
5.3.4. So sánh kết quả các thuật toán trên
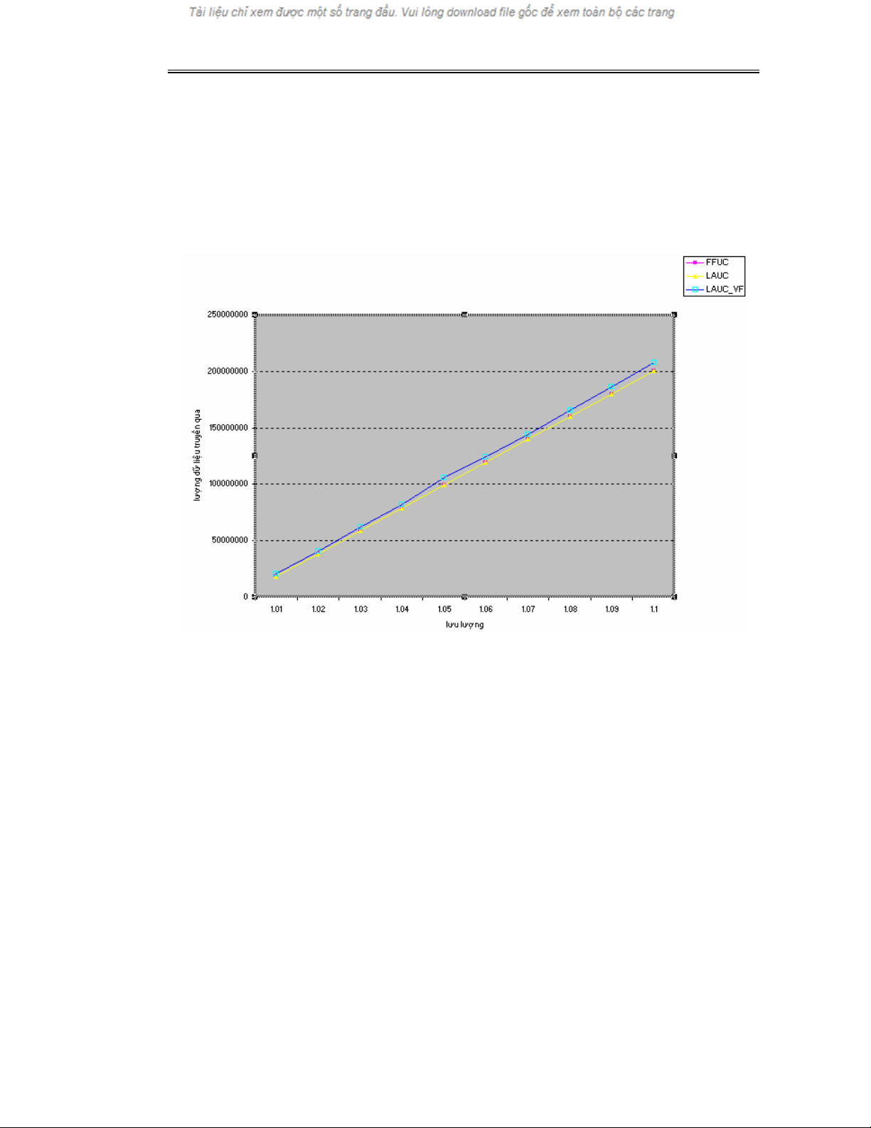
Để dễ dàng so sánh hiệu quả các thuật toán trên em lấy số liệu kết quả của
cả 3 và vẽ trên cùng một đồ thị
Hình 5.7 So sánh lượng dữ liệu truyền qua mạng đối với 3 thuật toán
Dựa vào đồ thị trên ta có thể thấy lượng dữ liệu truyền qua mạng của 2 thuật toán
FFUC và LAUC gần như bằng nhau nên 2 đường biểu diễn của chúng trên đồ thị
trùng nhau. Trong thực tế thì thuật toán LAUC tuy có sử dụng tài nguyên tốt hơn
FFUC do tạo khoảng trống giữa thời gian đến của burst và thời gian sử dụng cuối
cùng của kênh dữ nhưng các khoảng trống này khá nhỏ không thể sắp xếp burst
khác được nên hiệu quả của thuật toán FFUC và LAUC là như nhau.

Còn thuật toán LAUC_VF do có xét đến khoảng trống trên các kênh dữ liệu để sắp
xếp burst nên hiệu quả cao hơn, lượng dữ liệu truyền được qua mạng cao hơn hẳn 2
thuật toán kia.
Bảng: lượng dữ liệu truyền qua mạng cho các thuật toán
5.3.5 So sánh các thuật toán có và không có sử dụng FDL
5.3.5.1 Thuật toán LAUC không sử dụng FDL

Hình 5.8 Lượng dữ liệu truyền qua mạng đối với thuật toán LAUC không sử dụng
FDL
5.3.5.2 Thuật toán LAUC có sử dụng FDL

Hình 5.9 Lượng dữ liệu truyền qua mạng đối với thuật toán LAUC có sử dụng
FDL
Qua 2 đồ thị biểu diễn kết quả lượng dữ liệu truyền qua mạng khi sử dụng
thuật toán LAUC có và không có sử dụng bộ đệm FDL ta thấy việc sử dụng bộ đệm
đã làm giảm khả năng mất burst đáng kể, giúp cải thiện khả năng truyền dữ liệu qua
mạng rất lớn. Dù gây ra sự tốn kém nhất định nhưng việc sử dụng bộ đệm rất hiệu
quả trong mạng OBS vì giúp giảm khả năng mất burst rất cao.
5.4. Mô phỏng ảnh hưởng của quá trình thiết lập burst trong mạng OBS (Burst
Asembly)
5.4.1. Ảnh hưởng của thiết lập burst đến độ trễ trong mạng OBS
Trong mạng OBS các thông số mạng cần chọn một cách hợp lý và các giao
thức mạng cần chọn một cách hợp lý sao cho tôt nhất về mặt mất mát và độ trễ.

Hình 5.10 Độ trễ end-to-end trung bình so với kích thước burst
Như hình 5.10 ta thấy kích thước burst tăng lên thì độ trễ end-to end cũng
tăng lên theo. Điều này là do kích thước burst tăng lên thì cần thời gian chờ để cho
số lượng gói đến đủ để tạo thành một burst. Độ trễ end-to-end ảnh hưởng rất lớn
đến các dịch yêu cầu thời gian thực. Với một yêu cầu về độ trễ trung bình thì ta có
được giới hạn trên của kích thước burst. Khi có các yêu cầu về dịch vụ và các thông
số mạng cho trước ta có thể tìm ra kích thước tối ưu của burst dữ liệu.
5.4.2. Bài toán mô phỏng quá trình thiết lập burst
Việc mô phỏng nhằm tìm được một giá trị hay một dải giá trị về kích thước
burst cho xác suất mất gói nhỏ nhất trong một mạng OBS với một topo và các thông
số mạng liên quan được giới hạn trước.
Các thông số giới hạn trong bài toán mô phỏng:
Mô phỏng mạng NSFNET 14 node, khoảng cách ghi trên hình tính bằng km.
Các node mạng đều là các node kết hợp

