
Lý thuyết và bài tập:
Nhóm 2:
1. Bùi Văn Chiến
2. Hoàng Hữu Chung
3. Nguyễn Văn Chương
4. Phạm Văn Công
5. Nguyễn Văn Cường
Nguồn quang

Thiết bị chuyển đổi điện thành quang
E/O

Vật liệu nguồn sáng (Leds)
Vật liệu bán dẫn được sử dụng cho lớp tích cực
của nguồn quang phải có vùng cấm năng lượng
có hướng.

•Trong bán dẫn có vùng cấm có hướng, điện tử
và lỗ trống có thể tái hợp 1 cách có hướng mà
không cần hạt thứ 3 để giữ mô men, sự tái tổ
hợp sẽ phát xạ tạo ra các mức năng lượng ánh
sáng.
•Vùng cấm vốn không tồn tại mức năng lượng,
song nếu pha tạp có thể xuất hiện các mức
năng lượng trong vùng cấm, nhiều vật liệu
phức hợp nhóm 3 hoặc 4 vật liệu có thể tạo
được năng lượng dải cấm thích hợp cho
nguồn quang.

Để hoạt động ở dải phổ 800-900nm,
sử dụng vật liệu pha tạp Ga1-xAlxAs
•Tỉ lệ x của Al sẽ xác định độ rộng vùng cấm có
mức năng lượng theo công thức: (0 ≤ x≤ 0.37)
•Eg= 1.424 +1.266x +0.266x2 (1)
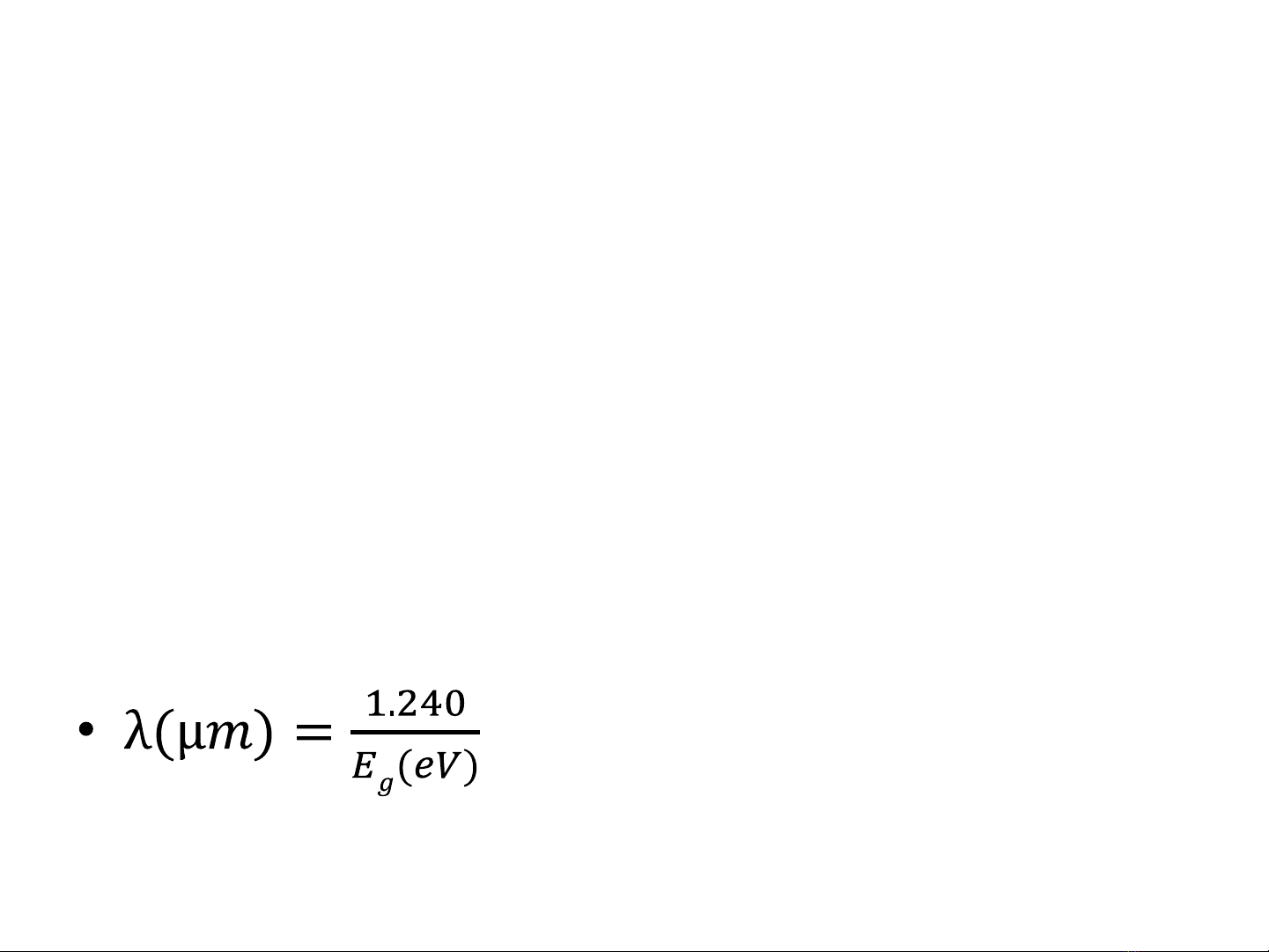
•Bước sóng phát xạ tính theo:
(2)

