
HỆ SỐ CÔNG SUẤT
Thực hiện: Anh Minh BK
Email: Hongminhbka@gmail.com
Phone: 0974 –876 -295

Biểu thức hệ số công suất
Trong công thức tính công suất P = UIcos𝜑, (1)
Thừa số cos𝜑được gọi là hệ số công suất .
Do 𝜑= |𝜑𝑢− 𝜑𝑖|nên 𝜑luôn nằm trong khoảng từ 0 tới 900do đó 0 ≤ 𝑐𝑜𝑠𝜑 ≤ 1.
Giản đồ vector vẽ theo tỷ lệ U, UL, UC, UR
(1) cos𝜑= 𝑈𝑅
𝑈
(2) cos𝜑= 𝑈0𝑅
𝑈0
(3) cos𝜑= 𝑅
𝑍

Biểu thức hệ số công suất
Ngoài ra tính gián tiếp thông qua:
(4) tg𝜑= 𝑈𝐿−𝑈𝐶
𝑈𝑅= 𝑍𝐿−𝑍𝐶
𝑅
(5) sin𝜑= 𝑈𝐿−𝑈𝐶
𝑈= 𝑍𝐿−𝑍𝐶
𝑍
Sau đó bạn tính cos 𝜑.
Hai cách tính công suất 1 đoạn mạch
Cách 1. Tính trực tiếp khi biết phương trình u, i tức thời. hoặc sử dụng 3 công thức
(1)(2)(3).
Cách 2. Tính gián tiếp thông qua việc tính tg𝜑hoặc sin𝜑.

Một số ví dụ tính hệ số công suất
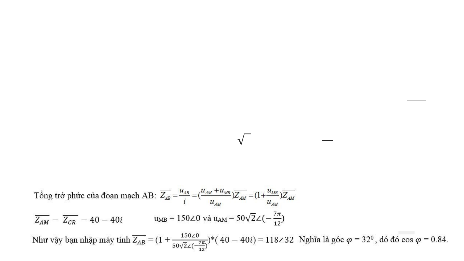
Ví dụ 1 (ĐH-2011): Đoạn mạch AB gồm hai đoạn mạch AM và MB mắc nối tiếp.
Đoạn AM gồm điện trở thuần R1= 40 mắc nối tiếp với tụ điện có điện dung C = 10−3
4𝜋
đoạn mạch MB gồm điện trở thuần R2mắc với cuộn thuần cảm. Đặt vào A, B điện áp
xoay chiều có giá trị hiệu dụng và tần số không đổi thì điện áp tức thời ở hai đầu
đoạn mạch AM và MB lần lượt là: uAM = 50 2cos(100𝜋𝑡 −7𝜋
12 )và uMB =
150coss(100𝜋𝑡) (V) . Hệ số công suất của đoạn mạch AB ?
Bài giải

Một số ví dụ tính hệ số công suất
Ví dụ 2. Một đoạn mạch xoay chiều gồm 3 phần tử mắc nối tiếp: điện trở thuần R, cuộn dây có độ tự cảm L và điện trở thuần r, tụ điện có điện dung C. Đặt
vào hai đầu đoạn mạch một điện áp xoay chiều, khi đó điện áp tức thời ở hai đầu cuộn dây và hai đầu tụ điện lần lượt có biểu thức ud= 80 6cos(𝜔𝑡 +𝜋
6)(𝑉)
,uC = 40 2cos(𝜔𝑡 −2𝜋
3)(𝑉), điện áp hiệu dụng ở hai đầu điện trở là UR= 60 3V. Hệ số công suất của đoạn mạch trên là?
Bài giải
Pha của cường độ dòng điện là (-300) ( Do pha của uC là – 1200)
Do đó ta có phương trình uR= 60 6cos(𝜔𝑡 −𝜋
6)
Nên u = 60 6∠ − 𝜋
6+ 806∠ 𝜋
6+ 40 2∠ − 2𝜋
3= U0∠𝜑𝑢
Nên tính được hệ số góc là 0.95.

