
Các s n ph m cháy: SOả ẩ 2, NOx
Lo i ạ
ch t ấ
khí
gây ô
nhi mễ
Ch ng ươ
4:
Tính tóan l a ch n và s ự ọ ử
d ng thi t b x lý khí.ụ ế ị ử
S n ph m cháy không hoàn toàn nh ả ẩ ư
các CxHy, CO, b i than.ụ
H p th khí đc h i b ng ch t l ng ấ ụ ộ ạ ằ ấ ỏ
(n c ho c dung d ch)ướ ặ ị
Các
ph nươ
g pháp
x lý ử
khí th iả
ÔNKK và X lý khí th i t p 3 (Trang40-91; ử ả ậ
Các khí gây mùi hôi nh Hư2S, NH3
vv... Các lo i dung môiạ
H p ph ch t ô nhi m trên b m t ấ ụ ấ ễ ề ặ
v t li u r nậ ệ ắ
Bi n đi hóa h c các ch t ô nhi m ế ổ ọ ấ ễ
b ng quá trình thiêu đt ho c xúc ằ ố ặ
tác nhi t đ caoở ệ ộ

4.1 H p th khí b ng ch t l ngấ ụ ằ ấ ỏ
H p th là quá trình hòa tan ch t khí vào ấ ụ ấ
trong ch t l ng, khi chúng ti p xúc v i nhau. ấ ỏ ế ớ
Bao g m các quá trình:ồ
-Khu ch tán ch t khí ô nhi m đn b m t ế ấ ễ ế ề ặ
c a ch t l ng h p th .ủ ấ ỏ ấ ụ
-Thâm nh p và hòa tan ch t khí vào b ậ ấ ề
m t c a ch t h p th .ặ ủ ấ ấ ụ
-Khu ch tán ch t khí đã hòa tan vào sâu ế ấ
trong b m t ch t h p th .ề ặ ấ ấ ụ
Các ph ng trình c b n c a QT h p ươ ơ ả ủ ấ
thụ
-Đ h p th đc ch t ô nhi m, các ph n ể ấ ụ ượ ấ ễ ầ
t khí c n đc khu ch tán đn b m t ử ầ ượ ế ế ề ặ
l p biên c a 2 phaớ ủ
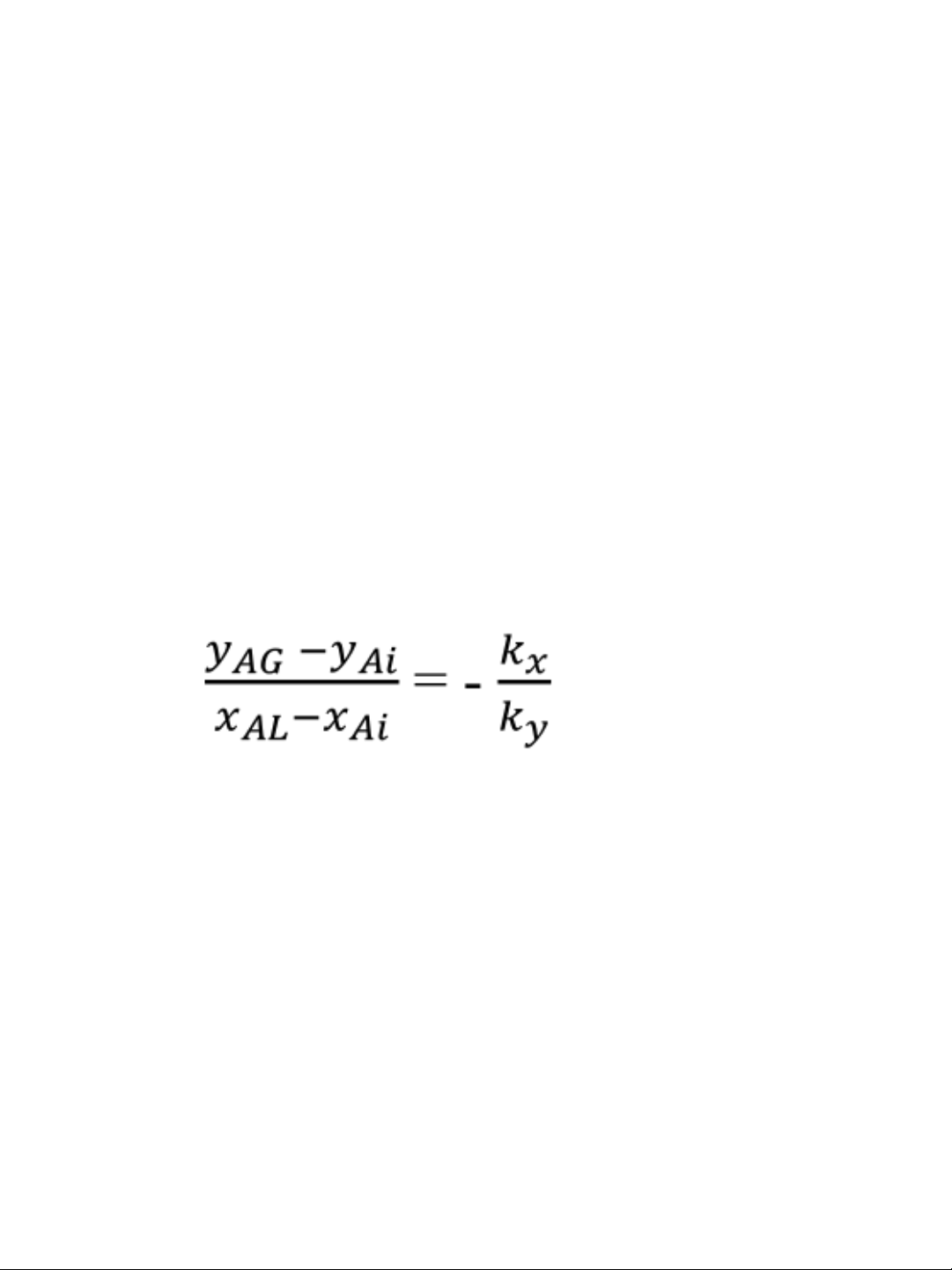
NA = kG (yAG – yAi) = kx (xAi – xAL) 13.8
Trong đó:

-S đo ng c c a h s trao đi ch t có ố ả ượ ủ ệ ố ổ ấ
th đc xem là s c c n c a quá trình ể ượ ứ ả ủ
trao đi ch tổ ấ
yAG; yAi là t su t mol c a ch t khí trong ỷ ấ ủ ấ
kh i khí và trong l p biên khí sát b m t ố ớ ề ặ
ngăn cách
xAi; xAL là t su t mol c a ch t khí trong kh i ỷ ấ ủ ấ ố
dd h p th và l p biên b m t kh i dấ ụ ớ ế ặ ố 2 h p ấ
thụ
(T su t mol là t s gi a s mol ch t khí ỷ ấ ỷ ố ữ ố ấ
trên t ng s mol ch t khí + mol ch t ổ ố ấ ấ
l ngỏ)
kx, ky là h s trao đi ch t c a l p biên ch t ệ ố ổ ấ ủ ớ ấ
l ng và l p biên khí. Mol/mỏ ớ 2.h
-Khi h p th khí d hòa tan có th b qua ấ ụ ễ ể ỏ
s c c n c a l p biên khí, ch c n tính t i ứ ả ủ ớ ỉ ầ ớ
s c n c a l p biên l ng. Và ng c l i, ứ ả ủ ớ ỏ ượ ạ
v i khí khó hòa tan thì s c c n c a l p ớ ứ ả ủ ớ
biên khí là quan tr ng.ọ

T t c nh ng thi t b mà t i đó làm x y ra ấ ả ữ ế ị ạ ả
quá trình ti p xúc gi a pha khí và pha l ng. ế ữ ỏ
Làm cho ch t khí đc h i hòa tan vào trong ấ ộ ạ
ch t l ng thì g i là thi t b h p thấ ỏ ọ ế ị ấ ụ
Bu ng phun, tháp phunồ: Ch t l ng đc ấ ỏ ượ
phun thành gi t trong th tích r ng c a ọ ể ỗ ủ
thi t b , và cho dòng khí đi qua.ế ị
Thi t b h p ế ị ấ
thụ
Bao g m các lo i chính ồ ạ
sau:

Thi t b s c khíế ị ụ : Khí đc phân tán d i ượ ướ
d ng các bong bóng đi qua l p ch t l ng. ạ ớ ấ ỏ
Ho c có th b ng cách cho khí đi qua t m ặ ể ằ ấ
x p, t m đc l , ho c khu y c h cố ấ ụ ỗ ặ ấ ơ ọ
Tháp h p th ki u s i b tấ ụ ể ủ ọ : Cho khí đi
qua l p t m đc l bên trên có ch a l p ớ ấ ụ ỗ ứ ớ
n c m ng.ướ ỏ
Tháp đmệ: Ch t l ng đc t i trên l p ấ ỏ ượ ướ ớ
đm r ng và ch y xu ng d i t o ra b ệ ỗ ả ố ướ ạ ề
m t t c a l p đm đ dòng khí ti p xúc ặ ướ ủ ớ ệ ể ế
khi đi qua.

