay tac
d1,ll1g
len vong
kia:
a)
bang
cach
tinh til truOng do vong to
t~o
ra
t;.ti
mOt
di~m
cua
vong nho ;
b)
biing
cach
coi
vong
nho
nhu
mOt
luUng
Cl,lC
til chiu
tac
d1,ll1g
cua
til truOng do vong
Ian
glly fa ;
c)
bang
cach
dUng til truOng do vong nho
t~o
fa
~i
mOt
diem
cua
vong
Ian.
9 *
Hi~u
ling
HALL trong m9t day
din
hinh tr\l
1)
MOt
hlnh tf\l,
day
tron
ban
kinh a
va
tf\lc (Oz),
c6
mat
dO
dien ttch
mat
0-
0-0
cosO,
trong
t<.>a
dO
tIl)
co
tf\lc (Oz).
a)
ChUng
minh ding
mOt
ph1ln
b6
nhu
vliy co
tM
coi
la
gim han, khi b tien tm
0,
cua
SI!
chOng
cMt
cua hai
hirih
trv
co
trvc
(OlZ) va
(02
Z
) , mang cac dien
Uch
tren
don vi
tM
Ueh
(dien
Ueh
kh6i) tuung
Ung
la p va -po
Cac
diem
01
va
O2
fJ
tren trvc (Ox)
e6
hoanh
dO
b b
xl
=-
va
X2
=
2 2
Xac
dinh
he
th(rc
giO'a
0-0'
P
va
b.
b)
Tlrlh dien truOng sinh fa bfJi hai hinh
tIl)
nay,
sau
d6 tinh dien truOng do
hinh
tIl)
mang
m3.t
dO
dien
m~t
a(
8) glly fa.
2)
MOt
day
dlin thang, hinh
tIl)
ban
klrlh a
va
trvc
(Oz), thuan
trfJ
vm
dO
dlin dien
r(e6
n
pMn
til mang
dien tich q linh
dong
trong
don
vi
th~
Ueh), ehiu tae
d1,ll1g
eua
mOt
dien truOng Ii =
Eoe
z
(Eo>
0)
va
mOt
til truOng B
Boe
y
(Eo
> 0
).
a)
Hay
giai thicp
dinh
tinh Sl!
xu1ft
hien
cac
dien tich
mat
trM
hinh tf\l,
va
xae
djnh
gia
tri
eua
oien truOng
HALL
ben
trong hinh tf\l,
fJ
cM
dO
khong doL
b) ChUng to rang
cae
ket qua
dwe
thie't llip khi giai
quye't eau hoi
thCr
nhat, cho phep de xuat
mOt
each
mO
ta
eM
dO
khOng
dOi
noi tren.
Hay
xae
dinh
gia
tQ
cua
~t
dO
dien
m~t
0-0'
d~c
trung cho trang thai nay.
LUIGIAI
1 a
thOi
diem
t,
m!t
du
dii
pMt
Xii
m(}t
di~n
tfeh
bffng
nqt
.
Nguyen
If
bao
toan
di¢n
tfeh
keo
thea
di~n
tfeh
eua
mit
cclu
cY
thOi
diem
t
Ja
Q(O
=
-nqt.
M(}t
di~n
tieh
duve
phit
ra
a
thOi
diem
0
dii
di
duve
quiing
dur'mg
vt.
vgy
di?n
tich
duve
pMt
ra
nim
gilia
cac
mit
cclu
bin
kinh
a
va
a +
vt.
Thimh
thit
viii
r>
a+
vt,
thi
ta
co
p = 0
va
J 5 .
Bay
giii
ta
xet
cae
gill
{rt
r
trong
khoang
gilia
a
va
a +
VI.
Gilia
die
mit
cclu
ban
kinh
r
va
r +
dr
tiln
{{Ii
cac
di¢n
tlell
duve
pMt
ra
gilia
cae
thOi
die'm
:
r-a,
r+dr-a
t-
va
t----
v v
Di€u
d6
tl1071g
ling
viii
m(lt
di¢n
tieh:
dr
dQ=nq-.
v
Sf!
phil
xii
1a
ding
hurfng,
nen
mgt
d(}
di¢n
tleh
e6
tlnh
ddt
xling
du
va
co
gifl
trj :
p(r,
0=
Mpt
d(}
nay
khong
phI)
thu(}e
VaG
thOi
gian
t a
trang
mi€n
khOng
glan
ma
de
di¢n
tieh
duve
phit
'xfl
tir
thOi
diem
ban
diu
di
((n.
Ta
e6
the'thit
nghi¢m
bie'u
tMc
:
J
al-vr
a p(r)4rrr2
dr
nqt
bie'u
dien
di¢n
tieh
do
mifl
eiu
phfit
ra
giiia
IhOi
diem
ban
diu
va
thOi
diem
t,
Tir
d6
suy
ra
mPt
d(J
dong
di~n
the'tfeh
:
- ) _ _ _
nqe[
j =
j(r,
t e[
Pm
V
p(t,
t)
VCr
=
4,n
2
Thong
Jur;mg
eua
no
duve
baa
taim
tmng
mi6n
a < r < a +
vt,
tmng
d6
dong
eMy
cae
di~n
tich
1a
khong
dm.
Dbi
vlli
trur'mg
veet(]
xuyen
t.lim
nay,
phl1071g
tn'nh
div
T 0
con
dUVC
the'
hi¢n
biJi
:
I a ( 2
')
0
-
-r
]
r2
ar
Ddi
v6i
bai
toan
ddi
xling
du,
thi
m(}t
trur'mg
xuyen
tam
e6thOng
lU'(!llg
biio
lOan
se
co
d~g
K
(xem
ph\ll\lc).
E(x
+
dr,
/)
ex
2
1)
a)
Di~n
trur'mg
hurfng
thea
trl)e
(Ox),
ta
xet
m(}t
mIt
GAUSS
dflng
hinh
h9P,
co
cac
eflnh
sang song
vlli
cac
trl)e
(Ox),
(Oy),
(Oz)
va
eo
hal
mit
di¢n
tfeh
S a
cae
hoanh
df;
x
va
x+dx.
x+dx
x

Dinh
if
GAUSS
eho
a
day:
SE(
)
SEt
d)
pSdx
h-
l'
aE(x,
t) p(x, t)
- x + x + x
==--
ng
la
a
==
--.
So
ax
So
b)
IJinh
lu~t
OHM
cho
pMp
vi€t
j =
j(
x,t)e
=
rE(
x,t)e
x x
va
S!l
bllo
toan
m~n
tieh
dur;rc
tM
hi.en
qle
b9
bOi
:
aj(x, t) + ap(x, t)
=0
ax
at
Tilda.
suy
ra
phuang
tn'nh
bien
dill :
ap(x,
t)
+ rp(x, t) 0
at So
ma
nghi~m
gilun
theo
ham
mii
v~
khOng,
vOi
(hOi
gian
d.ae
tnmg
Y
c)
D6i
rOi
mpt
chOt
din
di?n
t6t
nhu
dOng,
dp
din
di?n
ia
:
07 S
-I
r=6.1
.m,
thi
ta
dur;re
T
~
10-
19
s.
Tuy
nhien,
ta
biet
rling
djnh
luP(
OHM
chi
cO
1M
ap
dllng
dur;rc
d6i
vOi
cae
{hOi
gian
dpc
trung
eho
SI!
bitn dill
Ja
J(m
so
vOi
thOi
gian
tfch
thoat'"C
cua
mo
hl'nh
DR
ODE.
Nhu
v~y
ktt
qua
nay
khOng
co
f
nghia
quan
(n;mg,
vi
no
nJm
trong
ph{l1Il
vi
ma
mo
hl'nh
aa
dUng
de"
thu
dur;re
no
J{li
ro
rang
Ja
khOng
tM
ap
dllflg
dur;rc
(vi
r=
1O-
14
S).
2)
a)
Ta
coi
phuung
tn'nh
bien
dill
v~
tBe
toan
b9
v
==
vex
eila
cae
di~n
deh
linh
d.ong
a
day
ia
cila
cac
eJectron
co
m?n
tfeh
-e
:
dv v
eE
-+-=--.
dt
T m
Vecta
II1!it
dp
dong
di~n
J -nev
trong
do,
n
bign
(hien
khOng
dfmg
k£
nen
co
thi
coi
nhu
mpt
h~
s6
khOng
dill.
aj j
nezE
Tildosuyra:
-+-==--
at
r m r
M,v kh' aE(x, t)
ill
ae
ax
t)
va
aj(x, t) + ap(x, t)
==0
.
So
ax
a~
Vi
v~y,
phuung
tn'nh
bign
dill
mpt
dp
m.en
khfi
cila
moi
tnimg
la
:
aZ
p 1 ap 1
0"
T
Eo
-+-
-+-P==
V07
all
T
at
l'
T r
b)
Vi
T«
l'
,
nen
chi
d(J
qua
d(J
tuung
(mg
la
gia
wOn
hoan,
va
thOi
gian
diic
tnmg
cho
SI!
giam
theo
ham
mii
cua
eac
dao
d(mg
mpt
d(J
di~n
deh
bling
1'.
ThOi
gian
d.ac
trung
nay
biiu
hi~n
dung
nhu
thili
glan
deh
thotH
eua
moi
tnimg :
sau
m(Jt
s610n
1',
mol
tnimg mit
di
ki
Uc
v~
{fi1ng
thili
ban
dOu
bi
nhi§u
JOjln
eila
no
va
rOi
no
tra
r§
trjlng
thili
(rung
bOa
dien.
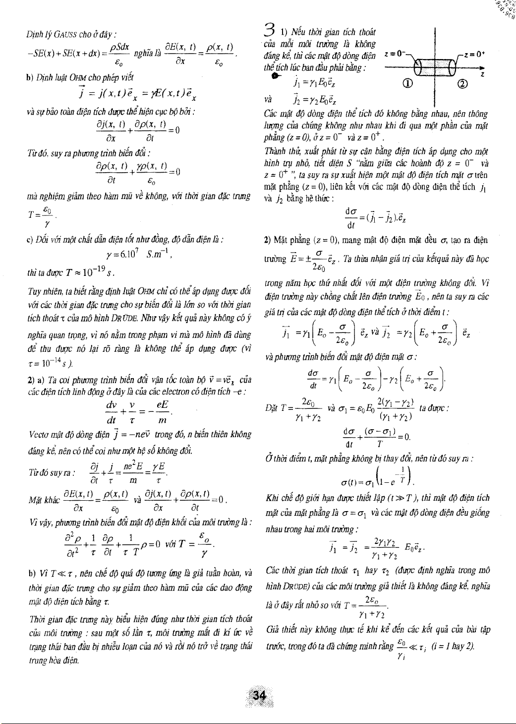
3
1)
Ngu
thOi
gian
deh
thoat
.
cila
m6i
mm
tnimg
la
khOng
dfmg
k!,
thi
cic
mPl
rip
dong
di~n
z = 0-
tM
dch
1uc
ban
dJu
phlJi
bling
:
z=O+
..
j] =rlEoez
CD
z
va
12
=rzEoez
Cac
mpt
dp
dong
mpn
thi
dch
do
khOng
bling
nhau,
nen
thOng
Juvng
cila
chUng
khOng
nhu
nhau
khi
di
qua
m(Jt
phOn
cila
mift
phing
(z
=
0),
II
z = 0-
va
z =
0+
.
Thanh
thu;
xuit
philt
tir
S!l
can
bling
difn
dch
ap
d!1flg
eho
m(Jt
hl'nh
fr!J
nhO,
tjee
dipn
S
"n~
giiia
cic
hoanh
11.0
z = 0-
va
z =
0+
H,
ta
suy
ra
SII
xuit
hipn
mot
mpt
do
dipn
dch
mift
O'iren
m~t
phbg
(z
==
0),
lien
kel
v6i
cae
m~t
d9
dong
di~n
th~
rieh
jl
va
h
b~ng
he
thoc
:
dO'
"7
"7)
_
-==(jl
-12
.e
z
dt
2)
M~t
phbg (z
==
0),
mang
m~t
dp
di~n
~
d~u
0;
t;lO
fa
di~n
trui:m.g
E
'--"-.
Ta
thira
nh~
gia
tIi
cua
ketqua
nay
aa
hoc
trong
nam
h(JC
thu
nhit
d6i
vOi
mpt
dipn
U7rr'mg
khong
dol.
Vi
mpn
t1l101Jg
nay
chOng
chit
len
dipn
tnimg
Eo
,
nen
ta
suy
fa
cac
gia
trj
cua
cac
mpt
dp
dong
dipn
thi
tfch
II
thili
mim
t :
h
Y1
(
Eo
--!-j
e
z
va
=
Y2
(Eo
+~j
e
z
\
",so
2so
va
phuung
tn'nh
bign
dill
mpt
dp
m~n
mpt
a:
du
=
YI(Eo
~)-Y2
(Eo
+~J.
dt
2so
2so
D-T '
JL
2(rl rz) d
at
==
va
0'1
80L1)
ta
ur;rc:
.
rl
+r2
(y\
+r2)
da
+
(a-al)
o.
dt
T
a
(hOi
diim
t,
mpt
phing
khang
hi
thay
d&,
nen
tir
do
suy
fa
:
O'(t)
0'1
C-e
~).
Khi
cht
d(J
giOi
hjln
dur;rc
thi8t
Nip
(t
»T
),
thi
mPt
do
dl~n
deh
mPt
eua
mift
phing
la
0'
0'1
va
ei'lc
mJt
dp
dong
di~n
deu
gl6ng
nhau
trong
hal
mol
truimg
:
. .
_-
2Y1Y2
Eoe-
•.
h
=h
~
Yl
+Y2
Cac
thOi
gian
tich
thoat
1'1
hay
1'2
(dur;rc
dinh
nghia
trong
ma
hl'nh
DROVE)
cila
cac
mol
truimg
gil!
thi~t
1a
khOng
dang
ke:
nghia
l'
.,
.fA
"h"
,. 2so
a auayrat n
oso
V07
T=--.
YI
+Y2
Gil!
thiet
nay
khOng
th!fC
t~
khi
ki
dtn
cae
k~t
qua
cua
bili
t~p
tmoe,
trongdota
aa
eh(mg
minhrling
5L«"j
(i = 1
hay
2).
Yj

